微生物腐蚀杀菌剂研究进展
2021-11-05 13:32:12 作者:何勇君, 张天遂, 王海涛, 张斐, 李广芳, 刘宏芳 来源:中国腐蚀与防护学报 分享至:

 微生物腐蚀 (MIC) 是一种广泛存在于油田、海洋、土壤、以及淡水环境中的腐蚀失效行为[1-4]。微生物直接或间接参与了金属腐蚀的电化学过程,并显著加快金属的腐蚀速率,促进金属材料服役失效。目前普遍认为微生物腐蚀与材料表面形成的生物膜密切相关,生物膜能够为微生物的生长代谢提供合适条件,同时还能够改变金属界面的理化性质,进而影响金属的腐蚀过程以及腐蚀产物的组成、结构、物理化学特性等[5-7]。与金属腐蚀相关的微生物,主要有原核生物—细菌以及具有完整的细胞核的真核生物—真菌和藻类。目前关于微生物腐蚀的研究主要集中于与细菌相关的腐蚀,引起微生物腐蚀的细菌种类繁多,其中主要包括硫酸盐还原菌 (SRB)、铁氧化菌 (IOB)、产甲烷杆菌 (Methanogens)、铜绿假单胞菌 (PAE) 和其他腐生菌等[8,9]。目前已经有大量的研究揭示细菌相关的微生物腐蚀行为及其腐蚀机理[5,10,11]。在实际生产中,细菌引起的微生物腐蚀主要出现在油田系统和海洋环境[12]。真菌和藻类等真核生物相关的微生物腐蚀目前的研究相对较少,然而真菌和藻类造成的腐蚀在实际生产和生活中非常普遍且危害严重。真菌腐蚀往往出现在潮湿有氧环境,引起金属材料腐蚀的真菌主要以霉菌为主[13],霉菌相关的微生物腐蚀常见于交通系统和航空航天设备中,在我国的高铁动车组列车的车体腐蚀调查中发现,列车车厢底板和排水槽处出现严重的腐蚀现象且相应的腐蚀部位检测到大量霉菌。淡水环境如湖泊和淡水管道等是藻类微生物腐蚀最容易发生的地方,水体富营养化是导致藻类爆发的重要原因,其中小球藻 (Chlorella vulgaris) 是一种能够在富营养水体中对碳钢和不锈钢造成严重腐蚀的藻类微生物,研究[14]表明,在阳光的照射下,小球藻能显著地促进碳钢点蚀的发生。


目前提出的微生物腐蚀的防护方法众多,但杀菌剂一直是实际应用中最为直接高效的防护方法[15,16]。杀菌剂 (Bactericides) 是用于防治由各种原微生物引起危害的化学药剂的总称,它通过杀死或抑制有害微生物进而解决金属管道及设备腐蚀堵塞等问题。一直以来,SRB、铁细菌和腐生菌等细菌是造成油田回注水系统腐蚀的主要原因之一,而杀菌剂是防止这类微生物腐蚀的重要方法[17]。我国油田每年都会向油田采出水中注入大量杀菌剂以抑制细菌引起的腐蚀和管道堵塞的发生。此外在原油输送管道、汽柴油输送管道、冷凝水管道等微生物腐蚀高发区杀菌剂的使用也是首选。对于霉菌和藻类引起的腐蚀,杀菌剂同样也是经济高效的防护方法[18]。无论是金属设备的防霉处理还是富营养水体藻类的控制,相应的杀霉菌剂和杀藻剂也发挥着重要作用。

我国目前许多油田已经进入了二次采油阶段,随着油田采出水和回注水量的不断增加,杀菌剂需求量也不断提升。尽管需求量和投入量巨大,但杀菌剂的使用必须遵循以下科学原则[19]:(1) 广谱性,杀菌剂必须能够对多种微生物具有强力的杀灭效果;(2) 穿透性,杀菌剂具有穿透和扩散生物膜的能力;(3) 经济适用性;(4) 可降解性。在实际应用中,杀菌剂的使用也同样需要根据实际情况做具体决定,杀菌剂的使用首先要根据引起腐蚀的微生物的种类来确定,选择针对性的杀菌剂是解决微生物腐蚀的关键。因此,在追求杀菌剂广谱性的同时,其特异性和专一性同样不可忽视。其次,单一种类杀菌剂的长期使用会促进微生物抗药性的增强[20],从而极大地削弱杀菌剂的效果,这就对探索杀菌剂混合使用的最佳配比和新型杀菌剂的研发速度提出了更高的要求[21]。最后,在开放性环境,杀菌剂几乎不可能一次性完全杀灭所有微生物,因此微生物腐蚀在一定条件下必然会反复发生,导致杀菌剂往往需要长期持续的添加。

目前微生物腐蚀的防控和高效杀菌剂的研发还有诸多困难,实际生产中微生物腐蚀造成的损失日益突出,且杀菌剂在多领域需求不断攀升,本文针对不同类型微生物—细菌、真菌和藻类所造成的腐蚀现象,结合近年来杀菌剂的发展方向,综述了用于防控微生物腐蚀杀菌剂的研究进展,为微生物腐蚀防护和杀菌剂的研究和合理使用提供了参考。

1 细菌诱导的腐蚀与杀菌剂

油气田采出水和回注水以及工业冷却水系统是细菌引起的微生物腐蚀高发区[22],同样也是杀菌剂投入和使用最多的位置。油田水具有的较高矿化度和温度以及管道中的缺氧、垢下等环境使得SRB成为油田环境下对腐蚀促进作用最大的细菌之一。此外,油田环境下还存在的好氧菌如IOB等,不仅促进碳钢管道的腐蚀,其新陈代谢过程会消耗环境中的氧气为其典型的共生细菌SRB提供合适的生长代谢环境,与SRB产生协同效应加剧基体材料腐蚀失效[23]。杀菌剂作为简单高效的防护方法广泛应用于国内外许多油气田和工业冷却水系统,因此,本文侧重介绍油田采出水和工业冷却水环境中用于防控细菌腐蚀的杀菌剂研究进展。

1.1 季铵盐类杀菌剂

季铵盐杀菌剂作为一种最常用且有效的阳离子杀菌剂,在工业循环冷却水和油田注水系统中有着广泛的应用。季铵盐杀菌剂不仅具有高效的杀菌效果,还可以与其他杀菌剂复配,增强其它成分的杀菌作用,同时展现出一定的缓蚀效果[24,25]。季铵盐杀菌剂还能够剥离附着在管道内壁的生物膜,对于管道内黏泥和生物膜下的细菌也能起到较好的杀灭效果。季铵盐杀菌剂杀菌原理是阳离子通过静电力、氢键力以及表面活性剂分子与蛋白质分子间的疏水结合等作用[26],吸附带负电的细菌体,聚集在细胞壁上,产生室阻效应,导致细菌生长受抑而死亡。其疏水烷基还能与细菌细胞的亲水基作用,影响膜的通透性[27],发生溶胞作用,破坏细胞结构,引起细胞的溶解和死亡[28]。

油田中常规的季铵盐类杀菌剂如十二烷基二甲基苄基氯化铵、Gemini型杀菌剂[29]、十二烷基三甲基氯化铵、双咪唑啉环的溴化季铵盐等已被广泛应用并取得理想的杀菌效果。其中十二烷基二甲基苄基氯化铵,又名苯扎氯铵 (BKC),作为一种典型的季铵盐类杀菌剂被相关研究者重视,Liu等[30]研究表明,苯扎氯铵 (质量分数80%) 在含饱和CO2的油田采出水中对SRB的最低杀菌浓度为40 mg/L,当苯扎氯铵浓度达到80 mg/L时,油田水中的SRB几乎已经检测不到,在此浓度下,苯扎氯铵还降低了碳钢的腐蚀速率。一些研究表明,有机硅季铵盐 (OSA) 在弱碱性条件下能够抑制SRB的生长,Etim等[31]研究了OSA对碳钢在含有SRB的模拟混凝土孔隙液中的腐蚀,结果表明OSA高效的抑菌效果减低了SRB对碳钢的腐蚀。然而,单季铵盐杀菌剂在实际应用中往往存在一定的缺陷,当持续使用单季铵盐类杀菌剂时,其使用效果会由于微生物产生耐药性而下降。相比与单季铵盐杀菌剂,双季铵盐由于分子中具有双倍的官能团,其杀菌性能显著优于相应的单季铵盐产品从而引起研究者的重视。双子杀菌剂 (Gemini biocide) 是一种由两个传统的杀菌剂分子结合所形成的一种新型杀菌剂。双子季铵盐杀菌剂由两个亲水基团、两个疏水基团和一个连接基团构成[29],分子结构中的连接基团将两个单链季铵盐结合,从而使得双子季铵盐在提升杀菌性能的同时还具有良好的水溶性。双子季铵盐杀菌剂在化工和水处理领域应用广泛[32],其高效广谱的杀菌性能已被很多研究证实[33-35]。楚雨格等[36]利用二乙烯三胺与丁二酸得到双咪唑啉中间体,然后与氯化苄进行季铵化反应制备了新型双咪唑啉双季铵盐缓蚀剂氯化1,2-二 (N-苯基-N-氨乙基咪唑啉) 乙烷 (PIM-2-IMP),这种新型双季铵盐物质在油田污水对SRB的最低杀菌浓度为40 mg/L,同时兼具了一定的碳钢缓蚀效果。

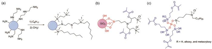
为进一步提升季铵盐类杀菌剂的性能,近年来研究者致力于将季铵盐单体分子聚集组装,形成季铵盐聚合物或微纳粒子从而加强其杀菌性能[37]。目前制备季铵盐纳米粒子的方法主要有:(1) 直接合成季铵盐微纳粒子[38,39];(2) 纳米粒子表面改性,通过对纳米颗粒基体 (如纳米SiO2) 表面的修饰,添加含有季铵盐结构的基团[40]。研究表明,直接合成的季铵盐聚乙亚胺纳米颗粒具有比常规季铵盐杀菌剂更长期和更高活性的抗菌效果。Yudovin-Farber等[41]将悬浮聚合的4-乙烯吡啶与烷基卤化物进行N-烷基化反应,得到了具有抗菌活性的季铵盐吡啶类颗粒。Makvandi等[42]将纳米SiO2经过甲基丙烯酸季铵盐功能化修饰,认为该纳米颗粒展现出良好的广谱杀菌性能,且这种修饰过的SiO2纳米粒子的杀菌性归因于两方面:季铵盐自身的杀菌效果和甲基丙烯酸酯单体在聚合物基质上形成的化学键。此外,通过溶胶-凝胶法制备的硅烷季铵功能化甲基丙烯酸酯单体大分子还可用于抗菌涂层或树脂修复材料[43]。图1展示了直接合成季铵盐纳米粒子、纳米SiO2表面改性和溶胶-凝胶法制备季铵盐大分子单体的示意图。

图1   合成季铵盐聚乙烯亚胺纳米粒子[38,39],表面修饰的二氧化硅纳米粒子[40]及溶胶-凝胶法制备的大分子单体[43]
Fig.1   Schematic presentation for synthesis of quaternary ammonium polyethyleneimine nanoparticles[38,39] (a), surface modified silica nanoparticles[40] (b) and macromonomers synthesized by a sol-gel chemical route (c)[43]

1.2 胍类杀菌剂

胍也称亚胺脲 (CH5N3),是一种新型水处理杀菌剂。胍广泛存在于多种植物中,动物体内也含有微量的胍。由于胍很不稳定,胍盐是胍常见的存在形式。胍类杀菌剂是结构中含有胍基团的物质,具有良好的杀菌性能[44]。胍类杀菌剂种类多,杀菌范围广且具有稳定性高、可降解、低成本、绿色环保等优势,故胍类杀菌剂近年来发展较快且应用范围不断延伸。在油田采出水体系中,有机胍类物质是常用高效的杀菌剂。有机胍类杀菌剂可分为长链烷基胍类、双胍类和聚合胍类杀菌剂。其杀菌机理为胍类物质在溶解在水中带正电荷,能够与细菌吸附并改变细菌细胞膜的通透性,使得细菌细胞内部物质溶出,破坏细胞结构。胍类杀菌剂还能够使细胞中的酶和蛋白质变性,发挥杀菌作用[45]。

自1986年研究者发现烷基胍及其衍生物都具有良好的杀菌效果以来,多种胍类杀菌剂在不同领域的应用逐步广泛。胍类杀菌剂在油田采出水和工业冷却水中的应用潜力巨大,盐酸十二烷基胍能够用于冷却水中微生物腐蚀的有效防治。在长链烷基胍中,醋酸十八胍、重十二胍亚硫酸盐以及十二烷基胍醋酸盐都是常用的杀菌剂。其中十二烷基胍醋酸盐是美国氰胺公司的产品,商品名称为多果定,它是最早商品化的胍类杀菌剂。常见的双胍类杀菌剂主要有双氯苯双胍己烷、双胍辛乙酸盐等。为增强胍类杀菌剂的长效性,Gurbunova等[46]合成了新型银基含胍纳米复合物杀菌剂,该物质无毒且水溶性良好,能够有效杀灭革兰氏阳性菌和革兰氏阴性菌。Protasov等[47]选取聚合物生物杀菌剂高分子聚六亚甲基胍 (PHMG-Cl) 与钼酸钠为原料,采用阴离子法交换合成了高分子聚六亚甲基胍钼酸盐杀菌剂并用于涂层,该物质能够有效防止污损微生物对碳钢材料的侵蚀,相应的合成路线如图2所示。Zhang等[48]利用二亚乙基三胺和盐酸胍为原料,制备了一种新性高分子胍杀菌剂,测试结果表明,这种胍杀菌剂在工业冷却水中能够有效杀灭腐生菌、铁细菌、硫酸盐还原菌和多种藻类,其杀菌效果远高于同浓度的十二烷基二甲基苄基氯化铵和一些双季铵盐类杀菌剂。

图2   聚六亚甲基胍钼酸盐的合成[47]
Fig.2   Synthesis of polyhexamethylene guanidine molybdate[47]

1.3 杂环类杀菌剂

杂环化合物以其良好的生物活性和低的毒性、环境友好、易于降解等优势在杀菌剂领域中占有重要地位。开发并推广应用杂环杀菌剂成为如今防控微生物腐蚀的发展趋势。杂环类杀菌剂指分子结构中的多元环中含有N、O、S等杂原子的杀菌剂。杂环类杀菌剂的种类极多且应用范围非常广泛,不仅能用于水环境中微生物腐蚀的防护,还能用于农作物等植物病虫害的防治。杂环类杀菌剂能有效抑制细菌真菌的生长繁殖[49],其作用机理描述如下:杂环类杀菌剂被微生物吸收后其分解代谢过程会在线粒体中进行,此过程将显著抑制三磷酸腺苷 (ATP) 的合成,从而破坏微生物生命系统的能量供应。氟啶胺、啶氧菌酯、嘧菌酯、啶酰菌胺、氟嘧菌酯、噻菌灵等杂环杀菌剂均能抑制微生物的能量供应。

杂环类杀菌剂种类繁多且应用范围广泛,表1总结了当前实际应用中常见的高效杂环杀菌剂[50]。


在上述的杂环杀菌剂中,吡啶硫酮钠 (SPT) 是一种防控微生物腐蚀极具应用潜力的杂环杀菌剂,Wang等[53]研究了SPT对X80管线钢在含有SRB的模拟油田采出水腐蚀行为的影响,结果表明SPT具有良好的抑制SRB生长繁殖的特性,其最低杀菌浓度为30 mg/L。SPT还能够穿透生物膜,有效杀灭膜下的SRB,电化学测试结果表明,在含有SPT的油田水中X80管线钢的腐蚀电流密度显著降低。除良好的杀菌效果外,SPT还展现出卓越的缓蚀性能。分子动力学模拟的结果显示SPT分子能够紧密的吸附在碳钢表面,抑制微生物成膜的同时减少碳钢的腐蚀速率,如图3所示。这种一剂双功能的杂环类物质是不可多得的微生物腐蚀高效抑制剂。


图3   模拟SPT在水溶液中Fe(110) 表面上的平衡吸附构型[53]
Fig.3   Equilibrium adsorption configurations simulated for SPT on Fe(110) surface in aqueous solution: side view (a), top view (b)[53]

1.4 复配型杀菌剂与复合杀菌剂

由于每种杀菌剂在应用中都会存在一定的局限性,因此复配成为杀菌剂领域最为经济的合成方法之一。复配型杀菌剂往往通过将两种或两种以上的杀菌活性成分按照一定比例调配得到具有更宽杀菌范围和更高杀菌活性的杀菌剂。复配型杀菌剂的使用能够在降低研发成本的同时取得更好的杀菌防护效果。

复配型杀菌剂不只限于将几种杀菌剂混合,还会额外添加一些能够增加杀菌效果的成分如增效剂、渗透剂等。复配杀菌剂的调配比例及方法灵活多变,往往需要根据使用环境调整配方以保证杀菌效果稳定高效以及与其他油田化学品的配伍性。目前常见的复配型杀菌剂有SQ8 (二硫氰基甲烷+苯扎氯胺+溶剂+表面活性剂)、S15 (二硫氰基甲烷+溶剂+表面活性剂)、WC-38 (二硫氰基甲烷+双砜+溶剂)、J12 (苯扎氯胺+双氧化物+增效剂)、FH系列杀菌剂 (十二烷基叔胺、氯化苄、苯酚、甲醛、戊二醛、异丙醇、糠醛等按比例调配) 等。这些复配型杀菌剂通过各种组分之间的相互协同作用提高了杀菌效率,在实际应用中取得了理想的杀菌效果。孙彩霞等[54]将异噻唑啉酮和次氯酸钠单体复配得到了的复合杀菌剂,现场测试表明这种复配得到的杀菌剂能够有效地控制冷却水中的菌量,降低Q235钢试样的腐蚀速率。在无机复合抗菌材料领域,吴进怡等[55]以纳米MgO为主体,将其与纳米ZnO、纳米TiO2、纳米CuO、纳米Cu2O、纳米Ag2O、纳米ZnS、纳米ZrO2、纳米Y2O3、纳米Al2O3、纳米CaO中的一种或多种无机物复合成为纳米粉浆,得到了高效抗菌防霉无机复合纳米粉浆,该物质抗菌性能优良,属于无机杀菌剂,且不产生耐药性,具有良好的应用前景。

2 霉菌诱导的铝合金腐蚀与抗真菌剂

与SRB、IOB等细菌相同,真菌引起的金属材料腐蚀失效同样广泛存在。真菌主要包括霉菌,酵母和大型真菌,其中霉菌是引起微生物腐蚀最多的真菌,铝合金、镁合金等轻金属是最容易遭受霉菌腐蚀的材料[13,56,57]。霉菌引起的腐蚀主要发生在有氧、潮湿且含有一定腐殖质的环境中[58,59]。霉菌在生长繁殖过程中会代谢产生大量酸性产物从而引起周围金属材料的腐蚀,这种霉菌诱导的微生物腐蚀在机动车、高铁、船舶、航空航天设备中广泛存在[60,61]。然而目前关于霉菌的微生物腐蚀机理与防护的研究相对较少。

对于霉菌诱导的微生物腐蚀而言,杀真菌剂同样是一种简单高效的方法。尽管目前关于抗真菌剂的研究已取得一定进展,但大部分抗真菌剂仅限于农作物病虫害的防止或动物真菌感染的治疗,而用于自然环境和生产生活环境中的微生物腐蚀抗真菌剂的研究还比较有限。Zhang等[62]研究了黑曲霉在富营养环境中对5083铝合金的腐蚀行为以及硝酸咪康唑 (MN) 对黑曲霉腐蚀的抑制效果。结果表明,黑曲霉在生长代谢过程中会产生大量草酸并引起铝合金的严重腐蚀,其中,铝合金的腐蚀几乎完全由黑曲霉的代谢产物引起。当腐蚀介质中添加10 mg/L的MN时,黑曲霉的生长受到明显抑制,当 MN的浓度提升至20 mg/L时,14 d内未见黑曲霉明显生长,铝合金腐蚀速率显著降低。Wang等[18]研究了吡啶硫酮锌 (ZPT) 对7075铝合金在黑曲霉环境中腐蚀行为的影响,结果表明,ZPT的添加能够显著抑制黑曲霉的生长,降低铝合金的腐蚀速率。此外,伏立康唑和泊沙康唑等广谱高效的抗真菌药物也具有一定的霉菌微生物腐蚀防护应用前景[63,64]。由于霉菌造成的腐蚀主要由酸性代谢产物引起,因此在已存在霉菌的环境中使用杀菌剂时需要结合清洗工作移除环境中已存在的酸性产物,才能有效防止微生物腐蚀的发生。

3 藻类诱导的碳钢腐蚀与杀藻剂

藻类引起的微生物腐蚀在近年来受到越来越多研究者的重视。水体富营养化已被视为一个世界性的水生态系统问题,其最大的威胁是引起藻华现象,世界大部分地区的许多湖泊,包括亚洲、美洲、欧洲和非洲,都面临着赤潮的问题,大量藻华的存在不仅恶化了水体环境,而且还促进了金属腐蚀。藻类等微生物的附着可以很容易地改变金属表面的性质,促进金属的腐蚀,导致管道失效或堵塞。因此,控制藻类引起的微生物腐蚀至关重要。小球藻是一种微藻类,在营养充足的培养基和充足的阳光下生长迅速,Liu等[14,65]研究表明,小球藻易于附着在碳钢及不锈钢的表面,并显著加速金属材料的点蚀。

与细菌和真菌的防控方法相似,对于藻类微生物腐蚀,杀藻剂是控制藻化以及藻类污损的有效方法。苯扎氯铵 (BKC,又名洁尔灭,十二烷基二甲基苄基氯化铵、1227) 是实际中最常用且有效的杀藻剂。Wang等[66]研究表明,BKC对小球藻具有极高的杀灭活性,3 mg/L BKC能够有效杀灭碳钢表面固着的小球藻,30 mg/L BKC能够彻底杀灭富营养介质中的小球藻且在该浓度下缓蚀效率高达95%。相比于50 mg/L典型的杀菌剂使用浓度而言,BKC的有效杀藻浓度很低,杀藻效率极高。图4显示了碳钢在含不同的BKC介质中浸泡5 d后,表面小球藻生物膜的形貌。为提升杀藻剂的长效性,赵玲等[67]研究了沸石载铜 (FZT) 对藻类的杀灭效果,结果表明FZT能缓慢释放铜离子,对藻类微生物有显著的去除效果,延长了有效期,增强了除藻能力,并减轻了直接投放硫酸铜造成局部铜离子浓度过高缺点,加入铁盐增效剂可提高除藻剂的除藻效果,减少除藻剂的用量。研究者从一些细菌中也提取到了具有杀藻性能的物质,Dong等[68]从海洋弧菌中分离得到一种新型高效的杀藻物质棕榈油酸,研究结果表明,棕榈油酸能够选择性地杀灭藻类微生物,浓度为40 μg/L的棕榈油酸对海藻造成了超微结构损伤。Papke等[69]从藻青菌中分离得到了带有多不饱和侧链的2-吡咯二酮,认为该物质同样具有高效的杀藻性能。


图4   碳钢在不同浓度BAC介质中浸泡5 d后表面小球藻生物膜的光学形貌[68]
Fig.4   Surface images of biofilm-covered coupons under light microscope at 200X after 5 d incubation for 0 mg/L (a), 3 mg/L (b), 10 mg/L (c) and 30 mg/L (d) BKC concentrations[68]

4 结论

微生物腐蚀广泛存在于多种工况环境中,造成了严重的经济损失和安全隐患。杀菌剂作为最常用且经济高效的方法是防控微生物腐蚀的关键手段。对于不同微生物在不同环境下引起的腐蚀需要使用相应的最佳杀菌剂。然而,在实际使用中,杀菌剂的应用还存在一些问题:(1) 新型杀菌剂研究较缓慢,随着多种工况环境对杀菌剂的需求不断提升,新型杀菌剂的研发必须紧跟市场;(2) 常规杀菌剂效率下降,由于传统杀菌剂的长期使用,对于高耐药性和变异的微生物杀灭效果显著降低,甚至几乎丧失作用。因此在未来对杀菌剂的使用提出了更高的要求:(1) 一剂多功能,杀菌剂除具有高效的杀菌效果外,还具有如缓蚀、阻垢、减阻等功能,从而减少多种药剂的投入,避免拮抗作用并且能减少环境二次污染;(2) 新型杀菌剂的快速研发和应用,为了应对传统杀菌剂的缺陷以及市场需求,研发具有实际应用价值的新型杀菌剂成为关键,杀菌剂分子设计时需要考虑环境毒性和对生态系统的影响;(3) 绿色环保可降解,环保的杀菌剂能够降低使用时引起的污染问题,满足如今的发展要求;(4) 杀菌剂的环境适应性评价方法有待加强。最后,微生物腐蚀实时监测技术以及对于工况环境中微生物分布种类及腐蚀类型的大数据分析对指导杀菌剂的合理使用同样有着极为重要的意义。

参考文献 

[1]

Huang Y L.

Corrosion failure of marine steel in sea-mud containing sulfate reducing bacteria

[J]. Mater. Corros., 2004, 55: 124

[本文引用: 1]

[2]

Jia R, Yang D Q, Xu J, et al.

Microbiologically influenced corrosion of C1018 carbon steel by nitrate reducing Pseudomonas aeruginosa biofilm under organic carbon starvation

[J]. Corros. Sci., 2017, 127: 1

[3]

Juzeliūnas E, Ramanauskas R, Lugauskas A, et al.

Microbially influenced corrosion of zinc and aluminium-Two-year subjection to influence of Aspergillus niger

[J]. Corros. Sci., 2007, 49: 4098

[4]

Liu H W, Cheng Y F.

Microbial corrosion of X52 pipeline steel under soil with varied thicknesses soaked with a simulated soil solution containing sulfate-reducing bacteria and the associated galvanic coupling effect

[J]. Electrochim. Acta, 2018, 266: 312

[本文引用: 1]

[5]

Jia R, Tan J L, Jin P, et al.

Effects of biogenic H2S on the microbiologically influenced corrosion of C1018 carbon steel by sulfate reducing Desulfovibrio vulgaris biofilm

[J]. Corros. Sci., 2018, 130: 1

[本文引用: 2]

[6]

Liu H W, Gu T Y, Asif M, et al.

The corrosion behavior and mechanism of carbon steel induced by extracellular polymeric substances of iron-oxidizing bacteria

[J]. Corros. Sci., 2017, 114: 102

[7]

Zhang P Y, Xu D K, Li Y C, et al.

Electron mediators accelerate the microbiologically influenced corrosion of 304 stainless steel by the Desulfovibrio vulgaris biofilm

[J]. Bioelectrochemistry, 2015, 101: 14

[本文引用: 1]

[8]

Liu F L, Zhang J, Sun C X, et al.

The corrosion of two aluminium sacrificial anode alloys in SRB-containing sea mud

[J]. Corros. Sci., 2014, 83: 375

[本文引用: 1]

[9]

Starosvetsky J, Starosvetsky D, Pokroy B, et al.

Electrochemical behaviour of stainless steels in media containing iron-oxidizing bacteria (IOB) by corrosion process modeling

[J]. Corros. Sci., 2008, 50: 540

[本文引用: 1]

[10]

Guan F, Zhai X F, Duan J Z, et al.

Influence of sulfate-reducing bacteria on the corrosion behavior of 5052 aluminum alloy

[J]. Surf. Coat. Technol., 2017, 316: 171

[本文引用: 1]

[11]

Liu T, Pan S, Wang Y N, et al.

Pseudoalteromonas lipolytica accelerated corrosion of low alloy steel by the endogenous electron mediator pyomelanin

[J]. Corros. Sci., 2020, 162: 108215

[本文引用: 1]

[12]

Videla H. A, Swords C, Edyvean R.

Features of SRB-induced corrosion of carbon steel in marine environments

[J]. ASTM Spec. Tech. Publ., 2000, 1399: 270

[本文引用: 1]

[13]

Dai X Y, Wang H, Ju L K, et al.

Corrosion of aluminum alloy 2024 caused by Aspergillus niger

[J]. Int. Biodeterior. Biodegrad., 2016, 115: 1

[本文引用: 2]

[14]

Liu H W, Xu D K, Dao A Q, et al.

Study of corrosion behavior and mechanism of carbon steel in the presence of Chlorella vulgaris

[J]. Corros. Sci., 2015, 101: 84

[本文引用: 2]

[15]

Xue R, Yao G Y, Teng H K.

Situation and developing trend of bactericide in oilfields

[J]. Ind. Water Treat., 2007, 27(10): 1

[本文引用: 1]

薛瑞, 姚光源, 滕厚开。

油田杀菌剂研究现状与展望

[J]. 工业水处理, 2007, 27(10): 1

[本文引用: 1]

[16]

Zhang Q.

Research progress on fungicides during ethanol fermentation

[J]. Chem. Ind. Eng. Prog., 2016, 35: 1167

[本文引用: 1]

张强。

酒精发酵中杀菌剂的研究进展

[J]. 化工进展, 2016, 35: 1167

[本文引用: 1]

[17]

Zhang Q D, Zhou G Y, Zhao D F.

Research progress of new type bactericides in the oilfield

[J]. Guangdong Chem. Ind., 2014, 41(5): 233

[本文引用: 1]

张庆冬, 周国英, 赵东风。

油田用新型杀菌剂的研究进展

[J]. 广东化工, 2014, 41(5): 233

[本文引用: 1]

[18]

Wang J L, Li C J, Zhang X X, et al.

Corrosion behavior of Aspergillus niger on 7075 aluminum alloy and the inhibition effect of zinc pyrithione biocide

[J]. J. Electrochem. Soc., 2019, 166: G39

[本文引用: 2]

[19]

Huang C M, Li R T.

Evaluation and optimization of fungicides for water injection system in southern oilfield

[J]. Jiangxi Chem. Ind., 2019, (4): 33

[本文引用: 1]

黄春梅, 李瑞涛。

南部油田注水系统杀菌剂的评价与优选

[J]. 江西化工, 2019, (4): 33

[本文引用: 1]

[20]

Hai X, Liu Z, Yang H K, et al.

Research on the resistance of common bacteria in oilfield wastewater to fungicides

[J]. Petrochem. Ind. Appl., 2013, 32(10): 97

[本文引用: 1]

海霞, 刘真, 杨宏科等。

油田污水中常见细菌对杀菌剂的抗药性的研究

[J]. 石油化工应用, 2013, 32(10): 97

[本文引用: 1]

[21]

Yang H K.

Application analysis of oilfield fungicides

[J]. Chem. Eng. Des. Commun., 2019, 45(3): 34

[本文引用: 1]

杨宏科。

油田杀菌剂的应用分析

[J]. 化工设计通讯, 2019, 45(3): 34

[本文引用: 1]

[22]

Liu H F, Zheng B J, Xu D D, et al.

Effect of sulfate-reducing bacteria and iron-oxidizing bacteria on the rate of corrosion of an aluminum alloy in a central air-conditioning cooling water system

[J]. Ind. Eng. Chem. Res., 2014, 53: 7840

[本文引用: 1]

[23]

Liu H W, Fu C Y, Gu T Y, et al.

Corrosion behavior of carbon steel in the presence of sulfate reducing bacteria and iron oxidizing bacteria cultured in oilfield produced water

[J]. Corros. Sci., 2015, 100: 484

[本文引用: 1]

[24]

Rong H, Liu C W, Wen X, et al.

Synthesis and properties of an improved biocides of bis-quaternary ammonium salt for the sewage of oil field

[J]. J. Beijing Inst. Petro-Chem. Technol., 2014, 22(3): 6

[本文引用: 1]

荣华, 刘超文, 温馨等。

一种改进型双季铵盐油田污水杀菌剂的制备与性能

[J]. 北京石油化工学院学报, 2014, 22(3): 6

[本文引用: 1]

[25]

Li Z Y, Zhao J M, Zuo Y, et al.

Synthesis and properties of quaternary ammonium bis-imidazoline as inhibitor

[J]. Corros. Prot., 2004, 25(3): 115

[本文引用: 1]

李志远, 赵景茂, 左禹等。

双咪唑啉季铵盐的合成与缓蚀性能研究

[J]. 腐蚀与防护, 2004, 25(3): 115

[本文引用: 1]

[26]

Li Z S, Li J F, Liu H, et al.

Research progress of surface modification of antibacterial performance of biomedical silicone rubber

[J]. Chem. Ind. Eng. Prog., 2018, 37: 4719

[本文引用: 1]

李兆双, 李建芳, 刘鹤等。

生物医用硅橡胶表面抗菌性能改造研究进展

[J]. 化工进展, 2018, 37: 4719

[本文引用: 1]

[27]

Cavallaro A, Mierczynska A, Barton M, et al.

Influence of immobilized quaternary ammonium group surface density on antimicrobial efficacy and cytotoxicity

[J]. Biofouling, 2016, 32(1): 13

[本文引用: 1]

[28]

Zhou X F, Shi R Y.

Current state and development trend of cationic bactericides

[J]. China Clean. Ind., 2020, (3/4): 187

[本文引用: 1]

周旋峰, 石荣莹。

阳离子杀菌剂的现状及其发展趋势

[J]. 中国洗涤用品工业, 2020, (3/4): 187

[本文引用: 1]

[29]

Chen R L, Zheng C, Lin J, et al.

Research progress and prospect of Gemini quaternary ammonium salt surfactants with ester group

[J]. Chem. Ind. Eng. Prog., 2013, 32: 2707

[本文引用: 2]

陈瑞兰, 郑成, 林璟等。

酯基Gemini季铵盐阳离子表面活性剂的研究进展

[J]. 化工进展, 2013, 32: 2707

[本文引用: 2]

[30]

Liu H W, Gu T Y, Lv Y L, et al.

Corrosion inhibition and anti-bacterial efficacy of benzalkonium chloride in artificial CO2-saturated oilfield produced water

[J]. Corros. Sci., 2017, 117: 24

[本文引用: 1]

[31]

Etim I I N, Dong J H, Wei J, et al.

Effect of organic silicon quaternary ammonium salts on mitigating corrosion of reinforced steel induced by SRB in mild alkaline simulated concrete pore solution

[J]. J. Mater. Sci. Technol., 2019, 64: 126

[本文引用: 1]

[32]

Zhang Y J, Zhao X L.

Research progress in the biocidal performance and mechanism of quaternary ammonium salt biocide

[J]. Fine Chem., 2010, 27: 1145

[本文引用: 1]

张跃军, 赵晓蕾。

季铵盐杀生剂杀生性能与机理研究进展

[J]. 精细化工, 2010, 27: 1145

[本文引用: 1]

[33]

W?grzyńska J, Chlebicki J, Maliszewska I.

Preparation, surface-active properties and antimicrobial activities of bis (ester quaternary ammonium) salts

[J]. J. Surfactants Deterg., 2007, 10: 109

[本文引用: 1]

[34]

Caillier L, de Givenchy E T, Levy R, et al.

Polymerizable semi-fluorinated gemini surfactants designed for antimicrobial materials

[J]. J. Colloid Interface Sci., 2009, 332: 201

[35]

Tan H, Xiao H N.

Synthesis and antimicrobial characterization of novel 1-lysine gemini surfactants pended with reactive groups

[J]. Tetrahedron Lett., 2008, 49: 1759

[本文引用: 1]

[36]

Chu Y G, Zhang H, Fang Y X, et al.

Synthesis, corrosion inhibition and antibacterial performance of biimidazoline quaternary ammonium salt

[J]. Spec. Petrochem., 2020, 37(4): 24

[本文引用: 1]

楚雨格, 张涵, 方雨欣等。

双咪唑啉季铵盐的合成及缓蚀抑菌性能研究

[J]. 精细石油化工, 2020, 37(4): 24

[本文引用: 1]

[37]

Makvandi P, Jamaledin R, Jabbari M, et al.

Antibacterial quaternary ammonium compounds in dental materials: A systematic review

[J]. Dent. Mater., 2018, 34: 851

[本文引用: 1]

[38]

Beyth N, Yudovin-Farber I, Bahir R, et al.

Antibacterial activity of dental composites containing quaternary ammonium polyethylenimine nanoparticles against Streptococcus mutans

[J]. Biomaterials, 2006, 27: 3995

[本文引用: 3]

[39]

Beyth N, Pilo R, Weiss E I.

Antibacterial activity of dental cements containing quaternary ammonium polyethylenimine nanoparticles

[J]. J. Nanomater., 2012, 2012: 814763

[本文引用: 3]

[40]

Zhang Y J, Zhang D H, Qin C Y, et al.

Physical and mechanical properties of dental nanocomposites composed of aliphatic epoxy resin and epoxidized aromatic hyperbranched polymers

[J]. Polym. Compos., 2009, 30: 176

[本文引用: 3]

[41]

Yudovin-Farber I, Beyth N, Weiss E I, et al.

Antibacterial effect of composite resins containing quaternary ammonium polyethyleneimine nanoparticles

[J]. J. Nanopart. Res., 2010, 12: 591

[本文引用: 1]

[42]

Makvandi P, Ghaemy M, Ghadiri A A, et al.

Photocurable, antimicrobial quaternary ammonium-modified nanosilica

[J]. J. Dent. Res., 2015, 94: 1401

[本文引用: 1]

[43]

Gong S Q, Niu L N, Kemp L K, et al.

Quaternary ammonium silane-functionalized, methacrylate resin composition with antimicrobial activities and self-repair potential

[J]. Acta Biomater., 2012, 8: 3270

[本文引用: 3]

[44]

Zhang L, Yao G Y, Teng H K.

Progress of guanidine compounds bactericide in water treatment

[J]. Guangdong Chem. Ind., 2013, 40(15): 95

[本文引用: 1]

张磊, 姚光源, 滕厚开。

工业水处理用有机胍杀菌剂研究进展

[J]. 广东化工, 2013, 40(15): 95

[本文引用: 1]

[45]

Yang T Q, Liu X, Du R R.

Research progress of guanidine bactericides in the oilfield water injection

[J]. Guangdong Chem. Ind., 2015, 42(19): 79

[本文引用: 1]

杨添麒, 刘祥, 杜荣荣等。

油田注水用胍类杀菌剂研究进展

[J]. 广东化工, 2015, 42(19): 79

[本文引用: 1]

[46]

Gorbunova M, Lemkina L.

New biocide guanidine-containing nanocomposites

[J]. J. Nanopart. Res., 2014, 16: 2566

[本文引用: 1]

[47]

Protasov A, Bardeau J F, Morozovskaya I, et al.

New promising antifouling agent based on polymeric biocide polyhexamethylene guanidine molybdate

[J]. Environ. Toxicol. Chem., 2017, 36: 2543

[本文引用: 3]

[48]

Zhang L, Liu X L, Yao G Y, et al.

Synthesis and spot evaluation of a kind of efficient biocide used for industrial water treatment

[J]. Ind. Water Treat., 2014, 34(3): 54

[本文引用: 1]

张磊, 刘晓琳, 姚光源等。

一种工业水处理用高效杀生剂的合成及现场评价

[J]. 工业水处理, 2014, 34(3): 54

[本文引用: 1]

[49]

Yao G Y, Zhang L, Zhang D Y, et al.

Study on synthesis and bactericidal properties of a heterocydic organic sulfuric fungicide

[J]. Chem. Ind. Times, 2009, 23(11): 28

[本文引用: 1]

姚光源, 张磊, 张迪彦等。

一种杂环有机硫杀菌剂的合成及其杀菌性能研究

[J]. 化工时刊, 2009, 23(11): 28

[本文引用: 1]

[50]

Li N, Li M, Wu X M.

Research and development of heterocyclic fungicides

[A]. Proceedings of the 7th Chinese Symposium on Chemical Control of Plant Diseases [C]. Haikou, 2010: 9

[本文引用: 1]

李凝, 李明, 吴小毛。

杂环杀菌剂的研究进展

[A]. 中国植物病理学会化学防治专业委员会第七届中国植物病害化学防治学术研讨会论文集 [C]. 海口, 2010: 9

[本文引用: 1]

[51]

Hu Y Y, Xu H Q, Yao J, et al.

Selective detection of 20 triazoles residues in food uusing molecularly imprinted solid phase extraction coupled with liquid chromatography tandem mass spectrometry

[J]. Chin. J. Anal. Chem., 2014, 42: 227

[本文引用: 2]

胡艳云, 徐慧群, 姚剑等。

分子印迹固相萃取-液相色谱-质谱法测定果蔬中20种三唑类农药残留

[J]. 分析化学, 2014, 42: 227

[本文引用: 2]

[52]

Li Z Y, Li Z J, Gu L L, et al.

Preparation and application of triazolone molecularly imprinted nano-spheres

[J]. Chem. Ind. Eng. Prog., 2020, 39: 2706

[本文引用: 1]

李子怡, 李志君, 顾丽莉等。

三唑酮分子印迹纳米球的制备及应用

[J]. 化工进展, 2020, 39: 2706

[本文引用: 1]

[53]

Wang J L, Hou B S, Xiang J, et al.

The performance and mechanism of bifunctional biocide sodium pyrithione against sulfate reducing bacteria in X80 carbon steel corrosion

[J]. Corros. Sci., 2019, 150: 296

[本文引用: 3]

[54]

Sun C X, Xu H W, Chen Y M, et al.

Research on bactericidal agent of heterotrophic bacteria in cooling water by composite of isothiazolinones and sodium hypochorite

[J]. Clean. World, 2013, 29(10): 14

[本文引用: 1]

孙彩霞, 徐会武, 陈燕敏等。

异噻唑啉酮和NaClO复合杀菌剂性能研究

[J]. 清洗世界, 2013, 29(10): 14

[本文引用: 1]

[55]

Wu J Y, Chai K.

Efficient and environmentally-friendly antibacterial and mildewproof inorganic composite nano-powder slurry and its preparation method

[P]. Chin Pat, 201110401227.3, 2011

[本文引用: 1]

吴进怡, 柴柯。

一种高效环保抗菌防霉无机复合纳米粉浆及其制备方法

[P]. 中国专利, 201110401227.3, 2011)

[本文引用: 1]

[56]

Qu Q, Wang L, Li L, et al.

Effect of the fungus, Aspergillus niger, on the corrosion behaviour of AZ31B magnesium alloy in artificial seawater

[J]. Corros. Sci., 2015, 98: 249

[本文引用: 1]

[57]

Wang J L, Xiong F P, Liu H W, et al.

Study of the corrosion behavior of Aspergillus niger on 7075-T6 aluminum alloy in a high salinity environment

[J]. Bioelectrochemistry, 2019, 129: 10

[本文引用: 1]

[58]

Block S S.

Humidity requirements for mold growth

[J]. Appl. Microbiol., 1953, 1: 287

[本文引用: 1]

[59]

Gorur R S, Montesinos J, Roberson R, et al.

Mold growth on nonceramic insulators and its impact on electrical performance

[J]. IEEE Trans. Power Deliv., 2003, 18: 559

[本文引用: 1]

[60]

Juzeliūnas E, Ramanauskas R, Lugauskas A, et al.

Microbially influenced corrosion acceleration and inhibition. EIS study of Zn and Al subjected for two years to influence of Penicillium frequentans, Aspergillus niger and Bacillus mycoides

[J]. Electrochem. Commun., 2005, 7: 305

[本文引用: 1]

[61]

Nielsen K F, Mogensen J M, Johansen M, et al.

Review of secondary metabolites and mycotoxins from the Aspergillus niger group

[J]. Anal. Bioanal. Chem., 2009, 395: 1225

[本文引用: 1]

[62]

Zhang T S, Wang J L, Zhang G A, et al.

The corrosion promoting mechanism of Aspergillus niger on 5083 aluminum alloy and inhibition performance of miconazole nitrate

[J]. Corros. Sci., 2020, 176: 108930

[本文引用: 1]

[63]

Saravolatz L D, Johnson L B, Kauffman C A.

Voriconazole: A new triazole antifungal agent

[J]. Clin. Infect. Dis., 2003, 36: 630

[本文引用: 1]

[64]

Nagappan V, Deresinski S.

Reviews of anti-infective agents: Posaconazole: a broad-spectrum triazole antifungal agent

[J]. Clin. Infect. Dis., 2007, 45: 1610

[本文引用: 1]

[65]

Liu H W, Sharma M, Wang J L, et al.

Microbiologically influenced corrosion of 316L stainless steel in the presence of Chlorella vulgaris

[J]. Int. Biodeterior. Biodegrad., 2018, 129: 209

[本文引用: 1]

[66]

Wang J L, Zhang T S, Zhang X X, et al.

Inhibition effects of benzalkonium chloride on Chlorella vulgaris induced corrosion of carbon steel

[J]. J. Mater. Sci. Technol., 2020, 43: 14

[本文引用: 1]

[67]

Zhao L, Hong A H, Qi Y Z, et al.

Exploration of the algaecide zeolite carrying copper

[J]. China Environ. Sci., 2002, 22(3): 207

[本文引用: 1]

赵玲, 洪爱华, 齐雨藻等。

沸石载铜除藻剂的探讨

[J]. 中国环境科学, 2002, 22(3): 207

[本文引用: 1]

[68]

Li D, Zhang H J, Fu L J, et al.

A novel algicide: Evidence of the effect of a fatty acid compound from the marine bacterium, Vibrio sp. BS02 on the harmful dinoflagellate, Alexandrium tamarense

[J]. PLoS One, 2014, 9: e91201

[本文引用: 3]

[69]

Papke U, Gross E M, Isolation Francke W., identification and determination of the absolute configuration of Fischerellin B.

A new algicide from the freshwater cyanobacterium Fischerella muscicola (Thuret)

[J]. Tetrahedron Lett., 1997, 38: 379

[本文引用: 1]

 

免责声明:本网站所转载的文字、图片与视频资料版权归原创作者所有,如果涉及侵权,请第一时间联系本网删除。