金属的耐腐蚀性是指金属材料抵抗周围介质腐蚀破坏作用的能力,是由材料的成分、化学性能和组织形态等决定的。传统上,具有高耐蚀性的金属或合金具备以下三个条件之一:(1)热力学稳定性高的金属或合金,如Pt、Au、Ag、Cu等以及像Cu中加Au,Ni中加入Cu、Cr等;(2)易于钝化的金属,如Ti、Zr、Ta、Nb、Cr、Al等以及含Cr不锈钢等;(3)表面能生成难溶的和保护性良好的腐蚀产物膜的金属。人们对发展耐蚀材料的认识多停留在宏观、统计和经验的水平上,还远没有达到从微纳米、分子乃至原子尺度去认识材料耐蚀性的水平。实际上,由于金属晶体材料表面各向异性的特征,不同取向的晶面具有不同的表面能和功焓,这将导致微电偶腐蚀的发生,即不同晶向晶面上的阳极溶解反应和阴极析氢反应速度存在差异。受表征手段限制,目前仍无法通过原位观察的手段在这一微观尺度上开展相关研究。然而,目前快速发展的计算材料学为材料耐蚀性的研究提供了一种有效的技术手段,它能够从原子、电子等微观角度精细、快速地计算研究材料本征的腐蚀行为,解析金属腐蚀的内在机制。并且可以在计算材料本征腐蚀行为的基础上,通过构建适当的模型研究合金掺杂及晶体缺陷等对腐蚀的影响,为实验提供一些理论支持。但是在材料腐蚀行为的模拟方面发展较为缓慢,还缺少相应的计算模型和算法。
建立腐蚀的计算模型需要从腐蚀的机理出发。金属在常温下常见的腐蚀方式是电化学腐蚀,其本质为金属在去极化剂的氧化作用下发生溶解生成腐蚀产物的过程。建立电化学腐蚀计算模型需要分别从阳极反应与阴极反应两个方面发展模型与算法,从而解析材料的微观特性与环境因素对腐蚀性能的影响,探索腐蚀机理,为材料耐蚀性的研究建立理论基础。
由中科院金属所柯伟院士、陈星秋研究员、董俊华研究员和马会博士等组成的联合研究小组对此开展了探索性研究。通过分析金属阳极溶解反应过程中动力学过渡态理论(图1所示),建立了金属阳极溶解的计算模型。由于电化学腐蚀过程中,电极材料表面与溶液之间形成双电层,使得金属原子在阳极溶解过程中,不仅需要克服一个化学能垒ΔG,还需要克服电场U做功。这两个参量直接与材料的表面特性,如组织结构、晶粒取向及缺陷等相关联。通过计算建模将阳极溶解过程中反应速率所涉及的化学活化能垒ΔG和电极表面与溶液之间的电势差U分别用第一性原理可以计算的表面能、功函数以及提出的表面能量密度等参量进行表示,建立了材料的表面微观特性与材料本征腐蚀性能间的联系,实现了可以计算电化学极化曲线。利用该阳极溶解计算模型分别计算了纯镁常见的三个表面(0001)、(11-20)和(10-10)的电化学极化曲线(图2所示),与文献中已有的报导符合的很好,揭示了不同晶面之间的各向异性腐蚀行为的本质是表面能量密度及功函数的不同。该工作发表在ActaMaterialia, 130 (2017) ): 137-146。

图1 金属阳极溶解过程示意图。材料表面金属原子的阳极溶解除了克服化学活化能ΔG外,还需要克服电极材料与溶液之间的电场U做功。

图2 阳极溶解模型计算结果与实验的对比。其中(a)和(b)分别是文献中报道的包含不同晶面的镁合金的电化学极化曲线,(c)是利用模型计算的纯镁不同晶面的极化曲线。
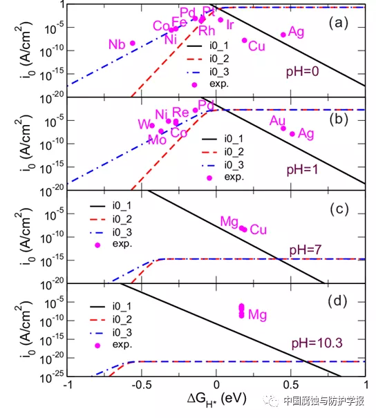
针对电化学腐蚀中的阴极去极化反应,发展建立了阴极析氢反应的第一性原理计算模型(图3所示)。析氢反应是溶液中的氢离子在金属表面得到电子生成氢分子的过程,依反应(Volmer反应、Tafel反应和Heyrowsky反应)的速率控制步骤不同,析氢反应遵循不同的动力学机制。在析氢反应过程中,吸附态的氢原子H*是整个反应的中间产物,其自由能ΔGH*的高低直接影响三个子反应过程的相对反应速率的大小。而氢原子在不同晶面上的吸附自由能与金属材料的成分及晶面取向等表面特性密切相关。另外,氢离子H+作为反应物也会直接影响析氢反应速率的大小。通过分析吸附态氢原子在晶体表面的自由能ΔGH*及溶液中氢离子的浓度(pH值)对三个子反应速率的影响,建立了三种不同析氢反应机制下析氢反应的交换电流密度表达式,明确了析氢反应速率与表面特性及溶液pH之间的联系,进而建立腐蚀过程中的析氢反应计算模型。通过模型计算得到的三种不同机制下析氢反应的交换电流密度与文献中已经报道的不同纯金属的测量值符合很好。该工作发表于ActaMaterialia, 183(2020):377-389。

图3 阴极析氢反应模型计算得到的三种反应机制在不同pH溶液中析氢反应的交换电流密度与吸附态氢原子的自由能ΔGH*之间的关系曲线,并与不同纯金属的实验测量值之间进行对比。
结合阳极溶解与阴极析氢反应的微观模型可以研究材料的电化学腐蚀行为,为研究材料耐蚀性计算模拟和行为预测提供了理论工具。1)利用模型可以研究纯金属一系列晶面的本征电化学腐蚀行为;2)对于多晶的金属材料,可以利用计算模型并结合混合电位理论,将不同晶面进行阴极属性与阳极相属性的分类;3)可以计算研究合金元素对合金电化学腐蚀中阳极溶解及阴极析氢反应速率的影响,从而筛选出能够提高合金耐蚀性的设计方案;4) 利用模型还可以研究金属表面缺陷及组织结构等对材料电化学腐蚀行为的影响。比如文献中发现的实验现象,无论是纯镁还是镁合金在经过变形处理后,晶粒内部孪晶界增多,腐蚀速率会增大,但是内在机制不是很清楚。通过构建镁合金中常见的三个孪晶界的结构模型,并构建表面存在孪晶界的结构进行第一性原理计算,利用模型计算发现三个孪晶界会不同程度地增大纯镁的腐蚀速率(图4所示)。分析其原因,主要是孪晶界的引入增大了表面能量密度。当材料表面存在不均匀的组织结构或者缺陷时,完美表面与组织缺陷之间会由于腐蚀速率的不同形成微观的电偶腐蚀,从而加速缺陷区域的腐蚀速率。该工作发表于Physical Review Materials,3 (2019) : 053806。

图4纯镁金属的完美表面与包含孪晶界表面之间极化曲线的对比。三个孪晶界的引入不同程度地增大了表面的腐蚀电流密度,降低了腐蚀电位。
免责声明:本网站所转载的文字、图片与视频资料版权归原创作者所有,如果涉及侵权,请第一时间联系本网删除。
官方微信
《中国腐蚀与防护网电子期刊》征订启事
- 投稿联系:编辑部
- 电话:010-62316606-806
- 邮箱:fsfhzy666@163.com
- 中国腐蚀与防护网官方QQ群:140808414



