锌白铜凭借其接近于白银般的美丽光泽,被广泛制作成眼镜框架、餐具、硬币等日常用品;其具有的良好的耐腐蚀性能又可以被制成仪表、弹簧以及零部件等。可以说由锌白铜制成的各类产品,深受各行各业的消费者喜爱。但研究[1,2,3,4,5,6,7]表明,Ni会导致人体过敏,特别是对西方人群而言,致敏性十分明显,临床表现为皮炎和湿疹,严重的甚至有致癌的可能。有研究[8,9]提出以Mn代Ni,并研制出了新型的无镍白铜,降低了致敏性,但是无镍白铜的耐腐蚀性能较差,因此,要提高无镍白铜的耐腐蚀性能,同时保持美丽的银白色光泽,仍需要深入研究。
鉴于此,本文采用多种少量、复合加入、互相协同的合金化规则来调整合金元素,在无镍白铜中添加了少量的Sn、Al;研究Sn、Al对此新型无镍白铜的耐腐蚀性能和力学性能的影响,为开发推广新型无镍白铜提供依据。
1 实验方法
采用高频感应电炉,在石墨坩埚中对原材料进行熔炼,覆盖剂为木炭,采用金属型铸造,连续浇注成型,在空气中冷却至室温,其成分见表1。用低速慢走丝电火花线切割机切取试样。
表1 1~7号合金的主要化学成分 (mass fraction / %)

按照GB/T10119-2008对合金试样进行脱锌腐蚀实验[10,11]。脱锌腐蚀结束后,将样品用砂纸打磨、抛光,用金相显微镜标出试样的腐蚀深度;然后用3% (质量分数) FeCl3溶液腐蚀,腐蚀时间为6~8 s,随后沿纵向切开,用JSM-6510LA扫描电镜 (SEM) 观察试样组织和腐蚀形貌。
电化学腐蚀实验是以3.5% (质量分数) NaCl溶液为腐蚀介质,在CHI660D电化学工作站进行线性极化测试,扫描速度为1 mV/s,电位波动控制在±1 mV内。采用三电极体系:铂片为辅助电极、饱和甘汞电极 (SCE) 为参比电极。实验结束后用Origin等软件拟合动电位极化曲线 (Tafel曲线) 来评价试样的耐腐蚀性能。
力学性能检测是根据GB/T228.1-2010采用ZWICK 50KN万能材料试验机,测试其抗拉强度及伸长率,拉伸速度为1 mm/min;采用型号为CK-AH的显微维氏硬度仪,载荷设置为98N,加载时间为10 s,随机测试5个硬度值,最后取平均值作为该合金的硬度。
2 结果与讨论
2.1 无镍白铜的颜色
表2列出了1#~7#合金的色度参数[12,13]。对于无镍白铜而言,工业生产中希望得到高亮度,低红绿色,低黄蓝色的材料。
表2 1~7号合金试样的各颜色指标

从表2可以看出,添加微量的Sn、Al,材料的亮度值、红绿色指标、黄蓝色指标变化幅度很小,因此可以认为,添加微量的Sn、Al对合金试样色度参数的影响不大。
2.2 Sn、Al对白铜耐腐蚀性能的影响
图1为不同含量的Sn、Al合金材料的脱锌腐蚀性能的影响,可以看出,随着Sn、Al含量的增加,脱锌层腐蚀深度均呈下降趋势,并且对于任一合金试样而言,横向腐蚀深度都比纵向腐蚀深度更深。图2是1#、4#、7# 3种具有代表性的合金试样在铸态下的脱锌层的金相照片,从图中可以看出,这3种合金的脱锌层均为层状脱锌,对比发现,1#、4#、7# 3种合金试样脱锌腐蚀后均有孔洞,但是添加Sn、Al后脱锌层的孔洞尺寸很细小,排列很紧密;而未添加微量合金元素的试样孔洞尺寸很大,疏松多孔。这是因为Sn在腐蚀的过程中不断在表面聚集,形成致密的四价锡化合物膜,这层膜具有阻碍基体腐蚀的作用,同时在合金内部阻碍了Zn原子的迁移从而抑制脱锌腐蚀的进行,因此可以大大提高合金的耐腐蚀性[14];而Al的标准电位比Zn低,离子化趋向更大,这使得Al能更快地与腐蚀介质中的O结合生成氧化物,形成一层致密的Al2O3膜附着在白铜表面,该氧化膜可以阻止Zn原子的进一步扩散。

图1 脱锌腐蚀深度随Sn、Al含量的变化
![]()
图2 3种试样在铸态下的脱锌层的金相形貌
各试样的耐腐蚀性能还可以从单位面积失重率这一方面来进行验证。其中1#试样的单位面积失重率为0.317 g·cm-2,加入0.4%Sn、0.6%Sn、0.8%Sn后,单位面积失重率分别为0.216、0.196和0.049 g·cm-2;加入0.3%Al、0.6%Al、0.9%Al后,单位面积失重率分别为0.081、0.056和0.044 g·cm-2。可以看出,添加微量的Sn、Al显著提高了合金的耐腐蚀性能。
图3为1#、4#、7# 3种合金试样的脱锌层横截面经过FeCl3的盐酸水溶液擦拭后的SEM像。从图3可以看出,合金试样表面发生脱锌腐蚀后,会有大量的腐蚀产物 (紫红色粉末状物质) 析出,合金表面呈现出疏松多孔的腐蚀形貌,这是因为无镍白铜主要是α+β的两相组织,脱锌腐蚀过后α相与β相的相界处出现了孔洞和缝隙,α相尺寸增大,而基体β相则呈疏松多孔结构。根据优先溶解机制,Zn的标准电极电位比Cu负很多,所以非常容易发生成分选择性腐蚀,Zn被优先腐蚀,而电势较高的Cu则被留下来,形成疏松多孔的Cu和氧化铜层[15]。其中1#合金试样的腐蚀孔洞长约38 μm,宽约14 μm;4#合金试样的腐蚀孔洞直径在10 μm左右,1#合金试样的腐蚀孔洞长约10 μm,宽约4 μm;从腐蚀出来的孔洞大小也可以看出加入微量的Sn、Al后,合金的耐脱锌腐蚀性能得到了很大的提高。

图3 无镍白铜合金试样脱锌层横截面SEM像
2.3 电化学腐蚀
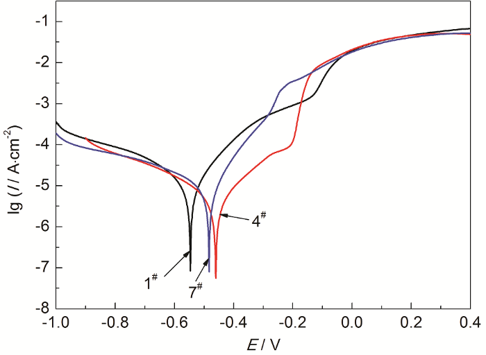
图4为3种合金试样在3.5%NaCl溶液中测得的极化曲线。可以看出,3种合金试样都出现一定的钝化现象,这因为合金表面生成了一层钝化膜,阻碍了合金试样的进一步腐蚀。评价活性溶解材料的耐腐蚀性能的主要参数是腐蚀电流密度Icorr以及自腐蚀电位Ecorr,在极化曲线中可以看到,4#、7#合金试样的自腐蚀电位明显高于1#合金试样,而7#合金试样的腐蚀电流最小,1#、4#较为接近,并且从图4可以看出,加入Sn、Al的合金试样钝化现象更加明显,这足以说明Sn和Al对合金的耐腐蚀性能有一定的影响,能够减缓腐蚀。

图4 3种合金在3.5%NaCl溶液中的极化曲线
为进一步说明材料的耐腐蚀性能,根据图4的极化曲线,在Tafel的强极化区 (位于自然腐蚀电位的100 mV到200 mV处),对这个位置进行Tafel的直线外推法测得阳极、阴极Tafel斜率和腐蚀电流密度Icorr,并采用Stem-Geary[15]方程计算极化电阻Rp:
Rp=βAβC2.3Icorr(βA+βC)
式中,Rp为极化曲线在自腐蚀电位处的斜率;Icorr为自腐蚀电位处对应的腐蚀电流密度;βA和βC分别为阳极和阴极的Tafel斜率[16,17]。由极化曲线测得3种合金试样在3.5%NaCl溶液中的各电化学参数见表3。可以看出,铸态的4#、7#两种合金的开路电位相对于1#逐渐往电位更正的方向偏移,且4#合金试样偏移量更大,因此发生腐蚀的趋势降低;对比1#与4#合金,4#合金的自腐蚀电流密度是1#合金的0.46倍,4#合金的极化电阻为10.039 kΩ,1#合金的极化电阻为3.367 kΩ,4#合金的极化电阻约是1#合金的3倍,这说明Sn添加极大地增加了4#合金的极化电阻,从而降低了合金的腐蚀电流,减缓了腐蚀;对比1#与7#两种合金,可以发现,7#合金的自腐蚀电流密度是1#合金的0.66倍,且7#合金的自腐蚀电位比较高,计算得出的7#合金的的极化电阻为4.690 kΩ,约是1#合金的1.4倍,这说明Al添加也能较好地提高开路电位,从而增大了极化电阻,减缓了腐蚀。
表3 由极化曲线测得的电化学参数

电化学腐蚀试验也从另一方面验证了脱锌腐蚀实验的结果,即合金中添加微量的Sn、Al能够很好地改善合金的耐腐蚀性能。
2.4 力学性能测量
图5,6,7分别为Sn、Al含量对合金试样的显微硬度、抗拉强度以及延伸率的影响。

图5 合金试样显微硬度随Sn、Al含量的变化图

图6 合金试样抗拉强度随Sn、Al含量的变化图

图7 合金试样延伸率随随Sn、Al含量的变化图
从图中可以看出,随着Sn含量的增加,合金硬度值先增大后减小,在0.6%Sn时,HV达到最大,合金抗拉强度也呈先增大后减小的趋势,在0.4%Sn时达到最大,而合金延伸率则是先增大后减小,在0.8%Sn时达到最小;随着Al含量的增加,合金硬度值先增大后减小,在0.6%Al时,HV达到最大,合金抗拉强度则是先减小后逐渐增大,在0.3%Al时达到最小,而合金延伸率也是先减小后增大,在0.3%Al时达到最小。试样呈现出这样的力学性能的原因在于,加入Sn、Al后,合金化程度提高,Sn能与Cu形成固溶体,起到固溶强化的作用,Al加入能显著的细化晶粒,起到细晶强化的作用。总体而言,微量的Sn、Al能一定程度提高合金的硬度和抗拉强度,略微降低合金的延伸率。
3 结论
(1) 无镍白铜中加入微量的Sn、Al后,极大地改善了低镍白铜在CuCl2溶液中的耐脱锌腐蚀能力,能够很好地抑制Zn的优先溶解,脱锌腐蚀深度由原来横向的1142 μm降低到136 μm,纵向的980 μm降低到228 μm。
(2) 无镍白铜中加入微量Sn后,开路电位得到明显提高,电化学阻抗显著增大,耐腐蚀性能提高明显。
(3) 无镍白铜中加入微量Al后,开路电位得到一定提高,电化学阻抗稍稍增大,耐腐蚀性能也得到改善,但没有加入Sn的作用明显。
免责声明:本网站所转载的文字、图片与视频资料版权归原创作者所有,如果涉及侵权,请第一时间联系本网删除。
官方微信
《中国腐蚀与防护网电子期刊》征订启事
- 投稿联系:编辑部
- 电话:010-62316606-806
- 邮箱:fsfhzy666@163.com
- 中国腐蚀与防护网官方QQ群:140808414



