摘要
为深化对钢桥焊接节点腐蚀疲劳问题的认识,通过对既有研究成果进行梳理,从钢桥腐蚀原因及特点、焊接节点腐蚀疲劳性能影响因素及焊接节点腐蚀预测模型等方面进行了总结,探讨了钢桥焊接节点腐蚀疲劳研究的现状和发展趋势。针对环境腐蚀下疲劳裂纹萌生机理,重点讨论了点蚀疲劳损伤过程。基于3种典型的腐蚀疲劳模型(叠加模型,竞争模型和乘积模型),对腐蚀疲劳裂纹扩展机理进行了综述。对基于S-N曲线、Miner线性累积损伤理论和基于断裂力学裂纹扩展速率公式的两种主要的腐蚀疲劳寿命预测方法进行了归纳。研究结果表明:钢桥焊接节点腐蚀疲劳体现为环境介质和循环应力双重驱动下的裂纹扩展问题,其疲劳破坏模式、疲劳损伤机理、抗疲劳设计等问题更为复杂;钢桥腐蚀疲劳损伤驱动机理、腐蚀疲劳寿命评估方法及适用的疲劳性能强化技术,是钢桥的全寿命周期设计理论的重要基础和钢桥可持续发展亟待解决的重要研究课题。
钢桥焊接节点包含多种缺口效应构造细节,构造处疲劳强度降低较多,是抗疲劳设计的关键部位。桥梁结构服役期内,由于所处环境复杂、荷载作用不确定、服役时间长,使材料不断劣化,局部损伤演化造成结构劣化。桥梁所处地理位置千变万化、气候条件复杂,很多桥梁架设在海洋、工业腐蚀、酸雨等环境中,承受载荷并受到SO2、雨水、盐雾等多种因素的影响,在计入结构缺陷和腐蚀损伤带来的影响后,结构的抗断能力会大幅度降低。
作为钢结构桥梁两类时变损伤,腐蚀与疲劳是影响钢结构桥梁耐久性的主要因素。腐蚀过程中,交变应力和腐蚀相互促进加速了裂纹的扩展。环境腐蚀介质与交变应力耦合作用下,钢桥焊接节点的疲劳性能的加速劣化问题值得关注。实际上在任何介质中腐蚀疲劳均可能出现,即使应力强度因子小于应力腐蚀疲劳裂纹应力强度因子门槛值时,疲劳裂纹仍会扩展,腐蚀疲劳裂纹源有多处。自1917年首次提出腐蚀疲劳现象以来,国内外学者在腐蚀损伤机理、局部腐蚀规律以及腐蚀疲劳损伤等方面做了许多研究工作,取得了有价值的研究成果,但主要集中在材料、机械及航空等领域,研究重点是材料本身的腐蚀和疲劳。钢桥焊接节点的腐蚀疲劳行为与腐蚀特征、焊接残余应力、复杂应力场及构造本身引起的应力集中程度等有关,钢桥焊接节点腐蚀疲劳损伤机理的影响因素更复杂。钢桥腐蚀疲劳研究早期主要集中在无防锈涂层保护的耐候钢桥梁上。20世纪90年代国内外学者对焊接细节腐蚀条件下疲劳性能开展了一些研究。
为深化对钢桥焊接节点腐蚀疲劳问题的认识,通过对既有研究成果进行梳理,从钢桥腐蚀原因及特点、焊接节点腐蚀疲劳性能影响因素及焊接节点腐蚀预测模型等方面进行了总结,探讨了钢桥焊接节点腐蚀疲劳研究的现状和发展趋势。针对环境腐蚀下疲劳裂纹萌生机理,重点讨论了点蚀疲劳损伤过程。
1 钢桥腐蚀原因及特点
钢桥的腐蚀是指钢材与环境介质之间发生化学或电化学作用从而引起钢材材质变化甚至破坏的过程。钢桥腐蚀按所处的环境可分为大气腐蚀和海水腐蚀。大气腐蚀主要是受大气中的水分、氧气和腐蚀介质(包括杂质、尘埃、表面沉积物等)的作用而引起的破坏。海水腐蚀主要是由于海水中的溶解氧、氯离子和海洋环境生物的作用而导致的破坏。钢桥中的腐蚀类型可以分为均匀腐蚀和局部腐蚀。局部腐蚀又包括点蚀、缝隙腐蚀、应力腐蚀和腐蚀疲劳。局部腐蚀破坏集中在局部位置,从而引起应力集中,使钢结构更容易产生脆性断裂破坏,甚至引起重大的事故,所以局部腐蚀比全面腐蚀的危害更严重。
桥梁钢结构的易腐蚀部位主要包括桁梁结构、钢箱梁和缆索系统,由于不同桥梁部位的腐蚀条件存在差异,导致腐蚀情况有很大的不同。1)桁梁结构。桁梁结构桥面板以上部位的钢腐蚀因素主要是雨水侵蚀和紫外线照射等。桁梁结构桥面板以下部位的腐蚀主要是由于水蒸气蒸发,在钢结构表面形成水膜,同时还有自由排放的各种污染物和粉尘等作用。2)钢箱梁。钢箱梁内部的通风环境很差,由于潮湿气体的聚集引起锈蚀,所以钢箱梁的主要腐蚀类型是大气腐蚀。3)缆索系统。主要指悬索桥的主缆和吊索、斜拉桥的拉索以及拱桥的吊杆等,缆索系统的主要腐蚀类型是大气腐蚀。
钢桥所处的环境不同,影响钢桥大气腐蚀的因素一般也不同,主要包括环境因素、材料因素和人为因素。由于腐蚀影响因素众多,腐蚀过程比较复杂,不同地域可能差别很大,所以应该根据当地的大气腐蚀数据来选择合适的腐蚀预测模型,才能更好地反映实际情况。根据世界各国关于钢材大气暴露腐蚀试验数据回归分析的结果,认为钢的大气腐蚀深度的发展符合幂函数规律,即:
![]()
式中:D为腐蚀深度,mm;t为暴露时间,a;A、n为常数。A值相当于钢材第1年的腐蚀深度,与环境因素和钢种有关,随着污染程度的增加而增加,取值范围一般在0.02~0.10 mm。n值表示钢材长期腐蚀发展趋势,锈蚀层作为钢的大气腐蚀产物,一般具有保护作用,因此大气腐蚀是一个减缓的过程,一般环境下n为0.4~0.5,极端环境(湿热海洋)可高达0.7~1.5。
2 焊接节点腐蚀疲劳裂纹扩展机理
腐蚀对疲劳的影响主要表现在对疲劳缺口效应的强化及加速裂纹扩展速度。腐蚀环境下构件的耐疲劳性能与未腐蚀构件的耐疲劳性能存在着明显的差异。腐蚀疲劳在实际结构中可以分为两类:I类,腐蚀环境下的疲劳。即结构在腐蚀介质和疲劳载荷共同作用下而发生的疲劳破坏;II类,预腐蚀疲劳。即结构在腐蚀一段时间后再受到疲劳荷载作用而发生的疲劳破坏。钢在不同介质条件下的应力幅(S)-寿命(N)曲线如图1所示。

图1 钢在不同介质条件下的S-N曲线
腐蚀疲劳中存在两种基本的损伤形式:一是循环应力引起的疲劳损伤;二是由环境介质引起的腐蚀损伤,两种损伤不是简单叠加,而是存在明显的交互作用。腐蚀疲劳裂纹萌生机理主要与材料的类型和所处的环境有关,材料相同,环境不同,裂纹萌生机理不同;环境相同,材料不同,裂纹萌生机理也不同。国内外学者对点蚀疲劳裂纹萌生机理进行了系统研究,认为点蚀疲劳损伤过程经历了7个阶段:蚀坑形成、蚀坑增长、蚀坑转变为短裂纹、短裂纹增长、短裂纹转变为长裂纹、长裂纹扩展和断裂。当蚀坑等效表面裂纹的应力强度因子达到了疲劳裂纹扩展应力强度因子门槛值,点蚀扩展速率小于腐蚀疲劳裂纹扩展速率时,点蚀向腐蚀疲劳裂纹转变。既有研究表明:腐蚀深度、点蚀的深径比、局部应力和材料的疲劳裂纹扩展特性是促进裂纹萌生和扩展的关键因素。一般说来,腐蚀坑并不总是形成裂纹的地方,而是有助于裂纹的形成,因为疲劳裂纹总是在最大应力集中的地方形成,腐蚀坑的存在会导致疲劳强度的降低。
腐蚀疲劳裂纹扩展机理主要有:阳极溶解和氢致开裂。阳极溶解指的是交变应力加速内部活化区金属的溶解而导致的断裂,阳极溶解一方面由于腐蚀产物导致裂纹闭合,另一方面使裂纹不断向前扩展,常见于低碳钢、不锈钢等低强度的材料。氢致开裂指的是金属在氢和力的共同作用下裂纹的萌生、扩展和断裂,常见于高强度钢,而对于中等强度的钢,以上两种原因都有可能。根据(da/dN)CF与应力强度因子幅ΔK的关系,把腐蚀疲劳分为3种类型,如图2所示。图中,(da/dN)CF为腐蚀疲劳裂纹扩展速率;(da/dN)F为疲劳裂纹扩展速率。

图2 腐蚀疲劳类型
图2中,A类型(图2a)类似于纯疲劳,适用于不产生应力腐蚀的材料体系,应力腐蚀裂纹扩展应力强度因子界限值大于断裂韧性;B类型(图2b)类似于应力腐蚀疲劳,出现水平台阶,断裂韧性大于应力腐蚀裂纹扩展应力强度因子门槛值KISSCC(1-R);C类型(图2c)是A和B的混合类型。
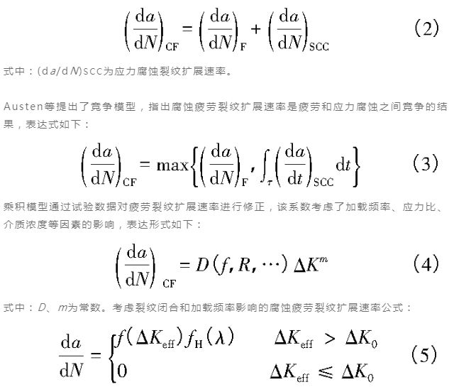
腐蚀疲劳裂纹扩展模型主要分为3种:叠加模型、竞争模型和乘积模型。
Wei等提出了线性叠加模型,当裂纹扩展应力强度因子大于应力腐蚀应力强度因子门槛值时,腐蚀疲劳裂纹扩展速率等于疲劳裂纹扩展速率加上应力腐蚀疲劳裂纹扩展速率,表达式为:

式中:ΔKeff为等效应力幅;fH(λ)为加载频率修正函数;λ为加载频率。
3 焊接节点腐蚀疲劳寿命评估
国内外学者对腐蚀疲劳现象进行了大量的研究和探索,提出了两种主要的腐蚀疲劳寿命预测方法:一种基于S-N曲线和Miner线性累积损伤理论;另一种是基于裂纹扩展速率公式(da/dN)-ΔK曲线的断裂力学理论。
Albrecht等完成A588耐候钢十字形焊接接头腐蚀疲劳对照试验,腐蚀疲劳寿命和纯疲劳寿命相比分别平均降低了40%~50%,暴露面对疲劳寿命的影响不是很显著。Albrecht等提出了确定腐蚀钢梁剩余疲劳强度的方法,该方法考虑了截面面积的损失、水环境和锈蚀坑的应力集中系数。影响腐蚀梁疲劳寿命的因素:1)厚度减小导致截面模量的降低,名义应力增大;2)腐蚀坑附近的应力集中;3)腐蚀环境中的裂纹增长率增加。腐蚀疲劳强度降低系数由以下3个系数决定:截面系数Kc,水环境系数Ke和应力集中系数Kp,表达式为:
截面系数指的是由于腐蚀导致截面面积减小而导致的强度降低系数,表达式为:

李言涛等通过对海上平台用钢板在空气中、海水中和海水中有阴极保护3种条件下的腐蚀疲劳进行研究,结果表明:焊接接头的海水自由腐蚀疲劳寿命为空气中的1/3~1/2,随应力水平的降低差异增大。战昂通过总结腐蚀疲劳相关的文献,借鉴疲劳剩余寿命评估的研究成果,分析腐蚀损伤对疲劳裂纹萌生和扩展的影响,基于断裂力学对疲劳寿命进行评估。Albrecht等完成了A588耐候钢制造的39根焊接梁和12根盖板梁的疲劳试验。试验结果表明:受点蚀影响,经历62~72个月的暴露试验腐蚀后,所有梁的疲劳强度由B级降低到E级。Coca等指出腐蚀和疲劳是引起桥梁性能退化的重要原因,桥梁在遭受腐蚀环境影响的同时,还受到各种不同荷载的作用,认为耦合腐蚀疲劳的寿命比不耦合腐蚀疲劳的寿命小30%。Rahgozar等从3个腐蚀钢梁的腹板和翼缘获得76个标准试件,采用液压伺服疲劳试验机对每个试件进行疲劳试验,通过腐蚀坑深度建立了点蚀和剩余疲劳寿命的定量关系。Garbatov等分析小规模腐蚀钢焊接试件的疲劳强度,对11个腐蚀试件的表面进行分析,采用BS 7910规范中失效评估图将腐蚀坑等效为疲劳裂纹,结果表明:疲劳强度由非腐蚀试件的86 MPa降低到腐蚀试件的65 MPa,非腐蚀试件的疲劳失效是沿着焊趾,而腐蚀试件的疲劳失效均起源于腐蚀坑处。揭志羽对3种不同腐蚀损伤下的45°倾角全熔透承载十字形焊接节点进行疲劳试验,得到不同腐蚀状态下S-N曲线,提出了不同腐蚀深度和应力幅下的腐蚀疲劳寿命影响系数的表达式。
焊接节点腐蚀疲劳本质是电化学过程和力学过程的相互作用,这种相互作用远远超过循环应力和腐蚀介质单独作用的数学叠加,是一种非常严重的破坏形式。与应力腐蚀类似,腐蚀疲劳的机理也是多种多样,没有适用于所有情况的统一理论,同样对于一个腐蚀疲劳体系,也存在多种损伤机理共存的情况。
4 结论
通过对钢桥腐蚀原因及特点、焊接节点腐蚀疲劳裂纹扩展机理及腐蚀疲劳寿命评估方法的归纳总结,可以得出以下结论:
1)腐蚀是一个非常复杂的电化学过程,影响腐蚀的因素很多,因此腐蚀坑形成的位置、形状和大小都具有很大的随机性,定量描述腐蚀程度比较困难,腐蚀坑等效为缺口或者是裂纹还很不明确。根据世界各国关于钢材大气暴露腐蚀试验数据回归分析的结果,认为钢的大气腐蚀深度的发展符合幂函数规律。
2)钢桥焊接节点腐蚀疲劳体现为环境介质和循环应力双重驱动下的裂纹扩展问题,其疲劳破坏模式、疲劳损伤机理、抗疲劳设计等问题更为复杂。腐蚀和疲劳引起的两种损伤不是简单叠加,而是存在明显的交互作用。目前腐蚀疲劳裂纹扩展模型主要包括了叠加模型、竞争模型和乘积模型。
3)既有研究成果表明,耦合腐蚀疲劳的寿命比不耦合腐蚀疲劳的寿命小30%~50%。基于既有腐蚀疲劳试验数据建立的S-N曲线方法和基于裂纹扩展速率腐蚀影响修正(da/dN)-ΔK公式的断裂力学方法常用于钢桥焊接节点腐蚀疲劳寿命评估。
4)与应力腐蚀类似,焊接节点腐蚀疲劳的机理也是多种多样的,没有适用于所有情况的统一理论,同样对于一个腐蚀疲劳体系,也存在多种损伤机理共存的情况。
免责声明:本网站所转载的文字、图片与视频资料版权归原创作者所有,如果涉及侵权,请第一时间联系本网删除。
官方微信
《中国腐蚀与防护网电子期刊》征订启事
- 投稿联系:编辑部
- 电话:010-62316606-806
- 邮箱:fsfhzy666@163.com
- 中国腐蚀与防护网官方QQ群:140808414



