在工程上,许多结构部件长期运行在高温条件下,如火力发电设备中的汽轮机、锅炉和主蒸汽管道,石油化工系统中的高温高压反应容器和管道,它们除了受到正常的工作应力外,还需承受其它的附加应力以及循环应力和快速较大范围内的温度波动等作用,因此其寿命往往受到蠕变、疲劳和蠕变-疲劳交互作用等多种机制的制约。
疲劳-蠕变交互作用是高温环境下承受循环载荷的设备失效的主要机理,其寿命预测对高温设备的选材、设计和安全评估有十分重大的意义,一直是工程界和学术界比较关心的问题,很多学者提出了相应的寿命预测模型。本文对常见的寿命估算方法进行简单的介绍。
寿命-时间分数法
对于疲劳-蠕变交互作用的寿命估算问题主要采用线性累积损伤法,又叫寿命-时间分数法。寿命时间分数法认为材料疲劳蠕变交互作用的损伤为疲劳损伤和蠕变损伤的线性累积,如下式所示:
其中Nf为疲劳寿命,从ni为疲劳循环周次,tr为蠕变破坏时间,t为蠕变保持时间。该方法将分别计算得到的疲劳损伤量和蠕变损伤量进行简单的相加,得到总的损伤量,计算十分简单,不过需要获得相应温度环境下纯蠕变和纯疲劳的试验数据。
由于该方法没有考虑疲劳和蠕变的交互作用,其计算结果和精度较差。为了克服不足,提高计算精度,研究人员提出了多种改进形式。例如谢锡善的修正式如下:
Lagneborg提出的修正式如下:
上述式子中,n为交互蠕变损伤指数,1/n为交互疲劳损伤指数,A、B为交互作用系数。两个修正表达式均增加了交互项,可以用来调整累积损伤法的预测结果和实验结果之间误差,极大地提高了预测结果的可靠性。
频率修正法(FM法)及频率分离法(FS法)
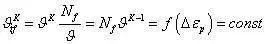
目前,工程上广泛使用的疲劳-蠕变寿命估算方法大多数都是基于应变控制模式的估算方法。频率修正法是Coffin提出来的,认为低周疲劳中主要损伤是由塑性应变所引起的,Eckel在此基础上提出以下公式:
式中:tf为破坏时间,K为依赖温度的材料常数,ϑ为频率,∆εp为塑性应变范围。将上式代入Manson-Coffin公式可得考虑频率修正的表达式如下:
频率分离法是在频率修正法基础上的又一次改进,方法假设疲劳损伤是由非弹性应变引起的并且考虑高温下保载时间对寿命的影响,引入了拉伸保载频率和压缩保载频率,将疲劳寿命用非弹性应变和保载频率的指数形式表示,使加载频率对疲劳寿命的影响更加显著。如式:
式中,ϑc为压缩保载的频率,ϑt为拉伸保载的频率,∆εin为非弹性应变。
频率修正法和频率分离法进行寿命估算时所用的均是疲劳寿命估算模型但是它们成功的利用加载频率将蠕变因素引入到疲劳寿命估算模型中,使新的模型适用于进行疲劳蠕变交互作用的寿命估算。
应变范围划分法(SRP)和应变能划分法(SEP)
应变范围划分法由Manson提出,基本观点是:对于与时间相关和时间无关两类应变,即使应变的量相同,但所引起的损伤并不相同。考虑蠕变与疲劳的交互作用,把一个应力应变循环中的非弹性应变范围,按质不同分成纯机械的应变范围分量和与时间有关的应变范围分量组合,然后确定每一部分所引起的损伤,求和得出总的损伤。其有如下表达式,cij、βij为材料常数。
应变范围划分法的应用比较广泛,但是的获得需要不同类型的循环试验数据。应变能划分法是在应变范围划分法的基础上建立起来的,应用各个应变的应变能建立起与寿命之间的关系:
式中,cij、βij为试验确定的材料常数;∆uij为应变能;αij为拉伸应变能与矩形面积σmax∆εp之比。按照线性累积损伤法测,得到如下寿命估算公式,Fij*为权系数。
董照钦、何晋瑞用频率分离法对应变能与寿命之间的关系式进行了修正,称为SEFS法,得到如下表达式,其中C 、β、m、k为常数。
应变范围划分法和应变能划分法需要大量可靠的试验数据为依据,需要考虑的许多材料参数和力学变量,因此,使用此方法进行寿命估算是一项长期的工作。
应力松弛范围法
应变控制模式时,长保持时间的蠕变疲劳交互作用,将出现较大的应力松弛,应力松弛蠕变效应是长时间保持下蠕变疲劳寿命降低的主要原因。Nam Soo Woo等从这一观点出发,将应力松弛范围引入蠕变疲劳寿命预测模型当中。由寿命与保持时间的关系、保持时间与应力松弛范围的关系,推导出规范化的寿命预测方法如下:
其中Φ、f为材料常数。由于应力松弛范围是保持时间、初应力、应变水平、温度等参量的函数,因此上式可用来预测不同保持时间、不同波形、不同应变范围下的寿命,可将不同条件下得到的Coffin-Manson曲线规范化,得到一条主曲线。应力松弛范围法适用于应变控制模式下的疲劳——蠕变交互作用的寿命预测。
延性损耗法
延性耗竭疲劳蠕变寿命估算方法是以延性耗竭理论为基础的。延性耗竭理论认为:疲劳和蠕变是以粘性流的形式造成构件损伤的,疲劳引起晶内延性耗竭,而蠕变引起晶界延性耗竭。二者相互累积叠加,最终达到临界值,致使材料失效。Goswamirunf 对Cr-Mo钢疲劳-蠕变交互作用进行过大量研究,提出了一种新的延性耗散寿命预测模型。
其中∆σ为应力范围,∆εp为塑性应变范围,∆εt为总应变范围,为应变速率,∆σs为半寿命处的饱和应力,K、A、m和n为材料常数。
该模型是在应变控制模式下、应变速率和粘性流的概念基础上建立起来的,适于应变控制下、塑性应变占主要地位的Cr-Mo钢疲劳-蠕变交互作用下的寿命预测。
基于应力控制模式的疲劳蠕变寿命估算方法除了延性耗竭模型以外还有能量寿命估算模型和平均应变速率估算模型,相比之下延性耗竭模型比较适用于应力控制模式,并且此方法还能够综合反映应力比、加载速率、保载时间和平均应变速率等因素对构件寿命的影响,预测精度较高。
金相学寿命预测方法
Nam Soo Woo等根据奥氏体不锈钢蠕变孔洞形核、长大机理,提出新的一种损伤参量。这种损伤参量适用于描述以晶界蠕变孔洞为主的材料破坏。此种方法需要知道蠕变的孔洞面积、晶界厚度,晶界扩散率及原子体积等微观量。
疲劳-蠕变寿命的损伤力学预测方法
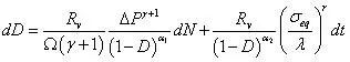
损伤力学的概念最初是由Kachanov提出来的,随后Lemaitre等人将损伤力学应用于预测疲劳——蠕变寿命。根据经典损伤理论,损伤变量D表征微裂纹和微空隙导致材料损伤过程中有效承载面积减小的程度,即由于微裂纹和微空隙的形成和扩展,试件的横截面积A减小为有效承载面积A*,有效承载面积的减小导致应力的增大。
根据上面损伤力学的定义可以假设:损伤增量可以用疲劳损伤增量与蠕变损伤增量的和来表示:
其中,疲劳损伤增量和蠕变损伤增量的表达式采用Lemaitre模型,疲劳-蠕变交互作用的损伤增量具体形式如下:
从上式中可以看出,损伤力学模型描述的损伤累积是非线性的,而且考虑了疲劳-蠕变的交互作用。
除了Lemaitre损伤模型以外,Shang等又根据疲劳损伤过程中材料韧性的变化性能,在Chaboche连续疲劳损伤理论的基础上提出了一个非线性单轴疲劳损伤累积模型,此模型考虑了疲劳极限,平均应力和损伤变量与加载参数的不可分离特性,也包括加载次序的影响。Jing等对蒸汽透平转子的蠕变-疲劳寿命提出了一个非线性连续损伤力学的模型,模型中考虑了复杂的多轴应力的影响和疲劳与蠕变的耦合效应,并考虑了损伤的非线性演化。
断裂力学预测方法
断裂力学将寿命预测分为裂纹形成和裂纹扩展两个阶段。自20世纪70年代以来,相继有许多学者提出用C*积分来描述蠕变条件下任意时刻的物体中裂纹顶点局部应力场和应变率场,同时C*积分也被称为蠕变断裂参数。因此,C*积分的测量和计算成为疲劳-蠕变寿命估算方法中的一个重要研究方向。
Chapuliot和Curtit等给出了受弯矩作用的平板中表面裂纹的参数C*的实验确定方法并得到了C*的计算公式。Fookes,Smith经过试验证明,总位移率可以用来确定参数。Yatomi等提出用数值计算的蠕变载荷线位移率来确定参数。
基于多元统计的预测新方法
多元统计方法的典型代表人物是Goswasmi,Goswasmi根据大量实验数据,提出的预测高温材料疲劳-蠕变寿命的通用公式。他还分别给出了Cr-Mo钢、不锈钢及含有锡、钛等材料的合金钢3组材料的疲劳-蠕变寿命预测基本公式。
基于神经网络的预测新方法
神经网络(ANN)方法是近几年发展起来的高级非线性分析工具,它能够充分逼近任意复杂的非线性关系。神经网络的最突出优点是能够在不确定的系统和变量关系中找到解。现在有许多学者将神经网络的方法应用于材料的疲劳-蠕变寿命预测,例如:Venkatech等人提出利用反向传播神经网络的方法来预测材料在(0.7~0.8)熔点下的疲劳-蠕变寿命;Srinivasan等利用神经网络的方法来预测316L(N)不锈钢在疲劳-蠕变交互作用下的寿命。Wang, N等在2013年提出构建了一种新型溯网络(abductive network)用于蠕变断裂寿命预测,该网络是四层结构体系,精确预测了9-12%的铬的铁素体钢的蠕变断裂寿命。结果表明,该方法比拉森-米勒参数法更准确,比BP神经网络更有效。
基于能量守恒和动量守恒的预测模型
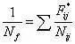
以上已有的疲劳-蠕变交互作用寿命预测模型大都需要大量的不同类型的试验数据,或者是针对应变控制模式下的疲劳-蠕变交互作用,应用起来十分不便,且不能适用于应力控制的情况。Jiang等从反映物系运动的能量守恒定律和动量守恒定律出发,推导出一个新的疲劳-蠕变交互作用寿命预测模型,力求有较好的理论基础和简单的模型表达式,并且能适用于应力控制的疲劳-蠕变交互作用。表达式为:
用上式进行疲劳-蠕变交互作用的寿命预测,物理意义明确,对于应变控制和应力控制模式下的疲劳-蠕变交互作用寿命预测都能适用,所需要的试验参数获取容易且数目较少。为检验该模型的准确性,Jiang等进行了1.25Cr0.5Mo钢光滑试样540℃和520℃环境下应力控制的梯形波加载试验,用该模型进行了上述两种温度环境下的疲劳-蠕变交互作用的寿命预测,预测结果与实际结果比较符合。
服役条件-持久强度(SCRI) 干涉模型
Zhao提出基于Z参数的服役条件-持久强度干涉模型(service condition-creep rupture property interference model, SCRI模型)用于高温材料持久寿命的可靠性预测。利用Z参数方法,高温材料持久强度的分散性服从正态分布,而服役温度和应力波动造成的服役条件的分布可以用Monte Carlo方法模拟获得,从而实现在考虑性能数据分散性以及服役条件波动性的情况下材料持久寿命的可靠性分析。
基于动力过程的蠕变断裂数据外推的模型
Liu,H等提出基于动力过程的蠕变断裂数据外推的模型。该模型描述了应力与断裂时间的关系,表达式参数较少,推算过程相对简单而且推算值与实验测试结果密切一致。表达式为:
其中:C为拉森-米勒常数;Q是蠕变过程的活化能,R是Boltzmann的常数。此外,该模型增强了长期蠕变寿命预测严谨性。根据2.25Cr1.0Mo钢和Ti-Al金属化合物的测试数据比较,这种评估方法相对于传统的拉森-米勒参数(LMP)方法更准确。
结束语
本文综述了近几十年来疲劳-蠕变寿命估算方法的研究成果。其中,线性累积损伤的修正公式考虑了疲劳和蠕变的交互作用,有效地提高了计算精度;损伤力学和断裂力学的寿命预测方法具有比较成熟的理论基础,能具体解决复杂及有缺陷构件的寿命预测问题。
频率修正法、频率分离法以及应变范围划分法的预测结果比较理想,而应变能划分法和应变能频率修正法的预测结果精度较差。
多元统计方法和神经网络方法是进行疲劳-蠕变寿命估算的新方法。其中,多元统计方法中提到的3类材料可以直接应用基本计算公式进行寿命预测;神经网络方法主要用于解决复杂的或未知的寿命预测问题。
免责声明:本网站所转载的文字、图片与视频资料版权归原创作者所有,如果涉及侵权,请第一时间联系本网删除。
相关文章
官方微信
《腐蚀与防护网电子期刊》征订启事
- 投稿联系:编辑部
- 电话:010-62316606-806
- 邮箱:fsfhzy666@163.com
- 腐蚀与防护网官方QQ群:140808414
点击排行
PPT新闻
“海洋金属”——钛合金在舰船的
点击数:8148
腐蚀与“海上丝绸之路”
点击数:6486





















