长庆油田现有8000余口侏罗系油井,针对典型侏罗系井下高压物性测试发现,CO2含量为2%~6%时,换算成井底CO2分压为0.15~0.25 MPa,属于中高腐蚀程度。井筒动液面以下套管普遍存在严重内腐蚀,自下而上两段的主要特征有:射孔段以上100~200 m范围发生严重内腐蚀;抽油泵到动液面之间,因混合产出液在花管扰动和泵抽汲等作用下,气液分离和介质交换加剧,游离态的CO2造成套管腐蚀速率增大。
目前,套管主要防腐蚀措施为环氧涂层牺牲阳极技术,有效抑制了套管外腐蚀。近年来,侏罗系油井的套损与稳产的矛盾逐步凸显,新增套损井以侏罗系为主(占比83.8%)。油井内套管防腐蚀主要采用环氧酚醛涂层内防腐蚀技术,利用改性环氧酚醛喷涂热固化涂层隔绝腐蚀性介质。单一内涂层防腐蚀无法满足现场需要,需进一步改进防腐蚀措施,研究试验新型耐蚀管材,并结合其他防腐蚀等措施,降低套管局部腐蚀速率,控制油田套损率。
本工作介绍了长庆油田低合金耐蚀管材的优选及其室内高温高压性能的评价效果,并在油田现场实现了矿场试验,以期为重点腐蚀区内防腐蚀技术推广提供参考,为长庆油田全生命周期防腐蚀提供一条经济可行的技术路径。
1 低合金耐蚀管材研究
针对环江、镇北油井套管严重的内腐蚀问题,从材料方面提升防腐蚀性能。
1 13Cr不锈钢
行业共识Cr加量符合冶金“n/8”定律,Cr质量分数大于12.5%,钢的电位正移(-400~550 mV),且钢表面可形成致密的Cr2O3膜层,其耐蚀性发生质变,但成本较高。
2 低Cr钢
在碳钢中添加质量分数为1%~5% Cr和微量的Ni、稀土等合金元素,以提升其耐蚀性。
3 3Cr钢和5Cr钢
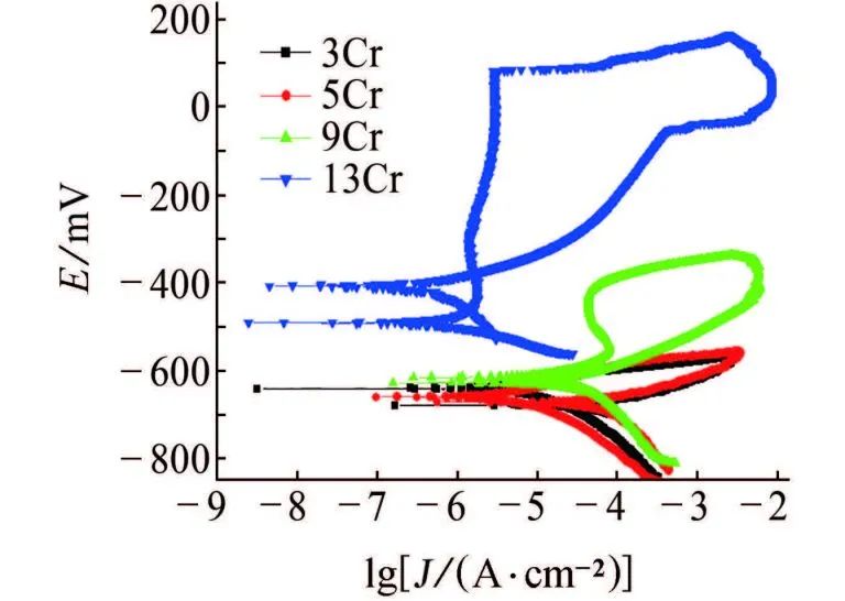
3Cr钢和5Cr钢的电化学曲线相似,如图1所示,表面富集Cr(OH)3膜层;5Cr钢的耐蚀性较3Cr钢更好。对某钢厂生产的13Cr钢开展了前期评价,结果表明该材料在侏罗系井中的抗局部腐蚀性能有限,如图1所示。
图1 不同管材在侏罗系井中的极化曲线
限制13Cr钢在长庆油田中应用的主要问题有:5Cr钢成本较N80钢提高了60%;而9Cr钢、13Cr钢成本较N80钢更是提高了3~4倍;13Cr钢在含H2S、酸化措施液等环境中应用时,需在低温、高应力段控制硫化物应力腐蚀开裂(SSCC)风险。
科学院所和钢管公司的近期论证,研究认识一致,认为5Cr低合金耐蚀管材是有效降低局部腐蚀(50%)且经济的选材方案,如图2所示。
(a) 国内
(b) 国外
图2 国内及国外不同管材的耐蚀性评价
根据长庆油田室内优选评价结果,制得了5Cr低合金耐蚀钢,其主要化学成分为:0.106%C,0.28%Si,0.412%Mn,0.011%P,0.002%S,5.08%Cr,0.518%Mo,0.059%V,0.015%Al,0.0018%Ce。
2 低合金耐蚀管材性能评价
01 高温高压试验
优选三种5Cr低合金耐蚀钢,完成高温高压试验10组共79样次。试验条件:温度50~70 ℃;Cl?质量浓度30~70 g/L;pH为5.5~6.5;PCO2为0.1 MPa;总压6 MPa。
高温高压试验结果表明:各因素中温度对5Cr低合金耐蚀钢的腐蚀速率影响最大,相同腐蚀条件下,宝钢和包钢生产的5Cr低合金耐蚀钢的腐蚀速率较N80钢的腐蚀速率低50%以上,5Cr低合金耐蚀钢的耐局部腐蚀能力明显优于普通碳钢,如图3和图4所示。
图3 四种耐蚀管材的腐蚀速率随Cl-含量的变化
(a) N80钢
(b) 5Cr
图4 耐蚀管材挂片清洗后的表面微观形貌
02 热处理性能
5Cr低合金耐蚀钢经过热处理后的力学性能良好,屈服强度Rt0.5为615 MPa,抗拉强度Rm为703 MPa,断后伸长率A为27.5%,冲击功(0℃)为312.6 J,洛氏硬度为18.0 HRC,布氏硬度为226 HBW。热处理后的显微组织如图5所示,为回火索氏体。
图5 热处理后5Cr低合金耐蚀钢的显微组织
03 现场挂环试验
2019年11月~2020年4月,在镇北油田开展四口井下的腐蚀挂环现场评价试验。挂环材料为J55钢和5Cr低合金耐蚀钢,挂环位置为泵下200 m、尾管。如下表所示:桐A井中的材料以均匀腐蚀为主,J55钢的腐蚀速率是5Cr低合金耐蚀钢的1.72~2.18倍;镇B井中J55钢及5Cr低合金耐蚀钢的腐蚀均较轻微,腐蚀速率均小于0.076 mm/a,材料表面未见明显腐蚀缺陷。
桐A井挂环试验结果
如图6~8所示:5Cr低合金耐蚀钢表面覆盖有致密的龟裂状产物膜,其中Cr质量分数达13.31%,是基体Cr含量的2.6倍,说明该材料表面已形成以Cr和Fe的化合物为主的产物膜层,对基体起保护作用;J55钢表面产物主要为疏松的铁的化合物,未发现断面存在明显局部腐蚀。
图6 桐A井挂环试验后J55钢和5Cr低合金耐蚀钢的表面微观形貌
图7 桐A井挂环试验后J55钢和5Cr低合金耐蚀钢的断面微观形貌
(a) J55钢
(b) 5Cr低合金耐蚀钢
图8 桐A井挂环试验后5Cr低合金耐蚀钢和J55钢表面腐蚀产物的能谱图
3 现场应用
2020年9-12月在环江、镇北重点区域腐蚀井段开展了十口井实物油管入井试验。如图9~10所示:与N80钢套管相比,低合金耐蚀管材局部腐蚀速率明显降低(降低约42%),其预测寿命可达10年;N80钢管体内外表面均存在大量点蚀坑,个别试样外表面存在疑似裂纹。三根油管管体腐蚀产物中均存在FeS,FeCO3,Fe3O4,Fe2O3,(MgCa)CO3,CrO等物质。
(a) N80油管外壁 (b) N80油管内壁
(c) 5Cr油管外壁 (d) 5Cr油管内壁
图9 N80和5Cr油管入井试验后内外壁的宏观形貌(清洗后)
(a) N80油管外壁
(b) N80油管内壁
(c) 5Cr油管外壁
(d) 5Cr油管内壁
图10 N80和5Cr油管入井试验后内外壁的显微组织形貌
4 结语
(1) 5Cr低合金耐蚀钢是有效降低长庆油田重点腐蚀区局部腐蚀,且经济的选材方案。
(2) 室内试验表明,各因素中温度对5Cr钢腐蚀速率影响最大,相同腐蚀条件下,宝钢和包钢生产的5Cr低合金耐蚀钢的腐蚀速率较N80钢低50%以上,5Cr低合金耐蚀钢的耐局部腐蚀能力明显优于普通碳钢。
(3) 油田矿场试验表明,与N80套管相比,低合金耐蚀的局部腐蚀速率明显降低,预测寿命可达10年。
免责声明:本网站所转载的文字、图片与视频资料版权归原创作者所有,如果涉及侵权,请第一时间联系本网删除。
相关文章
官方微信
《腐蚀与防护网电子期刊》征订启事
- 投稿联系:编辑部
- 电话:010-62316606-806
- 邮箱:fsfhzy666@163.com
- 腐蚀与防护网官方QQ群:140808414
点击排行
PPT新闻
“海洋金属”——钛合金在舰船的
点击数:8264
腐蚀与“海上丝绸之路”
点击数:6639























