摘要
采用动电位扫描和电化学阻抗谱 (EIS) 技术,研究了Q235钢/导电混凝土在盐碱土、黄棕壤、红壤中的腐蚀行为,分析了土壤环境因素对腐蚀过程的影响规律,并基于灰色关联度理论计算了土壤中各离子对导电混凝土中Q235钢腐蚀过程的影响权重。结果表明,加速腐蚀45 d后,Q235钢/导电混凝土表面出现孔洞、边缘出现细微裂纹。Q235钢/导电混凝土在3种典型土壤环境中腐蚀速率按土壤类型由小到大排序为:盐碱土<黄棕壤<红壤。灰色关联度计算结果表明,Q235钢/导电混凝土在土壤中腐蚀时,土壤中各离子影响权重排序为:pH>[SO42-]>[Ca2+]>[Cl-]>[HCO3-]>[Mg2+]>[Fe3+]。随着土壤环境pH的降低,导电混凝土劣化程度增大,腐蚀速率上升。土壤中的H+、SO42-会直接与导电混凝土组分发生反应,导致混凝土劣化,其影响权重最大。而Ca2+需通过扩散的方式进入导电混凝土孔隙液,以析出相应的氧化物或者碳酸盐沉积的方式提供物理防护作用,其影响权重略低。其中,由于Cl-对Q235钢腐蚀的促进过程受到混凝土层及双电层隔绝作用的抑制,其影响权重较低。
关键词: Q235钢/导电混凝土; 土壤腐蚀; 电化学测试; 灰色关联度
杆塔接地装置是输电线路的重要组成部分,具有工作接地和防雷接地的作用,其稳定运行对于维护输电线路安全至关重要[1]。由于接地装置长期在地下运行,服役环境恶劣,对接地装置的耐蚀性和导电性具有严格要求。通过在Q235钢表面包覆一层导电混凝土层的方式,能有效地为Q235钢提供物理和化学双重保护作用,提高接地装置的耐蚀性和电气性能[2]。由于我国幅员辽阔,土壤类型复杂多变,接地装置在土壤中的腐蚀影响因素众多[3,4]。研究Q235钢/导电混凝土在土壤中的腐蚀规律及机理,探究各土壤环境因素对腐蚀过程的影响权重,对于接地装置的腐蚀与防护设计具有积极意义。
灰色系统理论是一种研究“小样本”、“贫信息”的不确定系统的有效方法[5]。接地装置在服役环境中使用受到复杂土壤因素的影响,恰属于内涵模糊而外延明确的灰色系统[6],因此适用于采用灰色关联度对接地装置在土壤环境中影响因素进行权重分析。目前,已有学者采用灰色系统理论在腐蚀领域进行了相关研究。Fu等[7]采用灰色关联法对油管腐蚀失效进行了分析,结果表明CO2与高压的气体流体是造成油管腐蚀的主要原因;王海涛等[8]对碳钢、低合金钢的大气腐蚀进行了灰色关联分析,结果表明,RH>80%的年时数、环境温度与相对湿度是使碳钢、低合金钢发生腐蚀的主要因素;查方林等[9]对接地材料在土壤浸出液中的腐蚀进行了灰色关联分析,结果表明Cl-与pH是影响接地材料腐蚀的主要因素。由于Q235钢/导电混凝土在土壤中发生腐蚀时,混凝土组分会与土壤中的物质发生反应[10],并且侵蚀性离子的扩散过程还受到混凝土隔绝作用的影响,其腐蚀过程具有特殊性。目前,土壤环境中Q235钢/导电混凝土腐蚀的研究较少,各土壤环境因素对腐蚀行为的影响规律尚不明确[11]。为此,本文采用电化学手段研究了Q235钢/导电混凝土在3种典型土壤中的腐蚀行为及机理,并基于灰色系统理论计算了各土壤环境因素的影响权重,分析了各土壤环境因素对腐蚀过程的影响规律。
1 实验方法
实验采用盐碱土、黄棕壤、红壤3种典型土壤作为腐蚀介质,各土壤主要离子含量及理化参数如表1所示,土壤理化性质测试参照DL/T 1554-2016《接地网土壤腐蚀性评价导则》进行,3种典型土壤经110 ℃烘箱干燥6 h,研磨后过20目筛,按水土质量比为2∶3的比例配制得到实验用土壤。本实验采用P.O 42.5普通硅酸盐水泥与石灰石矿粉作为复合胶凝材料,采用碳纳米管和PAN基碳纤维作为导电填料,导电混凝土成分及配比如表2所示。

表1 3种典型土壤的理化性质

表2 导电混凝土的实验配合比
实验选用的金属材料为Q235钢,试样尺寸为?12 mm×10 mm的圆柱体,圆柱体一端点焊出铜导线,并用环氧树脂进行封装,电极工作面经400#~1000#砂纸依次打磨,并用丙酮清洗。试样工作面均匀地覆盖一层厚度为0.5 cm的混凝土层。试样制备完成后,在恒温恒湿箱中对混凝土进行为期1 d的加速养护实验,养护温度60 ℃,相对湿度99%,得到待测试的工作电极。
电化学测试由CHI660电化学工作站完成,采用三电极体系,其测试装置如图1所示,Q235钢/导电混凝土作为工作电极,饱和甘汞电极 (SCE) 作为参比电极,铂电极作为辅助电极,电解质为3种典型土壤的水饱和泥浆,电化学测试在室温 (22 ℃±2 ℃) 下进行。腐蚀45 d后,分别对3种典型土壤泥浆中的Q235钢/导电混凝土进行电化学阻抗谱与极化曲线测试。极化曲线的扫描速率为1 mV/S,扫描范围为相对于开路电位±300 mV。电化学阻抗谱的交流信号幅值为10 mV,测试频率范围为105~10-2 Hz,通过ZSimpWin对阻抗谱进行拟合分析。

图1 实验装置示意图
根据Q235钢/导电混凝土中Q235钢的腐蚀特点与3种典型土壤的理化参数,采用式 (1) 和 (2) 所示的灰色关联度模型计算其影响权重[12]:

式中,X'0(k)、X'i(k)为初值化序列,ρ为分辨系数,一般取0.5;min imink|X'0(k)X'i(k)|为两级差最小值,max imaxk|X'0(k)X'i(k)|为两级差最大值。
2 结果与分析
2.1 XRD分析
图2为导电混凝土腐蚀前后的XRD图谱。从图可见,导电混凝土中包含CaCO3、3CaO·SiO2、SiO2、CaSO4·2H2O、4CaO·Al2O3·Fe2O3等物质。其中3CaO·SiO2与4CaO·Al2O3·Fe2O3是硅酸盐水泥的主要矿物组成成分,CaSO4·2H2O来源于硅酸盐水泥。CaCO3主要来源于矿粉,是导电混凝土中的胶凝材料之一。SiO2主要来源于粉煤灰,是粉煤灰的重要组成成分。导电混凝土腐蚀45 d后,其物相与腐蚀前基本相同,但SiO2峰相对强度上升,可能是部分来自于土壤的SiO2颗粒嵌入了导电混凝土腐蚀形成的孔洞和裂纹当中导致的。

图2 导电混凝土腐蚀前后的XRD谱
2.2 宏观腐蚀形貌
图3为试样在3种典型土壤中腐蚀前后的宏观腐蚀形貌。从图3a可见,实验制备的Q235钢/导电混凝土试样混凝土层结构完整,表面弥散分布着导电纤维与导电颗粒,边缘未见裂纹。从图3b~d可见,试样在3种典型土壤腐蚀45 d后,均出现了不同程度的腐蚀,导电混凝土表面出现孔洞,边缘出现细微裂纹。

图3 试样在3种典型土壤中腐蚀前后的宏观腐蚀形貌
2.3 动电位扫描极化曲线分析
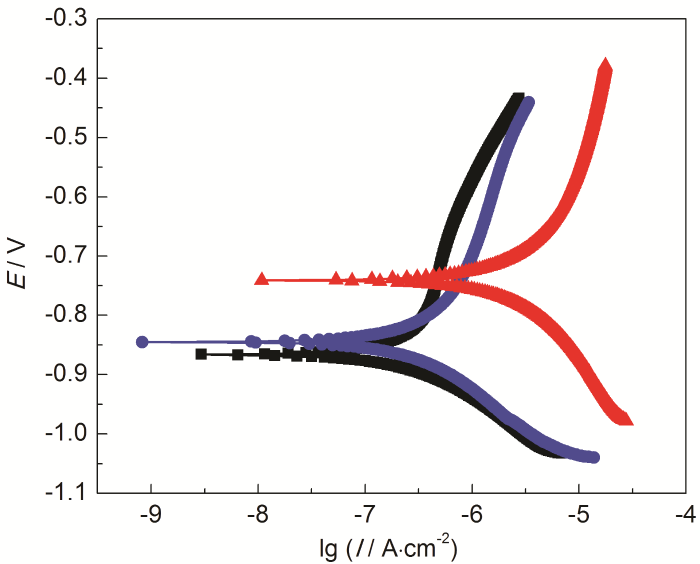
图4为试样在3种典型土壤中腐蚀45 d后的动电位扫描极化曲线。从图可见,盐碱土中试样可见钝化区间,表明试样在盐碱土中表现出钝化行为。在红壤及黄棕壤中试样未出现明显的活化-钝化转变区,主要表现为金属的活性溶解。表3为试样在3种典型土壤中腐蚀45 d后的极化曲线拟合参数,表中自腐蚀电流密度Icorr表示自腐蚀电流密度,βc、βa分别为阴阳极极化率。从表可见,试样在盐碱土、黄棕壤和红壤中的Icorr依次为3.770×10-7、3.819×10-7和2.752×10-6 A·cm-2,3种土壤对Q235钢/导电混凝土的腐蚀性强弱由大到小排序为红壤、黄棕壤和盐碱土。表中βa均小于βc,表明试样在3种典型土壤中的腐蚀过程均主要受阴极反应控制,推测原因为导电混凝土层的隔绝作用及钝化膜的形成导致氧气的扩散过程受阻,因此阴极的耗氧腐蚀为腐蚀过程的控制步骤。

图4 试样在3种典型土壤中腐蚀45 d后的动电位极化曲线
表3 试样在3种典型土壤中腐蚀45 d后的极化曲线拟合参数

2.4 电化学阻抗谱分析
图5为试样在3种典型土壤中腐蚀45 d后的电化学阻抗谱。从图5a可见,试样在腐蚀45 d后,低频区均出现倾角为45°的类Warburg阻抗直线,此时腐蚀过程受电荷转移与扩散过程联合控制。从图5b可见,阻抗谱包含3个时间常数,图中低频区对应Q235钢的电荷转移电阻,中频区对应钝化膜的电阻及电容,高频区对应土壤及混凝土层的电阻及电容,故本文采用Sagoe-Crentsil[13]提出的3个时间常数的等效电路 (CcRc)(CfRf)(Cdl(RctW)) 进行拟合,为了更好还原土壤环境中Q235钢/导电混凝土的腐蚀过程,本文在等效电路 (CcRc)(CfRf)(Cdl(RctW)) 基础上再串联一个土壤介质电阻Rs,其等效电路如图6所示。其中Rs为土壤介质电阻;Cc、Rc分别表示导电混凝土电容与导电混凝土电阻;Qf、Rf分别表示钝化膜层电容与钝化膜层电阻;Cdl表示Q235钢表面双电层电容,测量中发现阻抗弧为压扁的半圆,通常用常相位角元件Qdl来替代;Rct表示电荷转移电阻;W代表具有扩散效应的Warburg阻抗。

图5 试样在3种典型土壤中腐蚀45 d后的电化学阻抗谱

图6 试样在3种典型土壤中的等效电路模型
表4为试样在3种典型土壤中腐蚀45 d时的EIS拟合参数。从表可见,红壤中土壤电阻Rs较大,这主要与红壤含盐量较低有关。盐碱土中导电混凝土电容Cc最小,说明此时导电混凝土中容纳的电解质溶液较少,混凝土内部的孔洞及微裂纹数量少,劣化程度低。表中,试样在盐碱土中的膜层电阻Rf比其余两种土壤大了一个数量级,其中膜层电阻Rf反映了金属表面钝化膜层电绝缘性能,决定了电子在钝化膜内迁移过程的难易程度,影响电荷转移电阻Rct的大小[14]。盐碱土环境中导电混凝土劣化形成的孔洞及裂纹数量少,对H+、H2O、O2、Cl-、SO42-等侵蚀性物质扩散过程的阻碍作用强,有利于维持混凝土内部环境的高碱性,从而在Q235表面形成结构稳定且致密的钝化膜结构,因此其腐蚀速率最低。此处,将极化电阻Rp定义为Rct和Rf之和,极化电阻越大,金属腐蚀速率越低[15]。3种典型土壤Rp大小按土壤类型排序依次为盐碱土、黄棕壤和红壤,以上结果与极化曲线拟合结果一致。
表4 试样在3种典型土壤中腐蚀45 d后的EIS拟合参数

2.5 灰色关联度结果
表5为Q235钢腐蚀电流密度和土壤环境因素的对应关系,此处将Q235钢/导电混凝土中Q235钢的腐蚀电流密度作为参考数列,3种土壤的理化性质作为比较数列。经计算,Q235钢的腐蚀电流密度与3种土壤的理化性质的灰色关联度由大到小排序为:(γ01,γ02,…γ07)=(0.7382,0.7109,0.7106,0.7214,0.7639,0.7153,0.7812)。灰色关联度的大小决定了该种土壤环境因素对于Q235腐蚀过程促进或者抑制作用的强弱。结果表明,Q235钢/导电混凝土在土壤中腐蚀时,土壤环境因素的影响权重排序结果为:pH>[SO42-]>[Ca2+]>[Cl-]>[HCO3-]>[Mg2+]>[Fe3+]。
表5 Q235钢腐蚀电流密度和土壤环境因素相关序列

3 讨论
导电混凝土为多孔、不均匀的复杂体系,腐蚀初期,土壤中的SO42-会与混凝土的水化产物发生混凝土结晶腐蚀,其反应方程见式 (3),Ca(OH)2转化形成CaSO4会导致混凝土发生固相体积膨胀,在混凝土的孔隙和毛细孔壁上产生张力[16],因此其宏观腐蚀形貌可见裂纹。这些裂纹为H2O、O2、Cl-、SO42-等侵蚀性物质到达Q235钢表面提供了快速通道,导致Q235钢发生电化学腐蚀[17]。一般来讲,Q235钢/导电混凝土体系中的pH为12.5~13.5,在高碱性的混凝土环境中,Q235钢发生析氢腐蚀的过电位较高,因此其阴极主要发生耗氧腐蚀[18],阳极、阴极反应方程见式 (4) 和 (5)。从极化曲线测试结果可知,腐蚀进行至45 d,3种典型土壤中Q235钢/导电混凝土的阴极极化率均大于阳极极化率,腐蚀速率受阴极反应控制,故氧气的扩散速率决定了Q235钢的腐蚀速率。对于酸性较强红壤来说,H+会与导电混凝土中碳酸钙、硅酸钙按照式 (6) 和 (7) 发生反应[19],导致混凝土局部溶解形成微孔,因此Q235钢/导电混凝土在酸性红壤中的劣化程度比强碱性土壤中高。在盐碱土中,浓度较高Cl-、SO42-等侵蚀性离子虽促进Q235钢的阳极溶解过程,但由于混凝土劣化程度低,阻碍了阴极反应的进行,产生很大的阴极极化作用,因此其腐蚀速率最低。
对于Q235钢/导电混凝土在土壤中的腐蚀来说,由于H+、SO42-均会直接与导电混凝土组分发生反应,导致其结构破坏,因此pH、SO42-浓度对Q235钢/导电混凝土的影响权重较大。其中,土壤中的H+不但能直接与混凝土组分发生反应,还可以通过扩散的方式迁移至Q235钢/混凝土界面,降低Q235钢腐蚀环境的碱度,从而促进腐蚀反应的发生[20],因此其影响权重略大于SO42-。而土壤中Ca2+对Q235钢/导电混凝土腐蚀过程的影响需通过扩散的方式进入导电混凝土孔隙液,通过在Q235钢表面析出相应的氧化物或者碳酸盐沉积的方式,为Q235钢提供物理防护作用[21],因此其影响权重低于pH和SO42-。Cl-作为侵蚀性较强的活性阴离子,具有破坏金属表面钝化膜的能力[22],但其不直接与导电混凝土的组分发生化学反应,并且其对Q235钢腐蚀的促进过程受到混凝土层及双电层隔绝作用的抑制,因此Cl-浓度对Q235钢/导电混凝土在土壤环境中腐蚀的影响权重较低。

4 结论
(1) Q235钢/导电混凝土在3种典型土壤环境中腐蚀速率由小到大按土壤类型排序依次为盐碱土、黄棕壤、红壤。随着土壤环境pH的降低,导电混凝土劣化程度增大,腐蚀速率增加。
(2) 灰色关联度计算结果表明,Q235钢/导电混凝土在土壤中腐蚀时,土壤环境因素的影响权重排序结果为:pH>[SO42-]>[Ca2+]>[Cl-]>[HCO3-]>[Mg2+]>[Fe3+]。
(3) H+、SO42-由于会直接与导电混凝土组分发生反应,导致混凝土劣化,其影响权重最大。Ca2+需通过扩散的方式进入导电混凝土孔隙液,以析出相应的氧化物或者碳酸盐沉积的方式提供物理防护作用,其影响权重略低。Cl-由于对Q235钢腐蚀的促进过程受到混凝土层及双电层隔绝作用的抑制,因此影响权重较低。
参考文献
[1]Hu Y C, Ruan J J, Gong R H, et al.
Flexible graphite composite electrical grounding material and its application in tower grounding grid of power transmission system
[J]. Power Syst. Technol., 2014, 38: 2851
[本文引用: 1]
胡元潮, 阮江军, 龚若涵等。
柔性石墨复合接地材料及其在输电线路杆塔接地网中的应用
[J]. 电网技术, 2014, 38: 2851
[本文引用: 1]
[2]Hu R G.
Electrochemical study on corrosion process of steel rebar/concrete system
[D]. Xiamen: Xiamen University, 2004
[本文引用: 1]
胡融刚。
钢筋/混凝土体系腐蚀过程的电化学研究
[D]. 厦门: 厦门大学, 2004
[本文引用: 1]
[3]Zhu Y C, Liu G M, Liu X, et al.
Investigation on interrelation of field corrosion test and accelerated corrosion test of grounding materials in red soil environment
[J]. J. Chin. Soc. Corros. Prot., 2019, 39: 550
[本文引用: 1]
朱亦晨, 刘光明, 刘欣等。
红壤地区接地材料现场埋样与加速腐蚀实验的相关性研究
[J]. 中国腐蚀与防护学报, 2019, 39: 550
[本文引用: 1]
[4]Liu X, Zhu Y C, Pei F, et al.
Galvanic corrosion behavior of Q235 steel-red copper in acid red soil of different temperatures
[J]. Surf. Technol., 2018, 47(9): 157
[本文引用: 1]
刘欣, 朱亦晨, 裴锋等。
Q235钢-紫铜在不同温度酸性红壤中的电偶腐蚀行为
[J]. 表面技术, 2018, 47(9): 157
[本文引用: 1]
[5]Ke Y, Feng C, Zhou Q, et al.
Analysis of the influence of concrete pore structure on strength and durability based on grey relation theory
[J]. Concrete, 2019, (5): 42
[本文引用: 1]
柯杨, 冯诚, 周琴等。
基于灰关联理论的混凝土孔结构对强度和耐久性的影响分析
[J]. 混凝土, 2019, (5): 42
[本文引用: 1]
[6]Jiang Y M, Wu M, Chen X, et al.
Grey relational analysis for soil corrosion of a buried pipeline
[J]. Corros. Prot., 2011, 32: 564
[本文引用: 1]
姜永明, 吴明, 陈旭等。
某油田埋地管道土壤腐蚀的灰色关联分析
[J]. 腐蚀与防护, 2011, 32: 564
[本文引用: 1]
[7]Fu C Y, Zheng J S, Zhao J M, et al.
Application of grey relational analysis for corrosion failure of oil tubes
[J]. Corros. Sci., 2001, 43: 881
[本文引用: 1]
[8]Wang H T, Han E-H, Ke W.
Gray model and gray relation analysis for atmospheric corrosion of carbon steel and low alloy steel
[J]. Corros. Sci. Prot. Technol., 2006, 18: 278
[本文引用: 1]
王海涛, 韩恩厚, 柯伟。
碳钢、低合金钢大气腐蚀的灰色模型预测及灰色关联分析
[J]. 腐蚀科学与防护技术, 2006, 18: 278
[本文引用: 1]
[9]Zha F L, He T X, Feng B, et al.
Grey correlation analysis of grounding grid materials corroded in soil extract solutions
[J]. Corros. Prot., 2014, 35: 1212
[本文引用: 1]
查方林, 何铁祥, 冯兵等。
接地网材料在土壤浸出液中腐蚀的灰色关联度分析
[J]. 腐蚀与防护, 2014, 35: 1212
[本文引用: 1]
[10]Wang H, Li J P, Li L, et al.
Service life of underground concrete pipeline with original incomplete cracks in chlorinated soils: Theoretical prediction
[J]. Construct. Build. Mater., 2018, 188: 1166
[本文引用: 1]
[11]Ma X X.
The classification of main soil corrosion to concrete materials in our country
[J]. Build. Sci., 2003, 19(6): 56
[本文引用: 1]
马孝轩。
我国主要类型土壤对混凝土材料腐蚀性规律的研究
[J]. 建筑科学, 2003, 19(6): 56
[本文引用: 1]
[12]Wang S X, Du N, Liu D X, et al.
Corrosion kinetics and the relevance analysis for X80 steel in a simulated acidic soil solution and outdoor red soil
[J]. J. Chin. Soc. Corros. Prot., 2019, 39: 18
[本文引用: 1]
王帅星, 杜楠, 刘道新等。
X80钢在酸性红壤模拟液及室外红壤中的腐蚀动力学规律及相关性分析
[J]. 中国腐蚀与防护学报, 2019, 39: 18
[本文引用: 1]
[13]Sagoe-crentsil K K, Glasser F P, Irvine J T S.
Electrochemical characteristics of reinforced concrete corrosion as determined by impedance spectroscopy
[J]. Br. Corros. J., 1992, 27: 113
[本文引用: 1]
[14]Vedalakshmi R, Palaniswamy N.
Analysis of the electrochemical phenomenon at the rebar-concrete interface using the electrochemical impedance spectroscopic technique
[J]. Mag. Concrete Res., 2010, 62: 177
[本文引用: 1]
[15]Wang S, Luo H, Li Z Z, et al.
Corrosion behavior of three kinds of typical grounded metal in simulated solution of Shanxi soil
[J]. Mater. Prot., 2012, 45(2): 70
[本文引用: 1]
王森, 骆鸿, 李志忠等。
陕西土壤模拟液中3种典型接地金属材料的腐蚀行为
[J]. 材料保护, 2012, 45(2): 70
[本文引用: 1]
[16]Qiu L F.
Experimental study on corrosion process of reinforced concrete in sulfate-chloride environment
[D]. Nanjing: Nanjing University of Science and Technology, 2017
[本文引用: 1]
邱林峰。
硫酸盐—氯盐环境下钢筋混凝土腐蚀过程的实验研究
[D]. 南京: 南京理工大学, 2017
[本文引用: 1]
[17]Shi J J, Sun W.
Recent research on steel corrosion in concrete
[J]. J. Chin. Ceram. Soc., 2010, 38: 1753
[本文引用: 1]
施锦杰, 孙伟。
混凝土中钢筋锈蚀研究现状与热点问题分析
[J]. 硅酸盐学报, 2010, 38: 1753
[本文引用: 1]
[18]Shi J J, Sun W.
Models for corrosion rate of steel in concrete—A short review
[J]. J. Chin. Ceram. Soc., 2012, 40: 620
[本文引用: 1]
施锦杰, 孙伟。
混凝土中钢筋腐蚀速率模型研究进展
[J]. 硅酸盐学报, 2012, 40: 620
[本文引用: 1]
[19]Wang D J.
Analysis on influence of acid rain pollution on durability of reinforced concrete composite beams
[J]. Environ. Sci. Manage., 2019, 44(10): 54
[本文引用: 1]
王德俊。
酸雨污染对钢筋混凝土组合梁结构耐久性的影响研究
[J]. 环境科学与管理, 2019, 44(10): 54
[本文引用: 1]
[20]Sánchez-Moreno M, Takenouti H, García-Jare?o J J, et al.
A theoretical approach of impedance spectroscopy during the passivation of steel in alkaline media
[J]. Electrochim. Acta, 2009, 54: 7222
[本文引用: 1]
[21]Dong C F, Li X G, Wu J W, et al.
Review in experimentation and data processing of soil corrosion
[J]. Corros. Sci. Prot. Technol., 2003, 15: 154
[本文引用: 1]
董超芳, 李晓刚, 武俊伟等。
土壤腐蚀的实验研究与数据处理
[J]. 腐蚀科学与防护技术, 2003, 15: 154
[本文引用: 1]
[22]Mundra S, Criado M, Bernal S A, et al.
Chloride-induced corrosion of steel rebars in simulated pore solutions of alkali-activated concretes
[J]. Cem. Concr. Res., 2017, 100: 385
[本文引用: 1]
免责声明:本网站所转载的文字、图片与视频资料版权归原创作者所有,如果涉及侵权,请第一时间联系本网删除。
-
标签: Q235钢/导电混凝土, 土壤腐蚀, 电化学测试, 灰色关联度
官方微信
《中国腐蚀与防护网电子期刊》征订启事
- 投稿联系:编辑部
- 电话:010-62316606-806
- 邮箱:fsfhzy666@163.com
- 中国腐蚀与防护网官方QQ群:140808414



