摘要
研究了X65管线钢与316L不锈钢、Inconel 625双金属复合管的异种金属焊缝在CO2环境下的电偶腐蚀行为,以及油酸咪唑啉的缓蚀作用。结果表明,随着电偶电位差的增大,异种金属焊缝的腐蚀速率明显升高,并且都显著高于母材。添加油酸基咪唑啉缓蚀剂能降低异种金属焊缝在CO2环境下的均匀腐蚀速率。但是,当缓蚀剂浓度添加较低时,异种金属焊接试样的碳钢一侧出现了严重的沟槽腐蚀或密集的点蚀坑;进一步增加缓蚀剂浓度才能消除沟槽腐蚀现象。讨论了缓蚀剂对异种金属焊缝电偶腐蚀的抑制机理,该项研究可为异金属焊接接头处的腐蚀防护提供借鉴。
关键词: CO2腐蚀 ; 咪唑啉 ; 电偶腐蚀 ; 异金属焊接
高温高压CO2腐蚀对海底管线造成严重的腐蚀威胁,双金属复合管作为可靠的防腐蚀手段已经被广泛应用于海底管线上[1,2]。不可避免的,在结构中有时会存在双金属复合管和碳钢管焊接的情况,在焊接接头处由于材质的不同而产生腐蚀电位差异,发生电偶腐蚀[3,4,5]。研究[6]表明,当异种双金属开路电位差超过0.25 V时,会有严重的电偶腐蚀现象。田永芹等[7]研究了X65,316L钢和Inconel 625合金在模拟地层取出水溶液中的腐蚀行为,认为X65与316L不锈钢和Inconel 625合金分别耦接后产生了严重的电偶腐蚀。因此,有必要对海底管线的异种金属焊缝的电偶腐蚀开展系统研究。
缓蚀剂是一种高效且相对经济的腐蚀防控措施[8,9,10]。咪唑啉季铵盐缓蚀剂是目前油田上广泛应用的一类缓蚀剂,对油田中的CO2腐蚀具有良好的缓蚀效果。咪唑啉分子结构中的咪唑啉环上的N可以与金属表面的d空轨道形成配位键,而非极性的烷基链会形成一个疏水层,阻止腐蚀介质进入金属表面,从而起到缓蚀作用[11]。在电偶腐蚀的环境中,由于金属表面的电位发生改变,势必会对咪唑啉缓蚀剂的吸附造成影响,但目前对咪唑啉缓蚀剂抑制电偶腐蚀机理尚不十分明了。因此,本文通过腐蚀模拟实验,研究了CO2环境下X65/316L不锈钢和X65/Inconel 625异种金属焊接海管电偶腐蚀行为,并且分析比较了油酸咪唑啉缓蚀剂在不同温度和浓度下对X65异种金属焊接海管腐蚀的抑制作用,探讨了电偶腐蚀条件下咪唑啉缓蚀剂的作用机制。
1 实验方法
1.1 实验材料及溶液
选取海底管线用X65管材、X65/X65焊缝、X65/316L不锈钢以及X65/Inconel 625焊缝作为实验材料。X65,316L不锈钢和Inconel 625合金的元素组成如表1所示。
表1 X65、316L不锈钢和Inconel 625合金的化学成分 (mass fraction / %)

实验溶液为模拟现场取出水,主要离子成分为Mg2+ 0.02 mg/L,Na+ 1791 mg/L,Cl- 2724 mg/L,HCO3- 62 mg/L。取出水的pH值为8.15。
1.2 高温高压动态模拟腐蚀实验
利用哈氏合金高温高压釜模拟实际工况,进行腐蚀实验。根据实际工况,CO2分压为0.89 MPa;考虑海底管线温度的波动,实验温度设定为4,14和30 ℃;实验周期为7 d。为了探讨缓蚀剂对腐蚀的影响,实验中分别加入了30和50 μL/L油酸咪唑啉缓蚀剂。
试样腐蚀失重速率按下式计算:
Vcorr=8.76×104×(m0?mt)S?t?ρ(1)
式中,Vcorr为腐蚀速率,mm/a;m0和mt分别为实验前后试样的质量,g;S为试样受试总面积,cm2;ρ为实验材料的密度,g/cm3;t为实验时间,h。
利用KYKY-EM6200扫描电镜 (SEM) 和OLS4100-SAF型激光共聚焦显微镜 (CLSM) 对腐蚀后的试样进行微观形貌观察。
1.3 缓蚀剂性能评价
采用腐蚀失重的方法对缓蚀剂的性能进行评价,缓蚀效率按照下式进行计算:
η1=Δm0?Δm1Δm0×100%=V0?V1V0×100%(2)
式中,△m0为未加缓蚀剂时试样的质量损失,g;△m1为加入缓蚀剂时试样的质量损失,g;V0为空白实验中试样的均匀腐蚀速率,mm/a;V1为加入缓蚀剂时试样的均匀腐蚀速率,mm/a。
1.4 电化学测试
采用CHI660D电化学工作站进行电化学测试。选用三电极体系进行测量,X65母材、X65/X65焊缝、X65/316L不锈钢和X65/Inconel 625异种金属焊缝4种电极材料作为工作电极,面积为1 cm2;辅助电极为Pt电极;参比电极 (SCE) 为饱和甘汞电极。测试溶液为5% (质量分数) NaCl、0.1%NaHCO3溶液,测试温度为30 ℃时,测试过程中常通CO2气体。缓蚀剂添加浓度为30和50 μL/L。极化曲线扫描速率为0.5 mV/s。电化学阻抗谱在开路电位下测试,频率范围为105~10-2 Hz,幅值为10 mV。
2 结果与讨论
2.1 X65钢及异种金属焊缝材料的腐蚀失重
图1为X65母材以及X65/X65、X65/316L不锈钢和X65/Inconel 625焊缝材料在0.89 MPa CO2分压下4,14和30 ℃时的腐蚀速率。可以看出,随温度升高,材料的腐蚀速率均增加,其中X65/316L不锈钢和X65/Inconel 625异种金属焊接材料的腐蚀速率明显高于母材的。在30 ℃时,X65/Inconel 625异种金属焊接材料的腐蚀速率为3.5 mm/a。

图1 X65钢以及异种金属焊接材料在不同温度下的腐蚀速率
利用SEM和CLSM观察腐蚀后的试样表面形貌,结果见图2。X65母材和X65/X65焊缝试样在所有腐蚀条件下均呈现均匀腐蚀特征,而X65/316L不锈钢、X65/Inconel 625异种金属焊缝试样呈现明显的台阶状腐蚀形貌。从图2a和c可看出,由于焊缝两侧材质不同,材料的腐蚀程度不均匀,焊缝处出现了明显的电偶腐蚀台阶,X65钢一侧的腐蚀程度较大,其中X65/316L不锈钢的台阶高度约90 μm,X65/Inconel 625的台阶高度约为140 μm。

图2 未添加缓蚀剂异种金属焊缝腐蚀后的微观形貌
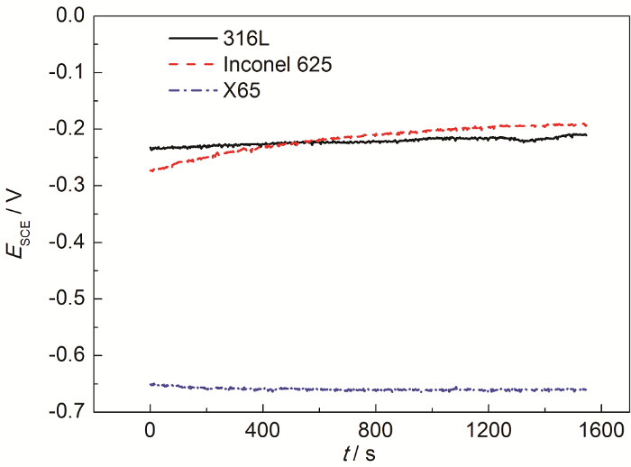
图3为X65母材、316L不锈钢和Inconel 625合金在30 ℃模拟现场取出水溶液中腐蚀电位随时间的变化关系,测试过程中持续通CO2。可以看出,X65与316L不锈钢和Inconel 625合金两种材料的腐蚀电位相差很大。因此,当X65钢与其中任何一种材料进行焊接后,会产生电偶腐蚀倾向,X65钢作为阳极,腐蚀过程被加速。由于Inconel 625合金的腐蚀电位相对于316L不锈钢较正,导致X65/Inconel 625焊缝试样的X65钢一侧腐蚀更加严重,形成较高的腐蚀台阶。

图3 X65和316L不锈钢、Inconel 625合金在模拟现场取出水中的腐蚀电位
2.2 缓蚀剂对异种金属焊缝电偶腐蚀的抑制作用
图4为添加30 μL/L的缓蚀剂后X65母材以及X65/X65、X65/316L、X65/Inconel 625焊缝的腐蚀速率。对于X65母材和X65/X65焊缝,在实验温度下腐蚀速率均处于较低状态,约在0.02~0.07 mm/a,表明缓蚀剂在基体表面吸附成膜,显著降低了腐蚀速率。对于X65/316L焊缝和X65/Inconel 625焊缝,在较低温度下腐蚀速率较小;当温度升到30 ℃时,腐蚀速率显著增加。从表2中给出的缓蚀效率可看出,油酸基咪唑啉缓蚀剂对X65母材和X65/X65焊缝的缓蚀效率要高于异种金属焊缝的,但4种试样的缓蚀效率均处于比较高的状态。值得注意的是,在14 ℃时缓蚀剂对X65/316L和X65/Inconel 625异种金属焊缝的缓蚀效率甚至能够达到97%。从缓蚀效率的数值来看,油酸基咪唑啉缓蚀剂能有效抑制异种金属焊缝的电偶腐蚀。

图4 X65母材和3种金属焊缝试样在不同温度下添加30 μL/L缓蚀剂的模拟溶液中浸泡7 d后的腐蚀速率
表2 X65母材和3种金属焊缝试样在不同温度下添加30 μL/L缓蚀剂的模拟溶液中浸泡7 d后的缓蚀效率

然而,观察腐蚀后的试样表面状态可见,添加30 μL/L缓蚀剂时,X65母材和X65/X65焊缝试样仍然呈现均匀腐蚀特征,但是在14 ℃下腐蚀后的试样在焊缝熔合线处出现了较深的沟槽腐蚀,如图5a和c所示;当温度升高至30 ℃,在焊缝熔合线处出现了密集的点蚀坑,如图5b和d所示。表明添加30 μL/L咪唑啉缓蚀剂虽然能够抑制异种金属焊接导致的电偶腐蚀,但是在焊缝处却会出现局部腐蚀。

图5 两种异种金属焊接试样在14和30 ℃下添加30 μL/L缓蚀剂的模拟现场取出水溶液中腐蚀7 d后的SEM像
为了研究较高温度下缓蚀剂浓度对电偶腐蚀的抑制作用,测试了X65母材和3种金属焊缝试样在14和30 ℃下添加50 μL/L缓蚀剂的模拟现场取出水中的腐蚀速率,结果见图6,相应的缓蚀效率见表3。与添加30 μL/L缓蚀剂条件下的结果相比,腐蚀速率相差不大。

图6 X65母材和3种金属焊缝试样在不同温度下添加50 μL/L缓蚀剂的模拟溶液中浸泡7 d后的腐蚀速率
表3 X65母材和3种金属焊缝试样在不同温度下添加50 μL/L缓蚀剂的模拟溶液中浸泡7 d后的缓蚀效率

图7为X65/316L不锈钢和X65/Inconel 625焊缝试样在14和30 ℃下添加50 μL/L缓蚀剂的模拟现场取出水溶液中腐蚀7 d后的SEM像。如图7a和c所示,与添加30 μL/L缓蚀剂相比,在14 ℃时焊缝连接处的点蚀坑数量明显减少;温度增加至30 ℃时 (图7b和d),在焊缝连接处没有出现明显的点蚀坑,腐蚀程度比较均匀。表明,增加缓蚀剂浓度能够显著消除焊缝熔合线区的腐蚀。

图7 两种异种金属焊接试样在14和 30 ℃下添加50 μL/L缓蚀剂的模拟现场取出水溶液中腐蚀7 d后的SEM像
2.3 极化曲线
图8为X65以及X65/X65、X65/316L不锈钢、X65/Inconel 625焊接试样在30 ℃下不同缓蚀剂浓度的模拟取出水溶液中的极化曲线。可以看出,添加油酸咪唑啉缓蚀剂后极化曲线向正电位方向移动,腐蚀电流密度降低,即添加缓蚀剂对X65异金属材料的腐蚀有很好的抑制作用。缓蚀剂浓度增加至50 μL/L后,X65,X65/X65,X65/316L不锈钢,X65/Inconel 625试样的极化曲线与缓蚀剂浓度为30 μL/L时的极化曲线非常相近,说明添加30 μL/L缓蚀剂已经达到良好的缓蚀效果。另外,添加缓蚀剂后,4种不同试样的阴极和阳极曲线明显被抑制,表明油酸咪唑啉缓蚀剂是混合型缓蚀剂。但是,当极化电位约为-0.4 V (SCE) 时,添加缓蚀剂的阳极极化曲线与未添加的极化曲线基本重合,说明此时缓蚀剂已从金属表面完全脱附,缓蚀剂已经不起保护作用。这一电位距离自腐蚀电位约100 mV,在此电位区间内,阳极极化曲线反映出缓蚀剂处于连续脱附状态。

图8 X65母材和3种金属焊缝试样在不同浓度缓蚀剂的模拟现场取出水溶液中的极化曲线
2.4 电化学阻抗谱
图9给出了X65以及X65/X65,X65/316L不锈钢,X65/Inconel 625焊接试样在30 ℃下不同缓蚀剂浓度的模拟取出水溶液中的Nyquist图,等效电路图如图10所示,拟合参数如表4所示。

图9 X65以及X65/X65,X65/316L不锈钢,X65/Inconel 625焊接试样在不同浓度缓蚀剂的模拟现场取出水溶液中的Nyquist图

图10 X65以及X65/X65,X65/316L不锈钢,X65/Inconel 625焊接试样在添加/不添加缓蚀剂的模拟现场采出水溶液中的EIS等效电路图
表4 EIS等效电路拟合参数

未添加缓蚀剂的阻抗谱采用图10a的等效电路拟合,等效电路中的感抗表明试样表面的腐蚀产物存在动态形成的过程。添加了缓蚀剂的阻抗谱采用图10b的等效电路图拟合,由于缓蚀剂的吸附使得在等效电路中出现了吸附双电层的容抗。从图中可见,相对于没有添加油酸咪唑啉缓蚀剂条件下的Nyquist图,添加缓蚀剂后的阻抗弧半径大幅度增大,即添加缓蚀剂后,在电极表面形成了缓蚀剂吸附膜,提高了材料的抗腐蚀性能。与添加30 μL/L缓蚀剂相比,缓蚀剂浓度增加至50 μL/L后,X65/316L不锈钢、X65/Inconel 625异种金属焊接试样的阻抗弧半径比较相近,说明当缓蚀剂浓度为30 μL/L时,对异种金属焊接试样已经达到了较好的缓蚀效果。
2.5 油酸咪唑啉缓蚀剂抑制电偶腐蚀的机理分析
从图8的极化曲线可见,添加油酸咪唑啉缓蚀剂条件下阳极极化过电位超过100 mV以后,缓蚀剂已从金属表面完全脱附;在此电位区间内,阳极极化曲线反映出缓蚀剂处于连续脱附状态。对于X65母材和X65/X65焊缝来说,由于基体电位比较均匀,因此咪唑啉缓蚀剂能够均匀吸附在基体表面,从而使基体金属呈现出均匀腐蚀特征。但对于异种金属焊缝而言,碳钢一侧处于阳极极化状态,咪唑啉缓蚀剂在这种状态下容易脱附,因此在碳钢一侧的表面上吸附不均匀,因此出现明显的局部腐蚀。异种金属焊缝距离耐蚀合金越近则阳极极化越强烈,因此局部腐蚀集中在焊缝的熔合线处。离耐蚀合金越远,阳极极化衰减越明显,因此在离焊缝较远的区域缓蚀剂能形成均匀吸附,进而有效地降低腐蚀速率。这可能是添加缓蚀剂后异种金属焊接试样均匀腐蚀速率较低,但在熔合线上容易出现局部腐蚀的原因。
2.5.1 油酸咪唑啉缓蚀剂浓度对其抑制电偶腐蚀的影响
油酸咪唑啉缓蚀剂是一种吸附型缓蚀剂,主要是通过其在金属表面形成吸附膜来阻隔腐蚀介质与金属表面接触而起作用。浓度是影响其缓蚀率的重要因素之一[12,13,14,15,16]。在30 ℃下未添加缓蚀剂时,X65/316L不锈钢和X65/Inconel 625异种金属由于较大的电位差在焊缝处出现腐蚀台阶;添加30 μL/L油酸咪唑啉缓蚀剂后,腐蚀速率显著降低,但在异种金属焊缝处出现了点蚀,表明缓蚀剂由于较大的电位差在焊缝处发生了脱附现象。当缓蚀剂浓度增加至50 μL/L后,缓蚀剂在金属表面形成完整的吸附膜,焊缝连接处的点蚀几乎消失,腐蚀程度明显降低。即添加50 μL/L缓蚀剂可以明显抑制异种金属焊接材料的电偶腐蚀。
2.5.2 温度对油酸咪唑啉缓蚀剂抑制电偶腐蚀的影响
油酸咪唑啉缓蚀剂作用效果对温度具有较强的依赖性。在添加50 μL/L缓蚀剂条件下,温度从14 ℃升至30 ℃时,X65和X65/X65试样的腐蚀速率下降,表明缓蚀剂在基体表面吸附成膜,明显降低腐蚀速率;但是X65/316L不锈钢和X65/Inconel 625的腐蚀速率升高,SEM形貌图表明腐蚀后的试样表面产生点蚀现象,30 ℃时缓蚀剂由于焊缝处较大的电位差发生脱附现象,导致点蚀现象的产生[17]。
3 结论
(1) 在CO2环境下,随着温度的升高,X65母材以及X65/X65、X65/316L、X65/Inconel 625焊缝的腐蚀速率增加;在相同条件下,异种金属焊缝的腐蚀速率明显高于X65母材的腐蚀速率。
(2) X65钢与316L不锈钢、Inconel 625合金的腐蚀电位相差较大,X65钢的电位更负,两种材料焊接后有较大的电偶腐蚀倾向,X65钢作为阳极,腐蚀过程被加速。
(3) 油酸咪唑啉对异种金属焊缝的电偶腐蚀有明显的抑制作用,但缓蚀剂浓度较小时,在异种金属焊缝熔合线处出现了沟槽腐蚀或密集的点蚀坑,增大缓蚀剂浓度能够有效消除沟槽腐蚀和点蚀现象。
(4) 油酸咪唑啉缓蚀剂能同时抑制阴阳极反应,在阳极过电位100 mV区间内会发生脱附,异种金属焊缝碳钢一侧处于阳极极化状态,咪唑啉缓蚀剂发生不均匀吸附,从而导致局部腐蚀。
免责声明:本网站所转载的文字、图片与视频资料版权归原创作者所有,如果涉及侵权,请第一时间联系本网删除。
官方微信
《中国腐蚀与防护网电子期刊》征订启事
- 投稿联系:编辑部
- 电话:010-62316606-806
- 邮箱:fsfhzy666@163.com
- 中国腐蚀与防护网官方QQ群:140808414



