摘要
使用拉曼光谱和透射电镜等分析手段研究了高能快重离子辐照对ZnO单晶内部结构特性的影响。结果表明,经过快重离子辐照后,在ZnO单晶的拉曼光谱中出现了两个新的振动吸收峰。采用不同轴向的拉曼入射光表征方法,证实了位于576 cm-1的振动吸收峰与氧空缺位(V0)密切相关。经离子辐照后透射电镜图像显示出现了许多间隙原子、空位和位错等缺陷,而电子衍射图表明试样没有出现明显的非晶化。这个结果表明,较高的能量和辐照剂量对氧化锌的整体结构和性能几乎没有影响,也充分证明ZnO单晶具有良好的抗辐照性能。
关键词: 无机非金属材料 ; ZnO的结构与性能 ; 快重离子 ; 拉曼光谱 ; 透射电镜
氧化锌材料不仅广泛应用于半导体器件,如透明导电显示器、气体传感器、纳米光子学器件等,而且具有良好的光电子性能[1,2,3]。在光电二极管和激光领域的研究和开发,已经引起了极大的关注,而对在强辐射环境下ZnO单晶的结构性能研究较少。与其他半导体材料(如氮化镓)相比,氧化锌的资源丰富、制备工艺简单、器件稳定性好、可用于长寿命器件[4,5]。因此,研究氧化锌单晶具有重要的现实应用意义。
目前离子辐照ZnO的研究主要集中在ZnO薄膜材料,如Fouran Singh[6]等利用120 MeV金离子辐照纳米氧化锌薄膜,研究了晶格缺陷和结构应变对声子的软化作用。Sebiha Rehman[7]等研究了快速重离子诱导纳米氧化锌薄膜的结构和光谱特征。Xiaohu Huang[8,9]等研究了掺杂铜的氧化锌纳米线的超快和强紫外发光和氧化锌纳米棒氢掺杂对紫外辐射的增强作用。D. Jana[10]等研究了700 keV氧离子辐照ZnO的内部缺陷特征。在ZnO薄膜的研究中,关于声子模态都有报道。声子模态是晶格缺陷,可能是氧空位、间隙锌或其组合。本文研究350 MeV 56Fe21+离子辐照ZnO单晶的拉曼光谱和透射电镜照片。
1 实验方法
用350 MeV 56Fe21+离子辐照表面抛光的高纯氧化锌单晶(试样的尺寸为5 mm×5 mm×1 mm)。在兰州重离子加速器国家实验室SFC-T1实验终端进行离子辐照实验,样品室的真空度为5×10-5 Pa。流强通量控制在5×1010个离子/s/cm2以下,以避免样品过热。用拉曼光谱(显微共焦拉曼光谱,LabRAM HR800,Jobin Yvon Co.)和透射电镜(SJEM-2100F JEOL Japan)对样品进行了分析研究,用532 nm激发波长测量ZnO的拉曼光谱。采用商业聚焦离子束(FIB)技术(JIB-4610F JEOL Japan)制备透射电镜辐照区和未辐照区薄试样。350 MeV 56Fe21+离子在氧化锌中的入射深度为35 μm。使用SRIM2013程序理论计算ZnO中350 MeV 56Fe21+离子辐照后的能量损失值和入射范围。
2 结果和讨论
图1给出了未辐照和350 MeV 56Fe21+离子辐照的ZnO单晶的拉曼光谱。在拉曼测量中,入射光和散射光沿z轴方向传播(<0001>轴方向)。图中相关的分子振动表示活性拉曼模式,红色箭头指定原子运动的主导方向。图中最低端的黑线是未辐照ZnO单晶的拉曼光谱。从谱线可以清楚地看出,ZnO单晶E2(low)、E2(high)、A1(LO)的特征振动模式分别为101 cm-1,437 cm-1,576 cm-1。在202 cm-1处出现了2E2(low)的特征振动模式,在333 cm-1处出现了E2(high)-E2(low)的拉曼峰。图中将350 MeV 56Fe21+离子辐照ZnO单晶的拉曼光谱从上到下按照剂量依次排列为1×1014、5×1013、1×1013、5×1012 ions/cm2。从谱线上可见,56Fe21+离子辐照后在80 cm-1~200 cm-1和526 cm-1~576 cm-1处出现了两个较宽的振动吸收谱带。研究表明,80 cm-1~200 cm-1的振动吸收峰是间隙锌(Zni)缺陷引起的[11,12]。在526 cm-1到600 cm-1之间的振动吸收峰是氧空位(V0)缺陷引起的[13,14]。由于氧空位(V0)缺陷与A1(LO)振动模态的峰值完全重合,很难确定辐照后A1(LO)的振动模态是否发生了变化。因此,用垂直于Z轴(<0001>轴方向)的入射光和散射光测量拉曼光谱,以消除A1(LO)振动模式对氧空位(V0)的影响。如图2所示,沿56Fe21+离子入射深度方向,入射光与散射光垂直于z轴(<0001>),测试了350 MeV 56Fe21+离子1×1014 ions/cm2剂量辐照条件下在不同深度(2、5、10、20、25、32、35和40微米)的拉曼光谱,使用SRIM计算出350 MeV 56Fe21+离子在ZnO中的入射深度约为35微米)。未辐照样品在576 cm-1处没有表现出A1(LO)模式(图2最下端的黑色线为未辐照样品)。56Fe21+离子辐照后,在576 cm-1处出现与氧空位(V0)相关的缺陷吸收峰。位于80 cm-1~200 cm-1的吸收峰对应间隙锌(Zni)相关缺陷,56Fe21+离子辐照后缺陷的吸收峰明显增强。

图1 拉曼入射光沿晶体z轴方向56Fe21+离子辐照和非辐照氧化锌单晶的拉曼光谱

图2 剂量为1×1014 ions/cm256Fe21+离子辐照后沿离子入射方向[0001]不同深度处拉曼入射光和散射光垂直于ZnO单晶z轴[0001]方向的拉曼光谱
图3给出了高分辨电子显微镜下1×1014 ions/cm256Fe21+离子辐照ZnO单晶后沿56Fe21+离子入射深度方向不同深度(距离试样表面2、10、25、32 μm)的照片。从图3可以看出,56Fe21+离子辐照后原子排列发生了一系列变化,产生了包括间隙原子、位错、空位等缺陷。用透射电镜(TEM)测量出不同方向(002)、(200)、(111)、(100)的平面间距,分别为0.258 nm、0.19 nm、0.22 nm、0.280 nm。同时,从右边对应的电子衍射模式可以看出,试样的衍射斑点清晰、整齐排列,而且没有明显的非晶现象。这充分表明,较高能量(350MeV)和较高辐照剂量(1×1014 ions/cm2)几乎不影响氧化锌的结构和性能。

图3 1×1014 ions/cm256Fe21+离子辐照后样品中沿离子的入射方向在不同深度处的图像和电子衍射光斑
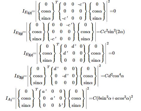
ZnO晶体中的锌原子和氧原子形成一个简单的六角形晶格,每个原始细胞由四个原子两个ZnO分子单元组成。有八个光学振动模式在Γ点的布里渊区中心,可表示为Γopt =A1+2B1+E1+2E2 [15]。A1和E1是极化晶格振动模式,是具有拉曼和红外活性的光学振动模式。由于传播方向垂直于Z轴对称,这些模态可分为E1(LO)(588cm-1)和A1(TO)(380 cm-1)(LO,纵向光学模式;TO,横向光学模式)。极化-感应模式E1(TO)(410 cm-1)和A1(LO) (576 cm-1)在红外区域沿z轴平行传播,在布里渊A1的第一个区域,E1是双简并的,E2(低为101 cm-1,高为438 cm-1)只有拉曼活性,B1没有拉曼活性和红外活性。R. Loudon等[16]计算了以下五个ZnO的拉曼张量:
拉曼散射强度I与入射和散射光束偏振强度矢量ei和es有关,即I=C|ei·Rγ·es|2。C为常数,Rγ为声子γ的拉曼张量。选择合适的入射光和散射光偏振方向,可以测量不同的拉曼光谱。例如,如果采用背向散射几何设置x(ei, es) [17,18],偏振强度向量ei=(0, cosα, sinα), es=(0, cosα, sinα)T。其中α为入射光偏振方向与y轴之间的夹角。根据上面的公式可分别计算出A1声子、E1(x)声子、E1(y)声子、E2(x)声子和E2(y)声子的散射强度

结果表明,A1模为平行于晶体z轴的振动,偏振方向沿z轴方向是非简并的。当入射光和散射光沿z轴传播时E1(y)声子的散射强度,正是如图1所示A1(LO)(576 cm-1)的散射强度;E1模式是在XY平面内的垂直z轴振动。只有入射光和散射光方向在垂直z轴平面上运动时才会观察到A1声子的散射强度,并能观察到E1(LO) (588 cm-1)模态, 这些在图2中得到了确认。因此,辐照后通过平行和垂直与Z轴的入射光和散射光就能很容易区分A1(LO)和氧空位(V0)的变化。可同时检测到低频E2(low)和高频E2(high)模态。其原因是,低频E2(low)模态只与Zn原子的振动有关,高频E2(high)模态只与O原子的振动有关。这些都是快重离子辐照后大量间隙氧和间隙锌原子引起的。相应的锌间隙缺陷(Zni)的吸收带约为80~200 cm-1,氧空位(V0)吸收带在576 cm-1。这些吸收带的强度与离子的辐照剂量密切相关。结果证明,离子辐照后576 cm-1处的振动吸收峰不是A1(LO)的振型,而是氧空位(V0)的振动吸收峰。
3 结论
高能56Fe21+离子辐照ZnO单晶,会产生大量与氧空位和间隙锌有关的缺陷。通过理论计算和细致的拉曼表征证明了,快重离子辐照后拉曼活性在576 cm-1处的振动吸收峰不是A1(LO)的,而是氧空位(V0)的振动吸收峰,且随着剂量的增大氧缺陷的吸收峰增强,在剂量为5×1013 ions/cm2时达到饱和,存在剂量阈值,说明辐照后ZnO单晶的局部结构破坏。经过高能重离子辐照也很难产生非晶态,表明ZnO单晶具有很高的抗辐射性能。
参考文献
[1] Mina Sorbiun, Ebrahim Shayegan Mehr, Ali Ramazani, et al. Biosynthesis of Ag, ZnO and bimetallic Ag/ZnO alloy nanoparticles by aqueous extract of oak fruit hull (Jaft) and investigation of photocatalytic activity of ZnO and bimetallic Ag/ZnO for degradation of basic violet 3 dye [J]. J Mater Sci: Mater Electron, 2018, 29: 2806
[2] Ozgur U, Alivov YI, Liu C, et al. A comprehensive review of ZnO materials and devices [J]. J Appl Phys, 2005, 98: 41301
[3] M. M. Mikhailov, V. V. Neshchimenko, C. Li, et al. Nuclear Instruments and Methods in Physics Research Section B: Beam Interactions with Materials and Atoms [J]. Volume418(2018), P18-26
[4] S. Xu, Y. Qin, C. Xu, et al. Self-powered nanowire devices [J]. Nat. Nanotechnol, 2010, 5: 366
[5] M. Dutaa, D. Perniua, A. Dutaa, Photocatalytic zinc oxide thin films obtained by surfactant assistedspray pyrolysis deposition [J]. Applied Surface Science, 2014, 306: 80
[6] Fouran Singh, R. G. Singh, Vinod Kumar, et al. Softening of phonons by lattice defects and structural strain in heavy ion irradiated nanocrystalline zinc oxide films [J]. JOURNAL OF APPLIED PHYSICS, 2011, 110: 083520
[7] Sebiha Rehman, R. G. Singh, J. C. Pivin, et al. Structural and spectroscopic modifications of nanocrystalline zinc oxide films induced by swift heavy ions [J]. Vacuum 86 (2011) 87-90
[8] Huang X H, Chen R, Zhang C, et al. Ultrafast and Robust UV Luminescence from Cu-Doped ZnO Nanowires Mediated by Plasmonic Hot Electrons [J]. Adv. Optical Mater., 2016, 4: 960
[9] X. H. Huang, Z. Y. Zhan, K. P. Pramoda, et al. Correlating the enhancement of UV luminescence from solution-grown ZnO nanorods with hydrogen doping [J]. Cryst Eng Comm, 2012, 14: 5163
[10] S. Pal, A. Sarkar, S. Chattopadhyay, et al. Defects in 700 keV oxygen ion irradiated ZnO [J]. Nuclear Instruments and Methods in Physics Research B, 2013, 311: 20
[11] Crupi I, Boscarino S, Strano V, et al. Optimization of ZnO:Al/Ag/ZnO:Al structures for ultra-thin high-performance transparent conductive electrodes [J]. Thin Solid Films, 2012, 520: 4432
[12] Choi K-H, Nam H-J, Jeong J-A, et al. Highly flexible and transparent InZnSnOx/Ag/InZnSnOx multilayer electrode for flexible organic light emitting diodes [J]. Appl Phys Lett, 2008, 92: 223302
[13] W. L. Li, Q. Y. Hou, X. F. Jia, et al. Effects of La Doping and Zn or O Vacancy on the Magnetic Property of ZnO [J]. Journal of Superconductivity and Novel Magnetism, 2018: 1
[14] A. F. Jaramillo, R. Baez-Cruz, L.F. Montoya, Estimation of the surface interaction mechanism of ZnO nanoparticles modified with organosilane groups by Raman Spectroscopy [J]. Ceramics International, 2017, 43: 11838
[15] J. Serrano, A. H. Romero, F. J. Manjon, et al. Pressure dependence of the lattice dynamics of ZnO:An ab initio approach [J]. Phys. Rev. B,69 (2004) 094306: 1-14
[16] R. Loudon, The Raman effect in crystals [J]. Adv. Phys, 1964, 13: 423
[17] B Tell, TC Damen, SPS Porto, Raman Effect in cadmium sulfide [J]. Phy. Rev., 1966, 142: 570
[18] Song Y, Gou J, Yang Y T, et al. Microstructure property study of ZnO single crystal irradiated with 200 MeV Kr ions [J]. Mater. Res. Express, 2019, 6: 026203
免责声明:本网站所转载的文字、图片与视频资料版权归原创作者所有,如果涉及侵权,请第一时间联系本网删除。
官方微信
《中国腐蚀与防护网电子期刊》征订启事
- 投稿联系:编辑部
- 电话:010-62316606-806
- 邮箱:fsfhzy666@163.com
- 中国腐蚀与防护网官方QQ群:140808414



