钢件奥氏体化的目的是要求获得成分比较均匀、晶粒大小一定的奥氏体组织。在大多数情况下,总是希望得到细小的奥氏体晶粒。有时为了某些特殊性能或工艺性能的要求,也需要得到比较粗大的奥氏体晶粒。
为了获得所期望的奥氏体晶粒尺度,必须弄清楚奥氏体晶粒度的概念、晶粒长大机构及其控制因素。
一、奥氏体晶粒度
晶粒度是表示晶粒大小的一种尺度,对钢来说,如不特别指明,一般是指奥氏体化后的实际晶粒大小。为了研究上的方便,首先要区分三种晶粒度的概念。
1.起始晶粒度
是指在临界温度以上,奥氏体形成刚刚完成,其晶粒边界刚刚相互接触时的晶粒大小。
2.实际晶粒度
是指在某一热处理加热条件下所得到的晶粒尺寸。实际晶粒度基本上决定了钢件实际热处理时的晶粒大小。
3.本质晶粒度
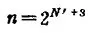
是根据标准试验方法,在930±10℃保温足够时间(3~8小时)后测定的钢中晶粒的大小。凡经上述试验,晶粒尺寸在8级评标准5~8级者称为本质细晶粒钢,凡晶粒尺寸在1~4级者称本质粗晶粒钢。
在奥氏体晶粒度8级评定标准中,1级最粗,8级最细。超过8级如10~12级以上者称为超细晶粒。晶粒度的级别(N‘)与晶粒大小间的关系为:
或
式中
n'-为100倍金相观察时每平方英时(6. 45c㎡)视野中所含的平均晶粒数目。
n-实际上每1mm2试样面积中的平均晶粒数目。
本质晶粒度只是表示在一定条件下晶粒的长大倾向。不同钢种或不同冶炼方法炼制的同一钢种,在同一加热条件下,可能表现出不同的晶粒长大倾向。它和实际晶粒度不尽相同。
例如,对本质细晶粒钢,当加热温度超过950~1000℃(一定保温时间)以上时,也可能得到十分粗大的实际晶粒。相反,本质粗晶粒钢,当加热温度比临界点稍高时,也可能得到较细的奥氏体晶粒。但在一般情况下,本质细晶粒钢,热处理后获得的实际晶粒大多是细小的。图1 表示了这两类钢的奥氏体晶粒随温度升高而长大的情况。
▲图1 加热温度对奥氏体晶粒尺寸的影响
由图看出,本质细晶粒钢在930~950℃以下加热时,晶粒长大倾向小,所以其淬火温度较宽,生产上容易掌握。这种钢可以在930℃高温下渗碳以后直接淬火。而本质粗晶粒钢,则必须要严格控制加热温度,以防止过热。由此可见,本质晶粒度是钢的热处理工艺性能的一个重要指标。
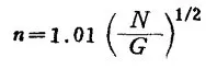
奥氏体起始晶粒的大小,决定于奥氏体的成核率和长大速度。在1m㎡面积内的晶粒数目n与成核率N和长大速度G之间的关系可用下式表示:
由此看出,N/G值愈大,则n愈大,即晶粒愈细小。说明增大成核率或降低长大速度是获得细小奥氏体晶粒的重要途径。
奥氏体的实际晶粒度,既取决于钢材的本质晶粒度,又和实际加热条件(温度和时间)有关。通常,在一般加热速度下,加热温度愈高,保温时间愈长,最后得到的实际晶粒愈粗大。
二、晶粒长大与第二相颗粒的影响
1、 晶粒长大机理
奥氏体刚刚形成之后,起始晶粒一般均很细小,而且也不均匀,界面弯曲,晶界面积大,界面能高。从热力学分析,界面能愈高则界面愈不稳定,必然要自发地向减小晶界面积,降低界面能的方向发展。就是说,小晶粒合并成大晶粒,弯曲晶界变成平直晶界是一种自发过程。如果晶粒能够按图2 那样呈六边形均匀排列时,将是稳定的。此时晶界均成直线,且三条晶界相交于一点时互成120度角。在二维平面上每一个晶粒均有6个相邻接的晶粒。这种状态的晶粒不易长大。但实际上晶粒并非如此均匀,在同一视域内晶粒大小差别很大,如图3 所示。
▲图2 二维金属中晶粒的稳定形状
▲图3 实际加热条件下的奥氏体晶粒 400X
这样,小于平均尺度的晶粒,其相邻接的晶粒可能只有3~5个。大于平均尺度的晶粒,其相邻接的晶粒可能在6个以上。但为了使相交于一点的三条晶界成120°角,以保持界面张力平衡。凡相邻接的晶粒数少于6个(或多于6个)的晶粒的晶界必然要发生移动,以减小晶界面积,从而减小界面能。晶界移动的结果使大晶粒吞并小晶粒,其过程见图4 。进一步升高温度或延长保温时间时,大晶粒将继续长大。通常所看到的晶粒长大现象,就是这种无数个小晶粒被吞并和大晶粒长大的综合结果。有时将大晶粒吞并小晶粒而长大的过程叫不均匀长大,将大晶粒继续长大的过程称为均匀长大。一般情况下晶粒长大是由这样两个阶段组成的。
▲图4 奥氏体晶粒的不均匀长大过程
[由a)→b)→c)→d)→e)视野中心
的小晶粒逐渐被大晶粒吞并]
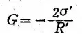
晶粒长大的驱动力G和晶粒尺寸及界面能的大小有关,可用下式表示:
式中
ơ'-单位奥氏体晶界的界面能(或比界面能);
R'--晶界曲率半径,若晶粒为球形时R’即为其半径。可以看出,界面能愈大,晶粒尺寸愈小,奥氏体晶粒长大的驱动力愈大,长大的倾向愈大,即晶界愈容易迁移。
2 第二相颗粒对晶粒长大的影响
对实际金属材料而言,不是在所有情况下晶界都能自发迁移的。在晶粒边界及晶粒内部往往存在着很多细小难熔的颗粒,它们将阻碍晶界移动,起着钉扎晶界的作用。这种作用可以用图5 来说明。
▲图5 弥散细小颗粒和移动界面之间交互作用示意图
假设晶粒A和晶粒B之间晶界沿x轴的方向移动,与半径为r的小颗粒相遇。当晶界迁移到颗粒的y轴时(即颗位的直径平面),因颗粒的存在省去了部分晶界而具有最低的界面能。当晶界再往前移动时,不仅晶界面积增大而增加了晶界能,同时因需保持界面张力的平衡,必须使φ=θ,即晶界和颗粒界面相交处必须保持垂直。这样就引起离颗粒较近的一部分晶界发生弯曲,导致界面面积增大。弥散的颗粒愈小,晶界的弯曲曲率愈大,界面面积增大愈多,因而进一步增大了晶界能。显然,这样一个使系统自由能增加的过程是不可能自发进行的。事实上,晶界移动时要受到第二相颗粒的约束,而不能自由进行。当沿晶界移动方向晶界对颗粒所施加的拉力和在相反方向上颗粒对晶界的向后拉力即约束力相平衡时,晶界移动停止。根据研究,第二相颗粒对晶界移动的最大阻力Gm和颗粒的半径r及颗粒在单位体积金属中的数目f有如下关系:
可以看出,第二相颗粒尺寸愈小,则其阻碍晶粒长大的效果愈大。单位体积中第二相颗粒数目愈多,其阻止晶粒长大的能力愈大。图6 形象地表示出弥散第二相颗粒数目对奥氏体晶界移动阻碍的情况。
▲图6 晶粒边界的移动进而晶界上第2相颗粒之间的交互作用
Ⅰ-无小颗粒 Ⅱ-有少量小颗粒 Ⅲ-有大量小颗粒
由此可见,晶界上必须有足够数量的第二相小颗粒,才能有效地阻碍晶界移动。研究指出,当第二相颗粒(如A1N)密度为6x10E11/cm3时,奥氏体晶 粒度约为8号,此时每一个晶粒界面上的颗粒数目约5或6个。如果低于这一水平,则奥氏体晶粒就可能长大。也有研究指出,在3%Si的硅钢片中,MnS颗粒的半径小于或等于260Å时,才能对晶粒长大起阻碍作用。由此可以认为,在加热过程中,第二相颗粒的聚合长大或者溶解消失是影响奥氏体晶粒长大的重要因素。
如果晶界移动的驱动力完全来自晶界能,那么当晶界能所能提供的驱动力正好和弥散的颗粒对晶界移动的阻力相等时,正常晶位长大便告停止。所以在一定温度下,奥氏体晶位的平均极限半径R'Lim决定于第二相颗粒的半径r及其数量f的多少。
由此可以解释本质细晶粒钢在950℃ 以上晶粒突然长大的现象(见图1)。因为在950℃以上,阻止晶粒长大的第二相颗粒发生聚合长大或溶解之后,失去了阻止晶粒长大的平衡力,故引起了晶粒突然长大。
应当指出,由于第二相或杂质小颗粒分布是不均匀的,晶粒长大阻力并不是处处相等,因而晶粒的长大不是连续的,往往可能在局部区域出现所谓异常长大,产生了晶粒大小极不均匀的现象,而出现所谓“混晶”。由于混晶造成的晶粒尺度的不均匀,又导致晶粒长大驱动力增加,当驱动力超过晶界移动总阻力时,其中较大的晶粒将吞并周围较小的晶粒而长大,形成了更为粗大的晶粒。
总之,晶粒长大是一种自发过程,它是由大晶粒吞并小晶粒的不均匀长大,和大晶粒进一步长大的均匀长大,两个阶段组成。
晶粒的长大主要表现为晶界的移动,高度弥散难熔的非金属或金属化合物颗粒对晶粒长大起很大抑制作用。为了获得细小的奥氏体晶粒,必须要保证钢中有足够数量和足够细小难熔的第二相颗粒。
三、影响奥氏体晶粒度的因素
前已述及,奥氏体的起始晶粒度取决于形核率N和长大速度G的比值N/G,此值愈大,奥氏体起始晶粒度愈细小。在起始晶粒形成之后,钢的实际晶粒度则取决于奥氏体晶粒在继续保温或升温过程中的长大倾向。而奥氏体晶粒长大倾向又和起始晶粒的大小、均匀性以及晶界能有关,见式(4)。起始晶粒度愈小,其大小愈不均匀,晶界能愈高,则其长大倾向愈大。晶粒的长大主要表现为晶界的移动,它实质上就是原子在晶界附近的扩散。而上述的这些因素又是受加热温度,保温时间,钢的成分及第二相颗粒性质、大小、多少,原始组织以及加热速度等的影响。
1 、加热温度和保温时间的影响晶
晶粒长大和原子的扩散密切相关,所以温度愈高,相应的保温时间愈长,奥氏体晶粒将愈粗大。图7 示出0.48%C-0.82%Mn钢在不同温度下奥氏体晶粒的长大过程。由图可见,在每一温度下都有一个加速长大期,当达到了一定尺寸后,长大过程将减弱并停止。温度愈高,奥氏体晶粒长大进行得愈快。
奥氏体晶粒长大速度V和晶界迁移率及驱动力的乘积正比,可表示为:
由上式看出,奥氏体晶粒长大速度除随温度升高而成指数关系增加外,还和晶界能及晶粒大小有关。温度增高,晶粒强烈长大。晶粒尺寸愈小,晶界能愈高,晶粒长大速度愈大。但晶粒长大到一限度时,由于D增大,σ减小,其长大速度将减慢。这和图7 的实验结果是一致的。
▲图7 奥氏体晶粒尺寸和加热温度保温时间的关系
(材料成分0.48%C-0.82Mn)
从图7 中还可以看出,为了得到一定尺寸的晶粒度,必须同时控制温度和保温时间。低温下保温时间的影响较小。在高温下保温时间的作用在开始较大,而后减弱。因此,加热温度增高,其保温时间应该相应缩短,这样才能获得较为细小的奥氏体晶粒。
2、 加热速度的影响
加热速度实质上是过热度的问题。加热速度愈大,过热度愈大,即奥氏体的实际形成温度愈高。由于高温下奥氏体的晶核形成率与长大速度之比增大(见表1-1),所以获得细小的起始晶粒度,如图8 所示。但由于起始晶粒度细小,加之温度较高,奥氏体晶粒很容易长大,因此不能长时保温,否则晶粒反而更加大。所以,在保证奥氏体成分较为均匀的前提下,快速加热和短时间保温能够获得到细小的奥氏体晶粒。
▲图8 在不同加热速度下,奥氏体晶粒大小和淬火温度的关系
3、 钢的含碳量的影响
图9 表示在不同温度 下钢中碳含量对奥氏体晶粒尺寸的影响。
▲图9 含碳量对奥氏体晶粒长大的影响
(每一温度下均保温3小时)
由图可见,在一定碳含量范围内,奥氏体晶粒随碳含量增加而增大。
这碳含量的限度是:
900℃为1.2%C,
1000℃为1.4%C,
1100℃为1.6%C,
1200℃为1.25%C,
1300℃为1.20%C。
超过这个限度时,碳含量进一步增加,奥氏体晶粒反而减小。将图上的虚线和Fe-Fe3C相图上的SE及EJ线加以比较,可以看出,奥氏体晶粒随着钢中碳含量升高而增大。这是因为随着碳含量增加,C在奥氏体中扩散速度以及Fe的自扩散速度均增大引起的。但是,当碳含量超过上述限量后,由于在这个温度下形成了未溶解的二次渗碳体(在900℃,1000℃及1100℃其浓度分别大于1.2%C、1.4%C及1.6%C)或液态熔体(1200~1300℃)。因此奥氏体晶粒的长大受到第二相的阻碍作用,又使奥氏体晶粒长大倾向减小。
可见,钢中碳含量增高时(在碳含量不足以形成未溶解的碳化物时),奥氏体的晶粒容易长大而粗化。因此过共析钢在Ac1-Accm之间加热,可以保持较为细小的晶粒,而在相同温度下加热时共析钢的晶粒长大倾向(过热敏感度)最大。
4、 脱氧剂及合金元素的影响
用Al脱氧的钢,晶粒长大倾向小,属于本质细晶粒钢,而用Si、Mn脱氧的钢,晶粒长大倾向大,一般属于本质粗晶粒钢。
Al能细化晶粒的主要原因是钢中含有大量的难熔的六方点阵结构的AlN.它们弥散析出在晶界上阻碍了晶界移动,防止了晶粒长大(见图6 ) 。
用Si、Mn脱氧的钢,因不能像Al那样生成稳定的高度弥散的第二相颗粒,因此没有阻止晶粒长大的作用。
但是,当钢中的残余Al(固溶Al)含量超过一定数量时,钢的奥氏体晶粒反而更易粗化。导致钢的本质晶粒由细变粗的残余铝含量,因钢种和冶炼方法不同而有所不同。对碳素钢来说,Al含量超过0.05%时,反而使晶粒粗化温度下降,如图10 所示。这可能和固溶Al量增加时易引起晶粒粗化有关。
▲图10 Ti、Zr、Nb、V、Al对奥氏体晶粒粗化温度的影响
在钢中加入适量的Ⅳ-B族元素(Ti,Zr)和V-B族元素(V、Nb、Ta),有强烈细化晶粒、升高晶粒粗化温度的效果(见图10)。因为这些元素是强碳、氮化物形成元素。在钢中形成熔点高,稳定性强、不易聚集长大的NbC、NbN、Nb(C、N)等化合物。它们弥散的分布在晶界上,使晶粒难以长大,从而保持细小的晶粒。
此外,能产生稳定碳化物的元素W、Mo、Cr等,也有细化晶粒的作用。Ni、Co、Cu等稍有细化晶粒的作用。而P、O等则是粗化晶粒的元素。
综上所述,按照阻碍奥氏体晶粒长大程度不同,可将合金元素分成如下几类:
强烈阻碍晶粒长大的如:Nb、Zr、Ti、Ta、V、A1等。
有中等阻碍作用的如:W、Mo、Cr等。
稍有阻碍或不起作用的如:Cu、Ni、Co、Si等。
增大晶粒长大倾向的如:C(指溶入奥氏体中),P、Mn、O等。
应当指出,上述关于合金元素的作用是指它们各自单独存在于铁中的情况。复合元素的影响,就不一定是单一元素作用结果的简单叠加。例,有试验指出,在纯铁中不含碳而同时加Al、N、Si、Mn时,晶粒度在4级以下;但加入少量碳时,晶粒度大于9级。
5、 原始组织的影响
原始组织主要影响起始晶粒度。一般说来,原始组织愈细,碳化物分散度愈大,所得到的奥氏体起始晶粒就愈细小。因此,和粗珠光体相比,细珠光体所获得的奥氏体起始晶粒总是比较细小而均匀的。
原始组织为非平衡组织时,碳化物的分散度愈大,奥氏体起始晶粒也愈细小。对某些钢,非平衡组织与平衡组织相比,采用较快速度加热到Ac1~Ac3之间高温区域或者稍高于Acm点时,非平衡组织有可能得到更为细小的起始晶粒。
但是从晶粒长大原理(见式(4))可知,起始晶粒愈细小,则钢的晶粒长大倾向性愈大,即钢的过热敏感性增大,在生产上较难控制。这就是许多高碳工具钢采用碳化物分散度较小的球化退火组织作为淬火原始组织的原因之一。原始组织极细的钢,不可用过高的加热温度和长时间保温。而宜采用快速加热、短期保温的工艺方法。
四、 粗大晶粒的遗传与切断
导致旧奥氏体晶粒遗传的根本原因,在于旧奥氏体和马氏体之间存在着严格的晶体位向关系。因此,要切断旧奥氏体晶粒的遗传,关键在于切断新旧相晶体位向关系,为此可采用如下措施:
1、 采用中间退火
已经淬火的过热钢,应先进行一次中间退火,得到细的平衡组织。此时,因平衡组织和旧奥氏体之间不存在严格位向关系。所以这种平衡组织再重新加热时,一般来说可以获得无严格晶体学位向关系的奥氏体晶粒。这种退火可用等温退火,也可用连续冷却退火,而以等温退火效果较好。
所谓遗传,是指在一种相变或组织转变时,转变产物保留了原始组织的宏观及显微的某些特征。钢中的遗传可分为两类,即组织遗传与相遗传。前者指相变结束后晶粒(尺寸和形状)的复原。后者则指转变相本身的晶体结构缺陷遗留给了新生相的现象。前述用马氏体等非平衡组织加热,出现的旧奥氏体晶粒部分或全部复原的现象即属于组织遗传。
通常,对一般钢件,因粗大晶粒遗传会造成材料机械性能,特别是韧性明显降低,所以组织遗传是有害现象。而相遗传因有提高材料强度等优点,多数情况下是有益现象。下面仅讨论过热奥氏体粗大晶粒的遗传与切断问题。
在热处理过程中,由于加热不当而使实际晶粒粗大的现象称为“过热”。过热淬火的后果是得到粗大的马氏体组织,使得钢件的机械性能显著降低。这就提出了如何纠正这种粗大组织的生产实际问题。
由奥氏体形成过程可知,只要将钢件加热到临界点稍上温度,由于奥氏体重新成核长大发生重结晶,将使晶粒细化,应当能消除过热现象。但如前述,当原始组织为粗大马氏体时,上述处理方法往往不一定有效。这是因为用粗大马氏体组织直接重新加热奥氏体化时,常因加热速度难以控制,而容易出现旧奥氏体晶粒部分或全部复原,即出现组织遗传。研究认为,合金钢非平衡组织加热时,采用慢速加热(过热度很小)及特快速加热(过热度很大)均容易出现组织遗传。只有采用较快速度或中等速度加热奥氏体化,才有可能消除组织遗传。而不同钢种,非平衡组织加热时不发生组织遗传的加热速度相差很大,很难定出一个通用界限。对于不同钢种这个加热速度可用试验确定。这就是说,用非平衡组织加热时,不太容易改正过热组织。
2、多次加热和冷却
新旧相之间虽然有一定的位向关系,但每经一次转变,位向关系就可能遭到一些破坏。经过多次加热和冷却,晶体学位向关系就可能基本被破坏。从而使过热组织得到校正。这种方法对比较容易发生再结晶的低合金钢较为有效,但对高合金钢效果欠佳。
3、 采用一次或多次高温回火
淬火粗大马氏体在高温回火时,会因碳化物析出,原始马氏体片或板条的再结晶而改变形状,因而消除了原来晶体位向关系。多次回火比一次回火效果为好。但对于高合金钢,因马氏体分解以及原马氏体片或板条再结晶比较困难,其效果不如等温退火。
4、 高温奥氏体再结晶
研究认为,将马氏体采用适当速度(如大于100℃/s)加热到临界点以上100~200℃的高温,然后淬火,可消除粗大晶粒的遗传,而得到细小的晶粒。其原因可能是快速加热时,α相向γ相转变引起的体积变化,使奥氏体发生加工硬化(称为相变硬化),以及因快速加热使马氏体的结构缺陷遗传给奥氏体而引起的强化,可导致奥氏体在更高温度下发生再结晶。这种再结晶是通过在已形成的奥氏体晶体中,重新形成许多彼此晶体位向不同的奥氏体来完成的所以新形成的细小奥氏体与原来的奥氏体之间不存在严格的位向关系。这样,当保温时间不太长时,可以获得到较为细小的无严格晶体位向的奥氏体晶粒,而改正了过热组织。上述的奥氏体晶粒再结晶过程可用图11 表示。
▲图11 不同原始组织的试样,加热时的
重结晶及奥氏体晶粒再结晶的示意图
为了进行比较,也给出了平衡组织奥氏体化过程。由图看出,旧的粗大奥氏体晶粒(I-a),(Ⅱ-a),缓慢冷却时得到几个大珠光体团。而快速冷却时则得到几个大的具有方向性的马氏体群(Ⅱ-b)。重新加热到临界点稍上温度时,珠光体可转变为细小的无严格晶体位向的起始奥氏体晶粒(I-c),改正了过热组织。继续升温或保温时,起始奥氏体晶粒聚合长大。而原始组织为粗大马氏体时,在临界点稍上温度,也生成了许细小的起始奥氏体晶粒,但实际上在原来同一个马氏体群中的小奥氏体晶粒几乎具有相同的晶体位向(I-c)。实质上没有起到细化晶粒的作用,而具有粗大晶粒的性质,淬冷后断口也是粗糙的。这样一种组织状态也属于组织遗传。但是,在继续快速加热到高温时,这种奥氏体晶粒发生了再结晶,而生成了无严格晶体位向的小奥氏体晶粒(Ⅱ-d),消除了过热组织。继续升温或保温时,已再结晶了的奥氏体晶粒再发生长大(Ⅱ-e)。
免责声明:本网站所转载的文字、图片与视频资料版权归原创作者所有,如果涉及侵权,请第一时间联系本网删除。
相关文章
官方微信
《中国腐蚀与防护网电子期刊》征订启事
- 投稿联系:编辑部
- 电话:010-62316606-806
- 邮箱:fsfhzy666@163.com
- 中国腐蚀与防护网官方QQ群:140808414
点击排行
PPT新闻
“海洋金属”——钛合金在舰船的
点击数:7532
腐蚀与“海上丝绸之路”
点击数:6033
























