铜质文物纹饰造型精美,有极高的艺术价值、历史价值和科研价值。铜质文物长期埋藏于地下,出土后暴露于大气环境中,会不断发生腐蚀,影响铭文、纹饰和外观。研究表明,馆藏文物保存环境的优劣直接影响文物的腐蚀受损过程。
在博物馆环境中,一些装修建筑材料、木质地板、展柜、黏合剂等会挥发有机酸性气体和甲醛等污染物,此外,以木材、纸张为原料的藏品会释放有机酸,纤维素中醛类物质水解也会产生有机酸性气体,这些污染物在封闭的保存环境中不断富集,与温度、湿度、光照等物理因素协同作用,会使铜质文物发生缓慢而严重的腐蚀。
当保存环境的空气流通性较差时,有机酸含量可高达几千μg/m3。在甲酸蒸汽含量为100 mg/m3的环境中暴露一周,铜试块会以18.6 ng/(cm2·d)的速率吸附甲酸,这足以对其产生严重的腐蚀和损害。
有机酸的存在会对铜的腐蚀产生极大影响,因此有必要对铜在含有机酸大气环境中的腐蚀行为进行研究。
华东理工大学资源与环境工程学院国家环境保护化工过程环境风险评价与控制重点实验室、中国科学院海洋研究所山东省腐蚀科学重点实验室和上海博物馆馆藏文物保存环境国家文物局重点科研基地的研究人员采用薄层液膜法,得到了纯铜试样在含甲酸或乙酸大气模拟腐蚀液中的极化曲线和电化学阻抗谱,研究了试样在含甲酸或乙酸大气模拟腐蚀液中的腐蚀行为。通过模拟暴露试验,结合表面分析技术,分析了腐蚀形貌及腐蚀产物,初步探讨了纯铜试样在含有机酸大气环境中的腐蚀机理。
试验材料
电化学试验用试样为纯铜(Cu的质量分数为99.99%)。将其制成工作面积为1.0 cm2的工作电极,背面连接铜导线,非工作面用环氧树脂密封。用砂纸(240~1000号)逐级打磨试样工作面后,超声清洗10分钟,用去离子水冲洗,氮气吹干后密封待用。
模拟暴露试验材料也采用纯铜,用砂纸(240~1000号)逐级打磨试样表面后,超声清洗10分钟,用去离子水冲洗,氮气吹干后密封待用。
电化学试验
考虑到日常大气中常见的金属腐蚀性污染物为Cl-和硫化物,本工作采用0.028 mol/L NaCl+0.01 mol/L Na2SO4的溶液模拟大气环境,在此溶液中,加入有机酸溶液,使甲酸和乙酸质量浓度分别为0,0.1,0.3,0.5,1.0,20.0 mg/L,以模拟含有机酸大气腐蚀环境,考察铜质材料在含不同量机酸环境中的腐蚀行为。
当试样表面薄层液膜厚度约为100 μm时,可能存在最大的腐蚀速率。在室温下,调节工作电极的工作面保持水平,工作电极和铂探针连接万用表的两极表笔,旋转螺旋测微器使得铂探针缓慢向下,当铂探针尖端刚碰到工作电极表面时,万用表读数由无穷大突变为一个有限数值,记录此时螺旋测微器读数。加入电解质溶液后,重复上述过程,记录螺旋测微器读数,二者之差即为液膜厚度,采用注射器、胶头滴管添加或抽取溶液以调节薄层液膜厚度约为100 μm。
电化学测试在PARSTAT 2273型电化学工作站上进行,以三电极体系为理论基础搭建薄层液膜装置,工作电极为铜电极,参比电极为217型饱和甘汞电极(SCE),辅助电极为铂丝电极。开路电位稳定(即在300 s电位变化不超过3 mV)后,进行电化学阻抗谱(EIS)测定。设置扰动电压为10 mV,频率范围为5 mHz~10 kHz。极化曲线的测量同样在开路电位稳定后进行,扫描速率为0.166 mV/s,扫描范围为-250~+250 mV(相对于开路电位)。
1 极化曲线
(a) 甲酸 (b) 乙酸
图1 表面液膜厚度约为100 μm的试样在含不同量有机酸试验溶液中的极化曲线
由图1可见:表面液膜厚度约为100 μm的试样在含不同量有机酸试验溶液中的极化曲线形态相似,曲线基本不发生重叠,且不存在较大波动,这说明氧气的扩散过程稳定。随着扫描电位的增大,逐渐达到扩散电流的极限值。铜在含不同量有机酸试验溶液中的阳极过程均表现为活性溶解,极化曲线没有出现钝化区,阳极部分随着电位的逐渐升高而趋于稳定。
表1 试样在含不同量甲酸试验溶液中的极化曲线拟合结果
表2 试样在含不同量乙酸试验溶液中的极化曲线拟合结果
由表1和表2可见:随着试验溶液中有机酸浓度的增加,试样自腐蚀电位负移,自腐蚀电流密度增大,铜电极的阳极去极化得到促进。即有机酸浓度越高,对试样的腐蚀影响越大。对比表1和表2还可见:铜在含甲酸试验溶液中的自腐蚀电位和自腐蚀电流密度均高于在含乙酸试验溶液中的,说明铜在含甲酸试验溶液中的腐蚀速率更大。
2 电化学阻抗谱
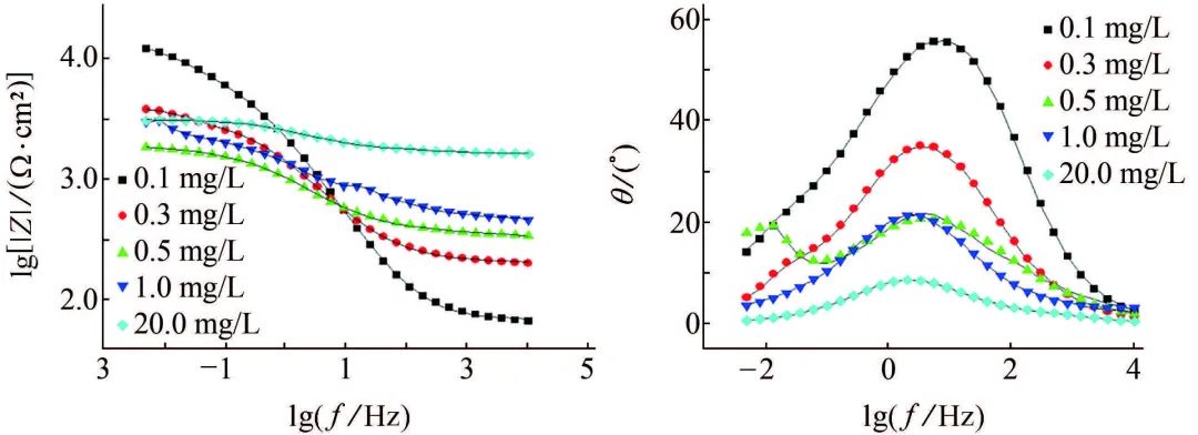
(a) 甲酸,Nyquist图 (b) 甲酸,|Z|-f图
(c) 甲酸,θ-f图 (d) 乙酸,Nyquist图
(e) 乙酸,|Z|-f图 (f) 乙酸,θ-f图
图2 表面液膜厚度约为100 μm的试样在含不同量有机酸试验溶液中的电化学阻抗谱
由图2可见:在含甲酸的试验溶液中,阻抗谱均出现了一个容抗弧,随着甲酸含量的增大,容抗弧半径减小,说明电化学反应的阻力减小,试样腐蚀加剧。从Bode图中可以发现,曲线在低频时均有不同程度的尾弧上扬,这是由电化学反应的弛豫现象引起的。
另外由图2还可见:当乙酸质量浓度为0.3 mg/L和0.5 mg/L时,容抗弧在低频区出现扩散尾弧,这可能是由沉积膜的响应、腐蚀产物的响应或者氧气的扩散而引起的,容抗弧半径同样随着乙酸含量的增大而减小,表明乙酸含量的增大会加速铜材料的腐蚀。Bode图结果表明,当乙酸质量浓度为0.5 mg/L时,受弛豫现象的影响出现了高低频容抗弧重叠的现象。
图3 阻抗谱的等效电路图
如图3所示:Rs是溶液电阻,Ra是膜电阻,Rct是电荷转移电阻,电极界面双电层电容与理想电容间存在无法忽略的“弥散效应”,因此,Ca,Cdl分别是膜电容和双电层电容,na,ndl分别是Ca,Cdl对应的离散系数。拟合得到的参数见表3和表4,表中Rp表示极化电阻,在数值上等于体系中Ra与Rct之和,可表征金属的腐蚀速率。
表3 试样在含甲酸试验溶液中的EIS拟合结果
表4 试样在含乙酸试验溶液中的EIS拟合结果
由表3可知:随着甲酸含量的增大,电荷转移电阻逐渐减小,表明电荷转移过程更容易进行;极化电阻随甲酸含量增加逐渐减小,说明甲酸含量增大会加速铜的腐蚀反应。
由表4可见:试样在含乙酸试验溶液中的电荷转移电阻和极化电阻值也均随乙酸含量的增加而逐渐减小。
EIS结果表明,试样在含甲酸试验溶液中的腐蚀速率更大,这是因为常温下,甲酸的电离常数比乙酸大,能电离出更多的H+,加速了腐蚀。
模拟暴露试验
模拟暴露试验装置如图4所示,试验在密闭的玻璃反应釜中进行。
图4 模拟暴露试验装置示意
根据拉乌尔定律计算有机酸质量,控制环境温度为30 ℃,相对湿度为100%,将6份铜试样分别放置于含有20.0 mg/L甲酸或乙酸蒸汽的密闭玻璃反应釜中暴露50天。试验结束后,采用扫描电子显微镜(SEM)、能谱仪(EDS)、X射线衍射(XRD)对试样表面腐蚀产物的形貌和成分进行分析。
1 SEM及EDS分析结果
(a) 原始铜试样 (b) 甲酸环境中腐蚀后
(c) 乙酸环境中腐蚀后
图5 原始铜试样和在不同有机酸环境中暴露50天铜试样的表面SEM形貌
由图5可见:原始铜试样表面平滑且有明显的砂纸打磨痕迹。在含20.0 mg/L甲酸蒸汽环境中暴露50天后,试样表面的刮痕基本完全消失,表面被大量致密的菱形颗粒状腐蚀产物完全覆盖,颗粒之间相互连接形成了更大的块状产物,轮廓明显,这表明试样在含甲酸环境中发生了较严重的腐蚀。在含20.0 mg/L乙酸蒸汽环境中暴露50天后,试样表面的腐蚀产物主要是形貌不规则的斑块状团块,腐蚀产物层中有明显的裂纹。对比图5b和图5c可见,甲酸对铜的腐蚀性更强。
表5 试样在含不同有机酸环境中50天后的表面能谱分析结果
由表5可见:分别暴露在甲酸和乙酸两种有机酸环境中50天后,腐蚀产物中还检测到C和O,且在甲酸环境中暴露50天后试样表面腐蚀产物中的C和O元素含量更多,说明试样在甲酸环境中生成了更多腐蚀产物。
2 XRD分析结果
图6 试样在含不同有机酸环境中50天后的表面XRD图谱
a=Cu;b=Cu2O;c=CuO;d=Cu(OH)2·H2O;e=Cu2(OH)2CO3;f=Cu(HCOO)2;g=Cu(OH)(HCOO);h=Cu4(OH)(CH3COO)7·2H2O;i=Cu(CH3COO)2·2H2O
由图6可见:在两种有机酸环境中腐蚀50天后,试样表面除了基体Cu外,还检出了Cu2O。Cu2(OH)2CO3的存在表明二氧化碳参与了腐蚀过程中。在含甲酸环境中的试样表面生成了大量Cu(OH)2·H2O,并且可能部分转化为Cu(HCOO)2,而在含乙酸环境中腐蚀50天后,试样表面只检出了Cu4(OH)(CH3COO)7·2H2O和Cu(CH3COO)2·2H2O。
结合相关文献,可以推测铜在含有机酸大气环境中的腐蚀反应过程如下:在第一阶段,RH为100%时,铜表面吸附的水蒸气会引起从局部表面缺陷处开始的腐蚀,生成Cu2O和Cu(OH)2,由于空气中存在CO2,部分Cu2O可能会被转化成Cu2(OH)2CO3。根据甲酸气体浓度和反应时间的不同,在Cu(OH)2·H2O的局部表面上或由中间产物反应生成甲酸铜;而在乙酸环境中,则由Cu(OH)2·H2O与乙酸反应生成Cu4OH(CH3COO)7·2H2O,部分Cu4OH(CH3COO)7·2H2O进一步与乙酸反应生成Cu(CH3COO)2·2H2O。
由此可知,铜在含甲酸或乙酸环境中的最终腐蚀产物主要是氧化亚铜、甲酸铜晶体和乙酸铜晶体。
结论
(1) 有机酸质量浓度为0~20.0 mg/L,薄层液膜厚度约为100 μm条件下,随着有机酸浓度的增大,铜质材料的腐蚀加速。当甲酸和乙酸含量相同时,甲酸对铜的腐蚀影响比乙酸更大。
(2) 在含甲酸环境中,铜表面几乎完全被大量相互联结的菱形腐蚀产物覆盖,在含乙酸环境中,试样表面的腐蚀产物主要是形貌不规则的斑块状团块。试样在含甲酸环境中的腐蚀产物更多,腐蚀情况更严重。
(3) 铜试样在含甲酸或乙酸环境中的最终腐蚀产物主要是氧化亚铜、甲酸铜晶体和乙酸铜晶体。
免责声明:本网站所转载的文字、图片与视频资料版权归原创作者所有,如果涉及侵权,请第一时间联系本网删除。
相关文章
官方微信
《腐蚀与防护网电子期刊》征订启事
- 投稿联系:编辑部
- 电话:010-62316606-806
- 邮箱:fsfhzy666@163.com
- 腐蚀与防护网官方QQ群:140808414
点击排行
PPT新闻
“海洋金属”——钛合金在舰船的
点击数:8188
腐蚀与“海上丝绸之路”
点击数:6503

















