碳钢是油气田采输过程中使用最广的管材。在含CO2的环境中,碳钢非常容易发生腐蚀。目前,CO2腐蚀已经成为石油天然气工业中的一种重要的腐蚀形式,导致了管线和设备腐蚀失效事故的频发,从而造成巨大的经济损失、人员伤亡和环境破坏。干燥的CO2对钢铁没有腐蚀作用,但当CO2溶于水后,在相同的浓度下其总酸度高于盐酸[1],因此其对钢铁的腐蚀性极强。国内外学者普遍认可的均匀腐蚀机理认为钢铁的CO2腐蚀过程可分为化学反应和电化学反应[2]:化学反应过程相对简单,包括 CO2溶于水形成H2CO3的过程、H2CO3一级和二级电离过程以及碳钢溶解形成活化粒子和碳酸盐生成的过程;电化学反应过程包括阳极失去电子被氧化的过程、阴极得到电子被还原的过程和电子传输的过程,但由于CO2在水中会发生水合反应和两级电离,因此腐蚀的中间产物多种多样 (如FeOH[3],Fe(OH)2[4],Fe(HCO3)2[5]和Fe(HCO3)OH[6]),而阴极反应过程也涉及到H+,H2O,H2CO3和HCO3-的还原。而对于局部腐蚀,反应更为复杂,它的产生和发展与钢材的表面状态、腐蚀产物膜的性质以及环境因素有关,反应过程也可能与均匀腐蚀有所不同[7-9]。由于各油田所处的地理位置和环境不同,因此不同的油田采出水的特点也不尽相同。但是不同的采出水之间也存在着一些共同特性。总体上存在以下特点[10],水温基本保持在20~90 ℃,温度相对比较高;油田采出水中的矿化度非常高,高的矿化度容易导致管线腐蚀破裂,给工作处理带来困难甚至发生严重事故。影响管线钢腐蚀的因素有很多,其中首要的因素是温度的影响,温度对管线腐蚀有十分重要的影响,通常来说温度主要是影响材料表面的腐蚀产物膜,进而影响腐蚀速率[11]。众所周知,温度的升高,可以加快腐蚀的化学反应、电化学反应以及传质过程,从而加速腐蚀的发生。但是也不是说腐蚀速率会随着温度升高而一味的升高,在温度升高过程中存在很多转折点。研究人员对此进行了大量的工作,Ikeda等[12]测试了不同温度下碳钢在溶液中的极化曲线,结果表明,温度升高使得阴、阳极电流密度增大。Zhang等[13]对饱和CO2环境中的腐蚀速率进行了研究发现腐蚀速率与温度有很密切的关系。本文通过在不同温度下进行浸泡实验和电化学实验研究了L245钢在模拟油气田采出水环境中的腐蚀行为,并为L245钢在油气田采出水中的合理应用提供参考依据。
1 实验方法
1.1 实验材料的制备
实验材料采用L245钢,其化学成分 (质量分数,%) 为:C 0.135,Si 0.350,Mn 1.350,S 0.007,P 0.015,Fe余量。
浸泡实验采用试片规格为45 mm×10 mm×3 mm (含Φ5 mm的孔),试样表面依次用SiC砂纸逐级打磨至1000#,打磨后的试样依次在去离子水、丙酮和无水乙醇中超声辅助清洗5 min,吹干备用。电化学测试试样为直径15 mm、厚3 mm的圆柱形电极,试样背面用锡焊连接Cu导线,用环氧树脂封样后,依次用金相砂纸逐级打磨至1000#,然后用去离子水冲洗,用丙酮清洗除油,用无水乙醇清洗后,吹干备用。实验介质为164.79 g/L的NaCl溶液。实验前向溶液中通高纯氩气90 min除氧,然后向溶液中通入CO2大约60 min后放入试样,整个实验中持续通入CO2以保证CO2始终保持饱和状态,以模拟Cl-含量较高以及CO2饱和状况下的油气田模拟水。实验中用水浴锅对模拟溶液进行恒温加热并保温。温度分别设定为30,60和90 ℃。
1.2 浸泡实验失重处理
将浸泡240 h后的试样从模拟溶液中取出后用水冲洗,放入酸清洗液中超声辅助清洗5 min。酸清洗液的基本要求为:(1) 应能全部除去试片上的腐蚀产物沉积物;(2) 原则上是既能迅速、顺利地去除试片上的沉积物,又能基本上不侵蚀金属本体。酸清洗液的配比:盐酸100 mL,六次甲基四胺10 g,加水至1 L,取出后用无水乙醇超声脱水,吹干后放入干燥器中,8 h后用Sartorius TE124S天平 (精度0.1 mg) 进行称重,每个条件下对3个平行样分别称重,结果取平均值。
1.3 电化学测量
采用三电极体系,在PGSTAT100N型电化学工作站上进行电化学实验。工作电极为L245钢试样,参比电极为饱和甘汞电极 (SCE),辅助电极为Pt片,溶液体积为1000 mL。实验溶液用CO2除氧2 h至饱和。实验温度分别为30,60和90 ℃,压力为常压。动电位极化曲线的扫描速率为0.33 mV/s,扫描电位范围为±250 mV (相对于开路电位),并对曲线进行拟合。电化学阻抗谱的测试频率为105~5×10-3 Hz,交流激励信号为幅值为±5 mV的正弦波。
1.4 腐蚀形貌分析
采用FEI-2000型扫描电子显微镜 (SEM) 对浸泡实验后的试样进行腐蚀形貌观察。
2 结果与讨论
2.1 失重实验
图1为L245钢在不同温度的油气田模拟水中浸泡10 d后的腐蚀速率。可以看出,随着温度的升高,L245钢的腐蚀速率逐渐加快,说明温度升高加快了腐蚀。
图1 L245钢在不同温度油气田模拟采出水中浸泡10 d后的腐蚀速率
2.2 电化学测试
2.2.1 动电位极化曲线测试结果 图2为L245钢在不同温度下的动电位极化曲线,表1是各极化曲线的电化学参数拟合结果。从图2中可以看出,当温度升高时,L245钢的自腐蚀电位正移,整体处于活化溶解状态。从表2可以看出,随着温度升高L245钢的腐蚀电流逐步增大,腐蚀速率不断加快。当温度升高至90 ℃时自腐蚀电流升高到177 μAcm-2,远远大于其余两个温度条件下的自腐蚀电流,说明L245钢在高温下反应比较剧烈。同时通过表2可以看出,随着温度的升高ba的变化不大,而bc的变化较大,说明温度升高对阳极反应影响较小,而对阴极反应影响较大,从而可知腐蚀反应过程主要由阴极控制。
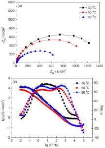
2.2.2 电化学阻抗测量结果 图3为L245钢在不同温度下的Nyquist图和Bode图。可以看出随着温度的升高,L245钢的容抗弧不断减小,从Bode图中可以看出,温度升高相位角峰向高频移动,说明L245钢的抗腐蚀性随着温度升高逐渐减弱,说明温度的升高减小了腐蚀反应的阻力,导致腐蚀速率增加,这一结果与极化曲线的结果一致。
对以上电化学阻抗结果进行等效电路拟合 (图4),拟合结果如表2所示。其中,Rs为溶液电阻,Cd为电化学反应电容,Rt为电荷转移电阻,Q为腐蚀产物膜电容,Rf为电极表面腐蚀产物膜电阻。从表2可以看出,随着温度的升高,Rt减小,腐蚀速率增加。

图2 L245钢在不同温度油气田模拟水中的动电位极化曲线

图3 L245钢在不同温度的油气田模拟水中的Nyquist图和Bode图

图4 L245钢在不同温度的油气田模拟水中电化学阻抗等效拟合电路
表1 L245钢在不同温度的油气田采出水中极化曲线拟合结果

表2 L245钢在模拟油田采出水中不同温度下电化学阻抗拟合所得电化学参数

2.3 腐蚀表面形貌结果
图5是L245钢在不同温度下的油气田模拟水中浸泡10 d后表面的SEM像。可以看出,在3个温度条件下分别发生了均匀腐蚀和局部腐蚀。30 ℃时均匀腐蚀的膜层产物较少,腐蚀类型为均匀腐蚀。当温度升高到60 ℃时,腐蚀形貌发生显著变化,L245钢表面发生局部腐蚀。温度升高至90 ℃时,腐蚀产物增多,局部腐蚀数量增加。
图5 L245钢在不同温度的模拟油田采出水中浸泡10 d后的腐蚀形貌
2.4 分析与讨论
在油气田采出水的腐蚀过程中,腐蚀反应[14]如下:
温度主要是影响材料表面腐蚀产物膜的化学组成和厚度[15],进而影响腐蚀速率。在饱和CO2环境下,腐蚀反应主要由阴极反应来控制整个反应速度[16],通过动电位极化曲线发现温度升高加快了阴极反应速度,使整个腐蚀反应越来越剧烈。在腐蚀开始阶段,Fe不断发生阳极溶解,反应表面附近Fe2+浓度较高,反应表面会生成一层疏松的腐蚀产物膜,在常温下Cl-的存在降低了CO2的溶解度[17]使碳钢的腐蚀速率降低,温度升高使腐蚀速率增加生成疏松的FeCO3,随着反应时间推移腐蚀产物膜逐渐累积,当局部腐蚀产物膜累积到一定程度后产生内应力使腐蚀产物开裂,从而使半径较小的Cl-通过裂缝进入内部发生局部腐蚀。
3 结论
(1) 温度对L245钢的CO2腐蚀有显著影响,在低温阶段 (≤90 ℃),腐蚀速率随着温度的升高而加快。
(2) 常温下 (30 ℃) L245钢的CO2腐蚀主要为均匀腐蚀,当温度升高至60 ℃开始发生局部腐蚀,局部腐蚀反应随着温度升高而加剧。
The authors have declared that no competing interests exist.
免责声明:本网站所转载的文字、图片与视频资料版权归原创作者所有,如果涉及侵权,请第一时间联系本网删除。
官方微信
《中国腐蚀与防护网电子期刊》征订启事
- 投稿联系:编辑部
- 电话:010-62316606-806
- 邮箱:fsfhzy666@163.com
- 中国腐蚀与防护网官方QQ群:140808414



