Cu及铜合金因其具有优异的耐蚀性、可加工性、导热性和电导率低等特点,在海洋工程设施中广泛应用[1,2]。在海洋环境中大多数合金遭受由海洋细菌引起的微生物腐蚀 (MIC),目前有大量关于好氧菌对铜合金微生物腐蚀行为的报道[2,3,4,5,6],研究表明样品表面细菌生物膜的附着会影响Cu及其合金的腐蚀。
海洋环境中,船舶等海洋工程设施在移动过程中产生电磁场,影响细菌的生理活动[7,8]和金属材料腐蚀[9,10,11]。磁场通过改变溶液的pH值[12],抑制传质过程[13,14]等方式影响材料的腐蚀。目前研究[15]表明,磁场可以抑制Cu的腐蚀速率,通过延迟表面Cu2O的形成及促进CuCl2-的扩散来影响Cu的腐蚀。另外磁场也会影响微生物的生理活动[16]。一些研究[8]表明,随着时间、温度和磁场强度的增大,细菌的数量及其生存力下降。磁场还会影响细菌生物膜的形成,杀死部分微生物,减缓细菌生长。近年来,研究者们对磁场抑制或去除细菌生物膜的形成很感兴趣,有研究[17]表明低磁场强度 (2~4 mT) 通过控制硫酸盐还原菌 (SRB) 活性降低了304不锈钢的MIC,延迟金属表面上生物膜的形成。磁场抑制铁氧化细菌 (IOB) 的生长且在碳钢表面生成更致密的生物矿化膜[18]。MIC是不同微生物之间相互协同作用的结果,然而实际环境中并不是单一的细菌,细菌群落之间通过群体感应相互作用,这种相互作用在生物膜中尤为明显,会使生物膜的官能团改变,影响细菌分布及产生的生物总量[19]。近年来人们逐渐开始研究多细菌生物膜的作用[20]。目前有研究显示,与铸铁在单个细菌溶液中相比,铜绿假单胞菌和SRB两种细菌共同存在时铸铁的腐蚀速率有所变化,细菌在样品表面吸附的生物膜含量也有所不同[21]。因此,研究混合细菌对材料的腐蚀是很有必要的。虽然已有大量关于磁场对腐蚀行为影响的报道,但是关于在非顺磁性离子溶液中非铁磁电极的磁场效应的研究很少,目前没有关于磁场和混合好氧细菌对纯Cu腐蚀影响的报道。由于其在海洋环境中的大量应用,有必要对其进行研究。
本研究探讨了磁场与混合海洋细菌共同存在的条件下纯Cu的腐蚀规律,通过电化学方法和表面分析技术研究了磁场对于铜微生物腐蚀的影响,为其在工业上的应用打下基础。
1 实验方法
1.1 实验材料
实验所用材料是10 mm×10 mm×5 mm的纯Cu。样品通过240,400,800,1500和2000#的砂纸依次打磨并抛光,随后在无水乙醇中超声清洗5 min清除表面杂质及污染物,用N2吹干备用。实验前将样品置于紫外灯下灭菌30 min。
从舟山海域采集并分离出4种海洋细菌,通过中国海洋微生物菌种保藏管理中心鉴定,分别为弧菌 (Vibrio sp.),威尼斯不动杆菌 (Acinetobacter venetianus),河流弧菌 (Vibrio fluvialis),咸海鲜芽孢杆菌 (Jeotgalibacillus sp.)。细菌在模拟海水中进行富集培养,模拟海水的具体成分为:23.476 g/L NaCl,10.61 g/L MgCl2·6H2O,0.780 g/L CaCl2·6H2O,0.192 g/L NaHCO3,3.917 g/L Na2SO4,0.667 g/L KCl,0.096 g/L KBr,0.026 g/L硼酸,其余为蒸馏水,另外加入3 g/L的鱼粉蛋白胨作为碳氮营养源[22]。用3 mol/L NaOH溶液缓慢调节细菌培养基的pH值至7.7±0.2。随后放入高温高压灭菌锅内灭菌 (加热至121 ℃保温20 min),取出冷却至室温待用。
实验采用的是相互平行的Nd-Fe-B磁铁 (异名磁极相对) 作为静磁场装置,放置于试样两侧,保证试样处于磁场中心,磁场方向与试样表面垂直。由Tesla meter测量磁场强度,实验中所用的磁场强度分别为28和60 mT。
1.2 测试方法
实验采用比浊法测定细菌的生长曲线,利用SpectraMax 190光吸收型酶标仪测定细菌的吸光度 (OD值) 来推知菌液浓度,测量有、无磁场条件下经稀释100倍的混合细菌在模拟海水培养液中生长7 d的OD值,将所测得的OD值与对应的培养时间作图即可绘制出混合细菌的生长曲线。实验中选用的波长是600 nm。
纯Cu样品浸入有/无磁场的含菌海水中10 d后,用超净水清洗,放入戊二醛消毒液中浸泡2 h后,分别用50%,75%和100% (体积分数) 乙醇溶液进行梯度洗脱,N2吹干,在场发射扫描电镜 (FE-SEM,FEIQuanta FEG 250) 下观察样品表面形貌。然后在磷酸缓冲盐溶液 (PBS) 中超声10 min,去除掉表面的生物膜,观察去除生物膜后的表面形貌。Cu表面的腐蚀产物通过Axis Ultra DLD 型X射线光电子能谱仪 (XPS) 进行分析。
利用激光共聚焦显微镜 (CLSM,LeiCa TCS SP5) 观察纯Cu表面细菌的吸附情况。将试样取出后,用3 μL/L 荧光染色剂SYT09 对Cu表面进行染色处理,避光静置20 min,用超净水将表面的染色剂冲洗掉,N2吹干后用CLSM观察。
将10 mm×10 mm×5 mm的块状样品,以10 mm×10 mm作为工作面,非工作面用环氧树脂封涂,背面用Cu导线点焊导出,用于电化学测试。电化学实验仪器为PGSTAT302 Autolab电化学工作站。采用标准的三电极体系:工作电极为纯Cu,参比电极为饱和甘汞电极 (SCE),辅助电极为Pt电极。测量有/无磁场条件下浸泡1,3,5,7和10 d后样品的电化学阻抗谱 (EIS),EIS在自腐蚀电位下测试,激励信号为10 mV的正弦波,测试频率范围为105~10-2 Hz。极化测试扫描范围为相对于开路电位±250 mV,扫描速率为0.2 mV/s。
纯Cu样品浸入有/无磁场的含菌溶液中10 d后,用Fourier变换红外光谱仪 (FTIR,Agilent Cary660) 来分析样品表面吸附的生物膜内特征官能团[23]。红外光谱扫描范围为4000~500 cm-1,扫描次数为64次,分辨率为2 cm-1。
2 结果与讨论
2.1 磁场对细菌生长情况的影响
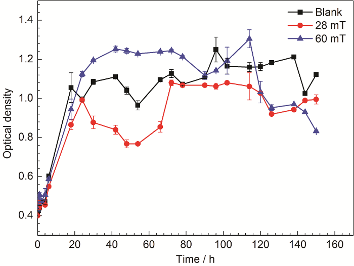
图1为细菌在有/无磁场条件下的生长情况。由于采用的是半连续培养,所以其生长曲线没有典型的对数期、稳定期、衰亡期等特征。如图所示,不同磁场对细菌生长的影响不同。无磁场条件下培养20 h后细菌的生长速度达到最大值,之后保持稳定;28 mT下培养24 h后达到最大值,之后保持稳定,且细菌数量少于无磁场条件;而60 mT下培养40 h后细菌数量达到最大值且数量多于无磁场条件下的,之后变得稳定。

图1 有/无磁场条件下细菌的生长曲线
2.2 磁场条件下纯Cu表面微生物腐蚀形貌分析
样品浸泡在含菌溶液中时,细菌会逐渐吸附在样品表面并分泌胞外分泌物 (EPS),这些分泌物将细菌牢牢吸附在样品表面,形成了微生物从可逆吸附向不可逆吸附的转变,生物膜从游离态向固着态转变,生成特殊的次级代谢产物[24]。图2为纯Cu在不同磁场条件下浸泡不同时间后表面形貌的SEM像。可以看出,纯Cu表面由细菌分泌的代谢产物形成的生物膜和Cu的氧化膜组成,随着时间的延长,样品表面的生物膜会发生剥落;施加磁场后,样品表面生物膜形成和剥落的速度加快,且60 mT比28 mT磁场条件下生物膜形成与剥落的速度更快。

图2 纯Cu在不同磁场强度的含菌溶液中分别浸泡不同时间后的SEM 像
去除掉样品表面的腐蚀产物后 (图3),两种条件下样品表面都发生了点蚀,28 mT磁场条件下无明显变化,而60 mT磁场条件下纯Cu表面更为致密。用CLSM观察点蚀坑的形貌和深度,浸泡10 d后Cu表面有很多点蚀坑,在无磁场条件下点蚀坑的平均深度为4.59 μm,28 mT磁场条件下点蚀坑平均深度为3.47 μm,60 mT磁场条件下点蚀坑平均深度为2.47 μm。这些数据表明,磁场能抑制Cu的腐蚀,磁场强度为60 mT时比28 mT时抑制效果更明显。

图3 纯Cu在不同磁场强度的含菌溶液中浸泡10 d后去除表面腐蚀产物后的SEM像
2.3 磁场对生物膜结构的影响
图4显示了Cu在有/无磁场的含菌溶液中浸泡不同时间后的CLSM图。无磁场条件下,Cu在溶液中浸泡1 d后大量细菌附着在表面上 (图4a);7 d后Cu表面形成均匀的生物膜 (图4d),但大多数细菌已经死亡;在10 d后可以清楚地观察到生物膜持续生长,此时受损细胞的数量显著增加并且生物膜变得不均匀 (图4g)。28 mT磁场下,浸泡1 d后Cu表面附着的细菌数量减少,覆盖有一层均匀的生物膜;7 d后生物膜变得疏松;10 d后样品表面又形成更加均匀的生物膜。60 mT条件下,浸泡1 d后Cu表面形成致密均匀的生物膜;7 d后表面生物膜疏松;浸泡10 d后生成均匀的生物膜。明显可见,磁场可以加快生物膜形成与剥落的速度,且磁场强度为60 mT时铜表面生物膜的附着速率比28 mT条件下的更快,更易形成生物膜。

图4 纯Cu在不同磁场强度的含菌溶液中浸泡不同时间后的CLSM图
生物膜内包含多种物质,如EPS中的多聚糖、蛋白质以及核酸等,测定这些物质在生物膜中的含量和分布是深入了解微生物腐蚀机理的重要步骤,可使用FTIR来分析生物膜的成分。图5为纯Cu在有/无磁场条件下浸泡10 d后表面生物膜的FTIR谱。可以看出,有磁场时官能团对应的峰值强度显著降低。浸泡10 d后,有/无磁场条件下均在3200 cm-1附近 (3700~3300 cm-1为羟基和氨基的叠加吸收区) 有水分子和蛋白质的O—H和N—H的伸缩振动吸收峰[25];2929和2962 cm-1附近对应的是CH2和CH3的伸缩振动峰,表明生物膜结构中存在脂肪酸[26],60 mT磁场条件下该峰消失。在1652 cm-1附近对应蛋白质酰胺Ⅰ带C=O的伸缩振动吸收峰,且有磁场时该峰的强度显著降低,表明磁场条件下该物质含量减少。在1552 cm-1附近对应蛋白质酰胺Ⅱ带的N—H的弯曲振动/C—N的伸缩振动,酰胺Ⅰ和Ⅱ带特征吸收峰的出现说明有/无磁场条件下样品表面均有蛋白质生成。1324 cm-1附近对应的是—O—H键的伸缩振动峰,施加磁场时该峰消失。1249 cm-1附近对应蛋白质酰胺Ⅲ带C=N的伸缩振动吸收峰,60 mT磁场条件下该峰消失。在1118和1124 cm-1附近对应的是C—O的收缩振动峰,表明有多糖类物质存在[27]。在845和855 cm-1附近对应的是α型糖苷键的指纹吸收峰[25]。

图5 Cu在未施加磁场与施加磁场的溶液中浸泡10 d后表面生物膜的FTIR谱
FTIR结果表明,生物膜结构由脂质、蛋白质和碳水化合物组成,但随着磁场的增大,脂质含量减少。相比无磁场条件,磁场强度为28 mT时蛋白质含量降低,碳水化合物含量增多。60 mT条件下生物膜结构有所变化,主要由蛋白质和碳水化合物组成,且相比于无磁场条件蛋白质含量降低,碳水化合物含量增多。磁场对生物膜结构的这些影响可能导致样品表面生物膜的性质发生改变,从而导致Cu在有/无磁场溶液中的耐腐蚀性能产生差异。
2.4 磁场对Cu表面腐蚀产物的影响
为了更好地理解磁场对Cu微生物腐蚀的影响,用XPS对不同条件下Cu的腐蚀产物进行分析。图6为腐蚀产物中的Cu 2p,C 1s,O 1s和N 1s元素的XPS结果。表1是各元素的峰值结合能及其对应成分的具体参数。结果表明,静磁场可以改变铜腐蚀产物的成分。无磁场时,结合能为531.3和530.2 eV O1s峰分别对应的是C—O键和Cu2O[28,29];28 mT条件下,结合能为530.5和529.1 eV的O1s峰分别对应的是Cu2O和CuO;而60 mT磁场中,结合能为532.0和533.2 eV的O1s峰分别对应的是有机官能团C=O和C—O。C 1s用来分析样品表面存在的有机化合物,无磁场时,结合能为283.9,285.4和287.7 eV的C1s峰分别对应的是C=C键,C=N键和C=O/CO2[30,31];28 mT条件下,结合能为282.2,283.7,285.6 eV的C1s峰分别对应的是C—O,C=C和C—N键。60 mT条件下,结合能为285.0,285.8和288.3 eV的C1s峰分别对应的是C—C,C=N键和C—O键。无磁场条件下N1s的两处峰值399.1和400.3 eV对应的是=N—和C—NH2两种官能团[32],28 mT条件下,398.0和399.2 eV峰值对应的是=N—和酰胺中的C—N—C键[27],60 mT条件下401.3 eV峰值对应的是N杂环与铜配位形成的N=Cu。对于Cu,样品表面主要是CuO和Cu2O[15,33,34,35]。

图6 有/无磁场条件下含菌溶液中浸泡10 d 后铜表面腐蚀产物的XPS分析
表1 纯Cu在有/无磁场条件下的溶液中浸泡10 d后表面腐蚀产物的C、O、N和Cu的XPS光谱的拟合参数

C1s,N1s和O1s峰值强度和面积变化起因于Cu表面生物膜成分与厚度的变化。从表1中可看出,有/无磁场条件下各元素含量发生变化,施加磁场后O和Cu含量增大,且含量随着磁场强度增大而增大。施加磁场,溶液溶解氧能力提高,加速Cu的氧化[36],在样品表面形成均匀致密的氧化膜,同时阻止海水中Cl-侵蚀,抑制Cu的腐蚀。有/无磁场条件下,O,C,N峰值处的结合能对应的官能团有所不同,进一步表明磁场影响样品表面生物膜的成分,这与FTIR结果一致。
2.5 微生物环境下磁场对纯Cu电化学腐蚀行为的影响
2.5.1 极化曲线
图7为纯Cu样品在不同磁场强度的溶液中浸泡10 d后的动电位极化曲线,利用Tafel直线外推法得到的电化学参数见表2。从图7和表2可以看出,Cu在有/无磁场的溶液中浸泡10 d后,磁场作用下的样品腐蚀速率降低,自腐蚀电位Ecorr负移,腐蚀电流密度Icorr从无磁场时的1.74 μA/cm-2下降到28 mT时的0.637 μA/cm-2,60 mT的腐蚀电流密度为0.559 μA/cm-2,达到了最低值。这一变化趋势与阻抗图显示的一致,纯Cu耐蚀性增强主要与表面覆盖的生物膜及氧化膜有关[37]。

图7 不同磁场条件下Cu在含菌溶液中浸泡10 d后的极化曲线
表2 Cu在未施加磁场和施加磁场的溶液中浸泡10 d后的极化参数

2.5.2 电化学阻抗谱
图8为纯Cu样品在有/无磁场的溶液中浸泡不同时间后的Nyquist图和Bode图。可以看出,在有/无磁场条件中容抗弧半径随着浸泡时间延长先增大后减少,在3 d达到了最大值;浸泡0~3 d后,容抗弧半径逐渐增大,说明电极表面的吸附平衡偏向吸附[38],这段时间内生物膜逐渐形成起到了保护作用;随着浸泡时间的延长,容抗弧半径逐渐减少,表明膜层发生局部破裂。图9是对阻抗曲线进行拟合后的等效电路图[39,40],其中图9a代表纯Cu在无磁场条件下EIS对应的等效电路,图9b代表纯Cu在磁场条件下EIS对应的等效电路,表3列出了通过拟合得到的电化学参数。其中,Rs代表溶液介质电阻,Rct为电荷转移电阻,Rb代表微生物膜电阻,Rf代表样品表面腐蚀氧化产物电阻,Rp代表样品表面腐蚀产物膜电阻和细菌生物膜电阻。由于样品的不均匀性,在等效电路中用常相位角元件 (CPE) 来代替电容,它的阻抗为:

图8 Cu浸泡在不同磁场强度的含菌溶液中的Nyquist图和Bode图

图9 Cu在有/无磁场条件下的溶液中浸泡10 d后EIS拟合所用等效电路
表3 Cu在未施加磁场和施加磁场的溶液中浸泡不同时间后的电化学阻抗谱拟合参数

CPEdl表示双电层电容,CPEp代表氧化产物和微生物膜电容,CPEf为样品表面腐蚀氧化产物电容,CPEb为微生物膜电容。
表3的电化学参数中,腐蚀初期 (0~3 d),Rct值先增大而后减缓,进一步表明试样表面形成了完整的生物膜而后生物膜剥落,这与CLSM结果一致。从图8和表3中可以看出,存在磁场条件下的容抗弧半径大于无磁场条件下的容抗弧半径,施加磁场后0~3 d Rct值增大,Cu表面腐蚀产物增多,表明磁场通过抑制质量转移过程影响Cu的腐蚀。之后,Rct值减小,主要是由于溶液中Cl-扩散加速传质过程。从图8d~f中也可以看出,有/无磁场条件下最大相位角都随着Cu在溶液中浸泡时间的延长而增大,表明随着浸泡时间延长表面氧化层厚度增大,同时表明氧化层不是抑制Cu腐蚀过程的主要原因。结合阻抗谱和等效电路可以看出,无磁场条件下,存在两个时间常数,纯Cu表面的生物膜和氧化膜共同作用来影响纯Cu的腐蚀;磁场条件下存在3个时间常数,磁场作用下样品表面生物膜形成和剥落的速度加快,在此过程中生物膜会单独影响Cu的腐蚀行为。从Bode图中可看出,与无磁场相比,施加28 mT磁场条件下相位角幅度变大,样品表面的腐蚀产物层增厚,有一定的物理阻隔效应,且相位角峰值向低频区移动,峰值增大,样品表面生成较为完整的生物膜,对样品起保护作用,腐蚀速率降低。施加60 mT磁场条件下,相位角峰值向低频区移动,高频区相位角的峰值增大,样品表面形成由腐蚀产物和生物膜组成的较完整的膜层,对样品起保护作用,腐蚀速率降低。且磁场强度为60 mT时比28 mT时对Cu腐蚀的抑制效果更明显。
磁场通过抑制质量转移过程来抑制Cu的腐蚀,Cu在海水中主要遭受溶解氧和Cl-的侵蚀,反应如下所示:
施加磁场会抑制上述反应,降低Cu的腐蚀速率。且有文献报道施加磁场后溶液中溶解氧能力增大,O2含量增多,加速Cu表面氧化[41]。此时,Cu在海水中的反应为:
样品表面生成更多的Cu2O,这与上述XPS分析的结果一致。施加磁场影响表面生物膜的结构与成分,加速生物膜的形成与剥落,磁场作用下样品表面形成更加均匀致密的生物膜,减少了溶解氧与Cu表面之间的相互作用,使得Cu的腐蚀速率降低。
3 结论
(1) 随着磁场强度的增大,脂质含量降低。无磁场时,生物膜主要由脂质、蛋白质、碳水化合物组成;磁场强度为28 mT条件下,生物膜主要由脂质、蛋白质、碳水化合物组成,但相比于无磁场条件下,蛋白质含量降低,碳水化合物含量增多;磁场强度为60 mT条件下生物膜主要成分是蛋白质和碳水化合物。
(2) 磁场加快Cu表面生物膜形成与剥落的速度,且磁场强度越大,Cu表面形成生物膜的速度越快。
(3) 与未施加磁场比较,纯Cu在施加磁场条件下的Rct值显著提高,腐蚀电位明显负移,腐蚀电流密度减少,表明磁场可以抑制纯Cu在混合海洋细菌环境中的腐蚀,且磁场强度为60 mT时比28 mT对Cu的腐蚀抑制作用更明显。
免责声明:本网站所转载的文字、图片与视频资料版权归原创作者所有,如果涉及侵权,请第一时间联系本网删除。
官方微信
《中国腐蚀与防护网电子期刊》征订启事
- 投稿联系:编辑部
- 电话:010-62316606-806
- 邮箱:fsfhzy666@163.com
- 中国腐蚀与防护网官方QQ群:140808414



