摘要
采用恒压直流电源,在不同阳极电压下,以硫酸型溶液作为电解液对医用 TC4 钛合金试样进行阳极氧化处理,在试样表面制得颜色各异的氧化膜。 分别利用涡流测厚仪测量膜厚,利用扫描电镜观测氧化膜形貌,利用 X 射线衍射仪分析氧化膜的物相。 将氧化后的试样放入 Hank's 模拟体液中进行浸泡腐蚀测试,利用电化学工作站测试其腐蚀规律;研究阳极电压对氧化膜的颜色、膜厚、表面形貌、物相以及耐腐蚀性的影响。 结果表明:阳极电压会影响氧化膜的颜色、膜厚、表面形貌和物相,氧化膜的耐腐蚀性也随之发生变化。 阳极电压从 15 V 增大到 100 V,氧化膜厚度从 6 μm 增大到 28 μm,氧化膜的耐腐蚀性也有明显提高。 医用钛合金经阳极氧化形成以金红石型和锐钛矿型氧化钛为主要结构的氧化膜。
关键词
医用钛合金 ; 阳极电压 ; 阳极氧化 ; 物相分析 ; 耐腐蚀性
0 引言
钛合金比强度高、耐蚀性好[1-2]、生物相容性良好且具有独特的形状记忆性和超弹性,其弹性模量在现有的生物合金材料中最贴近人体骨骼的弹性模量[3],已广泛应用在人工关节、骨骼修复、断骨接合等人体硬组织修复手术中[4-5]。但直接作为植入材料存在一些问题,如生物相容性不够高、与骨骼的结合性较差[6],主要问题就是腐蚀[7]。研究表明直接将钛合金作为植入材料, 长期接触人体体液会出现腐蚀现象,出现金属离子溶出问题。一方面腐蚀溶出的金属离子侵入人体细胞引起生理危害[8];另一方面会造成植入材料的提前失效。对钛合金进行阳极氧化,在基体表面生成一层致密的微纳米级多孔氧化膜[9]。氧化膜的存在一方面提高了基体的耐蚀性[10]; 另一方面其多孔结构有利于骨细胞的生长,促进植入物与骨骼的黏附[11]。因此调整工艺条件, 控制膜的形态结构,提高钛合金的耐蚀性具有重要研究意义。
文中以硫酸型溶液为电解液,采用阳极氧化工艺在医用TC4钛合金表面制备多孔氧化膜。研究了不同阳极电压对氧化膜结构的影响,重点探讨不同电压条件下制备的氧化膜在Hank' s模拟体液中耐蚀性的表现。
1 试验
1.1 TC4 医用钛合金阳极氧化
试验所采用的TC4钛合金(Ti-6AL-4V)的成分如表1所示,其尺寸为100mm × 100mm × 5mm。先用砂纸对TC4医用钛合金试样进行打磨,然后抛光,再用线切割机床将抛光后的钛合金样料截取成若干尺寸为10mm×10mm×5mm的小试样。截取的试样经丙酮超声清洗、蒸馏水冲洗、干燥后进行阳极氧化。
表1 TC4钛合金成分
Table1 Chemical compositions of TC4alloly(w/%)
钛合金试样的阳极氧化在0.3mol/L硫酸溶液中进行,室温为20℃,阳极采用TC4医用钛合金,阴极采用304不锈钢板材,两极间距保持在5cm以上,采用可调式恒压直流方式,分别施以15、35、60、75和100V的电压,对试样进行阳极氧化,氧化3min后取出试样。
1.2 氧化膜形貌和物相分析
肉眼观察氧化膜的颜色;使用日本KETT的LH-200J型涡流测厚仪测量钛合金氧化膜的厚度;使用日本JSM-6360LA型扫描电镜观察钛合金氧化膜的形貌;使用日本理学D/MAX2500型X射线衍射仪,设定测试条件为:40kV、150mA、 DS:1°、SS:1°、RS:0.3mm,确定氧化膜的晶体结构。
1.3 腐蚀试验
利用Hank's模拟体液进行腐蚀试验。模拟体液成分见表2。
恒温浸泡腐蚀测试: 将5种电压下制得的钛合金氧化膜浸泡于Hank' s模拟体液中进行腐蚀测试试验,浸泡温度37.2℃,浸泡时间180d。
电化学腐蚀测试: 将5种电压下制得的钛合金氧化膜通过上海辰华CHI920D电化学工作站测试其耐腐蚀性。以Hank's模拟体液作为腐蚀溶液,在37.2℃ 恒温水浴中进行。辅助电极为Pt电极,参比电极为饱和甘汞电极,5种钛合金氧化膜作为测试电极,测其极化曲线。
表2 Hank's模拟体液成分
Table2 Compositions of Hank's simulated body fluid
2 结果与讨论
2.1 电压对氧化膜颜色及膜厚的影响
在同一种一定浓度的硫酸型电解液中,在5种不同的阳极电压下,经阳极氧化后在钛合金基体表面制得色泽均匀、表面光滑的氧化膜。图1为5种电压下制得的氧化膜所呈现的不同颜色。
图1 不同电压下TC4钛合金氧化膜照片
Fig.1 Photos of oxidation films on TC4titanium alloys at different voltages
由图1可知,工作电压在100V以内,电压每升高20V左右,氧化膜的颜色就有明显变化。由薄膜干涉原理可知,氧化膜的色彩由膜厚决定[12]。在氧化过程中,15V电压氧化时,膜层从基体颜色过渡到暗黄色;100V电压氧化时,膜层先出现15V电压下的色泽,然后逐级过渡到35、60和75V电压下的色泽,最后稳定在100V电压所对应的色彩,这说明在阳极氧化过程中,氧化是逐次生成的,只有氧化平衡后,膜层厚度才不会改变。
采用涡流测厚仪测量每个试样表面5个不同位置取得的膜厚平均值如表3所示,表明在同一种硫酸型电解液中,阳极氧化所制得氧化膜的厚度随电压的升高而增大。这是因为在阳极氧化过程中,低电压下试样表面产生较小的放电弧光,随电压的增大,放电越强,弧光愈加剧烈,致使薄膜产生孔隙,电解液渗入孔隙内层生成新氧化膜,致使膜层加厚[13]。
结果表明,阳极电压是影响氧化膜厚度的重要因素,在试验条件下电压越大氧化膜的膜层越厚。
表3 电压对TC4钛合金氧化膜厚度的影响
Table3 Effects of voltage on thicknesses of oxidation films on TC4titanium alloys

2.2 电压对氧化膜表面形貌及物相的影响
图2 是利用扫描电镜观察到5种不同电压下氧化所得的TC4钛合金氧化膜的表面形貌。从图中可以看出,5种试样表面均形成一层均匀致密的氧化膜。随着电压的升高,白色凸起条纹逐渐变粗变大,氧化膜表面的凹凸起伏状态愈加明显,氧化膜表面粗糙度随之增加。 TC4钛合金属于(α+β)型钛合金,而 α 相(密排六方晶格)与 β 相(体心立方晶格)的耐腐蚀性不同,因此经阳极氧化形成了凹凸起伏的表面形貌,阳极氧化后试样表面均形成连续均匀、结构规则、表面起伏的多孔氧化膜[14]。
图2 不同电压下TC4钛合金阳极氧化膜的表面形貌
Fig.2 SEM images of anodic oxidation films on TC4titanium alloys at different voltages
随电压的升高,氧化膜表面微孔数量略有减少,微孔平均孔径略有增大;增大电压,使得氧化膜孔径方向上的电场强度随之增大,氧化膜表面的放电愈加剧烈,放电弧光面积变大,从而促使孔数减少,孔径增大,表面粗糙度增加[9,15]。
在同一种硫酸型溶液中,5种不同电压下制得氧化膜的X射线衍射分析图如图3所示。由图可知TiO2 为氧化膜主要成分,其主要有2种晶型,体心正方点阵(锐钛矿型) 和简单正方点阵(金红石型)。在15、35和60V电压下制得的氧化膜,膜层厚度较小,X射线直接射到钛合金试样的基体上,于是在图谱中出现了钛合金基体的衍射峰。金红石型氧化钛和锐钛矿型氧化钛分别出现在电压75和100V的两种氧化膜图谱中。随着电压的继续增大,金红石型TiO2 的衍射峰越来越强,而锐钛矿型TiO2 的衍射峰基本没有变化,同时钛合金基体的衍射峰有降低的趋势,表明随着电压的增大,氧化膜中金红石型TiO2 的含量不断提高。金红石型氧化钛的结构比锐钛矿型氧化钛的结构更加稳定,表面硬度更高[16]。衍射峰的强度变化体现了膜厚的变化,膜厚随电压的升高而增大。
图3 不同电压下TC4钛合金阳极氧化膜的XRD图谱
Fig.3 XRD patterns of anodic oxidation films on TC4titanium alloys at different voltages
2.3 电压对氧化膜耐腐蚀性的影响
浸泡腐蚀测试:分别将5种电压下制得的钛合金氧化膜浸泡在Hank ' s模拟体液中, 在37.2℃恒温浴水箱中,浸泡180d后,取出氧化膜,进行清洗,然后烘干,利用金相显微镜观测浸泡腐蚀后氧化膜的表面形貌。由图4可以看出, 钛合金氧化膜腐蚀属于局部腐蚀的孔蚀,腐蚀纹路清晰。图4( a)所示,15V电压下生成的氧化膜厚度较小,腐蚀后显露出钛合金基体。随电压的增大,氧化膜厚度逐渐变大,孔蚀深度越来越小。增大到100V时,如图4(e)所示,氧化膜表面只有轻微的孔蚀痕迹。表明在相同的腐蚀条件下,随着电压的增大,所生成氧化膜的耐腐蚀性明显提高。
图4 TC4钛合金阳极氧化膜浸泡腐蚀图
Fig.4 Immersion corrosion diagrams of anodic oxidation films on TC4titanium alloys
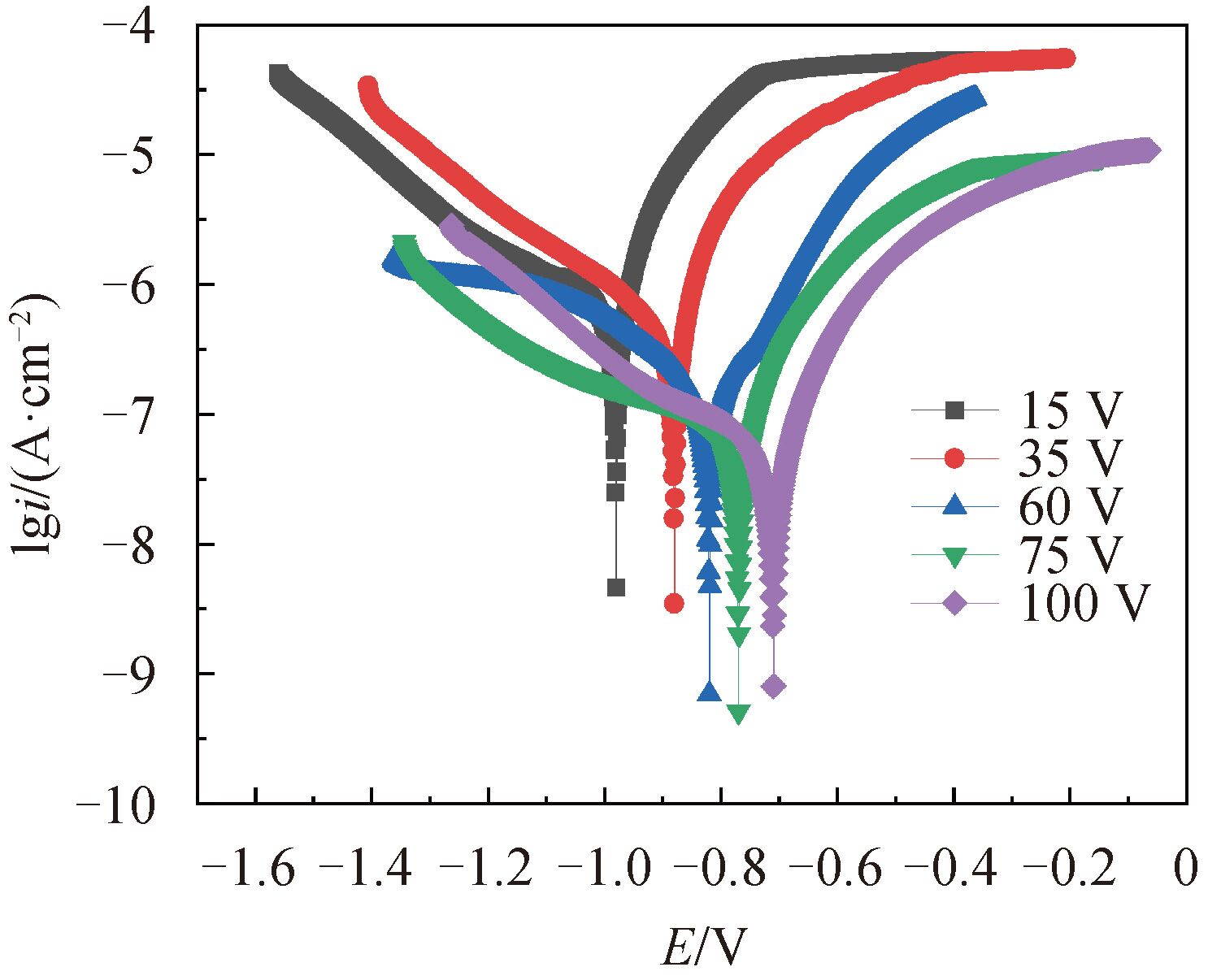
电化学测试:扫描速率为1mV/s,扫描范围为自腐蚀电位-1.6~-0.2V,测试结果如图5所示,不同电压下经阳极氧化制得的氧化膜在Hank's模拟体液中的极化曲线。每条极化曲线形状相似,阴极区对应的是析氢反应,阳极区的曲线具备钝化特征[17]。从图5中可以看出随着电压的升高所制得氧化膜的自腐蚀电位逐渐向正向偏移,表明腐蚀倾向逐渐降低。
图5 不同电压下TC4钛合金氧化膜的极化曲线
Fig.5 Polarization curves of anodic oxidation films on TC4titanium alloys at different voltages
通过极化曲线外推法获得自腐蚀电流密度 i corr 和自腐蚀电位 Ecorr。由表4可知,随着阳极电压的升高,腐蚀电位越高,自腐蚀电流密度越小。自腐蚀电流密度越大,腐蚀速度越快;自腐蚀电位越高,腐蚀倾向越低[18]。
表4 TC4钛合金氧化膜的耐蚀性参数
Table4 Corrosion resistance parameters of anodic oxidation films on TC4titanium alloys
因此,提高阳极电压可使生成的氧化膜变得更厚,氧化膜具有更稳定的晶相结构,氧化膜的耐腐蚀性得到了明显的改善。电化学测试所得规律与浸泡腐蚀测试结果相符。
3 结论
(1) 在硫酸型电解液中,阳极氧化使钛合金表面生成色泽均匀、表面光滑的氧化膜。在不同电压下制得的氧化膜呈现不同颜色。在试验条件下,随电压的升高,所得的氧化膜逐渐变厚。
(2) 经阳极氧化,钛合金表面形成微纳米多孔结构、连续的、表面起伏的钛合金氧化膜。主要由金红石型氧化钛和锐钛矿型氧化钛构成。随着电压的增大,微孔数量略有减少,微孔直径略有增大,氧化膜中金红石型TiO2 的含量不断提高。
(3) 浸泡腐蚀测试和电化学测试结果表明, 随阳极电压的增大,由于氧化膜厚度增加,且氧化膜具有更加稳定的晶相结构,氧化膜的耐腐蚀性明显提高。
参考文献
[1]
张斌英,郝建民,陈永楠,等。TC4 钛合金阳极氧化着色膜显色规律探讨[J].表面技术,2020,49(5):308-316.ZHANG B Y,HAO J M,CHEN Y N,et al.Study on the color development of anodic oxidation film of TC4 titanium al-loy[J].Surface Technology,2020,49(5):308-316(in Chinese)。
[2]
雷霆。钛及钛合金[M].北京:冶金工业出版社,2018.LEI T.Titanium and titanium alloy[M].Beijing:Metallur-gical Industry Press,2018(in Chinese)。
[3]
孔祥确,金学军,刘剑楠。医用镍钛合金的阳极氧化表面改性研究[J].功能材料,2016,47(1):1007-1011.KONG X Q,JIN X J,LIU J N.Preparation of interconnected porous oxide layer on NiTi alloys[J].Journal of Functional Materials,2016,47(1):1007-1011(in Chinese)。
[4]
HIROYASU K,YOSHIMASA T,HIDEYUKI I,et al.Appli-cation of titanium and titanium alloys to fixed dental prosthe-ses[J].Journal of Prosthodontic Research,2019,63(3):266-270.
[5]
刘宣勇。生物医用钛材料及其表面改性[M].北京:化学工业出版社,2009.LIU X Y.Biomedical titanium alloys and surface modification [M].Beijing:Chemical Industry Press,2009(in Chinese)。
[6]
戴正宏,王玉林,何宝明。外科植入物用钛合金的表面改性[J].稀有金属,2003,27(4):491-494.DAI Z H,WANG Y L,HE B M.Surface modification of Ti-tanium alloys for surgical implants [J].Chinese Journal of Rare Metals,2003,27(4):491-494(in Chinese)。
[7]
张超武,杨海波。生物材料概论[M].北京:化学工业出版社,2006.ZHANG C W,YANG H B.Introduction of biomaterials[M].Beijing:Chemical Industry Press,2006(in Chinese)。
[8]
张玉梅,郭天文,李佐臣。钛及钛合金在口腔科应用的研究方向[J].生物医学工程学杂志,2000,17(2):206-208,217.ZHANG Y M,GUO T W,LI Z C.The researches on titani-um and titanium alloy[J].Journal of Biomedical Engineer-ing,2000,17(2):206-208,217(in Chinese)。
[9]
衣晓红,樊占国,张景垒,等。TC4 钛合金表面阳极氧化制备 TiO2 多孔膜的试验研究 [J].材料工程,2010,(3):38-41.YI X H,FAN Z G,ZHANG J L,et al.Experimental study of preparation of TiO2 porous films on the surface of TC4 tita-nium alloy by anodic oxidation[J].Journal of Materials Engi-neering,2010,(3):38-41(in Chinese)。
[10]
杜志惠,崔振铎,朱胜利,等。钛合金阳极氧化膜在 Hank's 溶液中的腐蚀行为[J].材料热处理学报,2004,25(6):101-103.DU Z H,CUI Z D,ZHU S L,et al.Corrosion behavior in hank' s solution of the anodic oxide film on Ti alloy [J].Transactions of Materials and Heat Treatment,2004,25(6):101-103(in Chinese)。
[11]
周田园,李德超,李慕勤,等。纯钛微弧氧化-多巴胺-环型多肽涂层的细胞相容性研究 [J].口腔医学研究,2017,33(7):703-706.ZHOU T Y,LI D C,LI M Q,et al.Cytocompatibility of ul-trasonic micro-arc oxidation-dopamine-cyclo(RGD)coating on pure titanium [J].Journal of Oral Science Research,2017,33(7):703-706(in Chinese)。
[12]
袁烁,林乃明,邹娇娟,等。镁合金和钛合金表面着色工艺研究进展[J].表面技术,2017,46(10):185-193.YUAN S,LIN N M,ZOU J J,et al.Surface coloring process for magnesium alloy and titanium alloy surfaces[J].Surface Technology,2017,46(10):185-193(in Chinese)。
[13]
马亚芹,杨闯。Ti6Al4V 合金厚膜阳极氧化工艺研究[J].制造业自动化,2012,34(18):29-30,46.MA Y Q,YANG C.Study of anodic oxide thick film on Ti6Al4V alloy [J].Manufacturing Automation,2012,34(18):29-30,46(in Chinese)。
[14]
严继康,杨钢,唐婉霞,等。阳极氧化电压对钛合金TC4阳极氧化TiO2膜层表面的影响[J].材料研究学报,2015,29(12):895-903.YAN J K,YANG G,TANG W X,et al.Effect of applied voltage on performance of anodic oxidation films of TiO2 on TC4 alloy[J].Chinese Journal of Materials Research,2015,29(12):895-903(in Chinese)。
[15]
王朴,何代华,王倩,等。阳极氧化Ti6Al4V合金表面TiO2多孔膜的制备及研究[J].有色金属材料与工程,2016,37(4):147-154.WANG P,HE D H,WANG Q,et al.Preparation and study of TiO2 porous film on the surface of Ti-6Al-4V alloy by a-nodic oxidation[J].Nonferrous Meaterials and Engineering,2016,38(4):147-154(in Chinese)。
[16]
幸泽宽,唐恩军,段睿,等。TC4 钛合金微弧阳极氧化膜层结构与性能的研究[J].材料保护,2005,38(12):54-57.XING Z K,TANG E J,DUAN R,et al.Research on struc-ture and properties of micro-arc anodic oxidation film on TC4 titanium alloy [J].Materials Protection,2005,38(12):54-57(in Chinese)。
[17]
张新平,于思荣,何镇明,等。新型牙科用Ti合金人工体液中电化学腐蚀研究[J].腐蚀科学与防护技术,2003,15(5):249-253.ZHANG X P,YU S R,HE Z M,et al.Electrochemcal cor-rosion of new dental Ti alloys in an artificial body fluid[J].Corrosion Science and Protection Technology,2003,15(5):249-253(in Chinese)。
[18]
王伟,赵景茂,魏世雄,等。硬脂酸改性处理TC4钛合金微弧氧化膜层耐蚀性的研究[J].北京化工大学学报(自然科学版),2020,47(1):67-74.WANG W,ZHAO J M,WEI S X,et al.Corrosion resistance of micro-arc oxidation coatings on TC4 titanium alloys modi-fied by stearic acid [J].Journal of Beijing University of Chemical Technology(Natural Science),2020,47(1):67-74(in Chinese)。
免责声明:本网站所转载的文字、图片与视频资料版权归原创作者所有,如果涉及侵权,请第一时间联系本网删除。
相关文章
官方微信
《中国腐蚀与防护网电子期刊》征订启事
- 投稿联系:编辑部
- 电话:010-62316606-806
- 邮箱:fsfhzy666@163.com
- 中国腐蚀与防护网官方QQ群:140808414
点击排行
PPT新闻
“海洋金属”——钛合金在舰船的
点击数:7130
腐蚀与“海上丝绸之路”
点击数:5741











