从2003年起,我国开始兴建战略石油储备基地,包括镇海、舟山、黄岛和大连4个地上石油储备基地,总规模1640万立方米,可储原油约1400万吨。2008年11月,库容达2680万立方米的石油储备二期工程规划完毕[1]。目前,中国战略石油储备三期工程也正在规划中。到2020年整个石油储备项目一旦完成,我国的石油储备能力将提升到约8500万吨,约9905万立方米。按照每个储备库均采用10万立方米储罐计算,仅一期工程建成的储罐数量多达164个,到2020年整个石油储备项目完成,全国各储备基地的大型原油储罐数量将多达900多个。
虽然储罐的设计寿命为20~40 a,然而,储罐在服役几年后常常因腐蚀而提前失效[2]。因此,伴随储罐规模和数量的提高,原油在长期存储过程中,因储罐泄漏引发的漏油和安全事故将会增多。根据美国工程师协会 (API) 的数据,大约有19%油品泄漏是由腐蚀造成的[2]。Shuai等[3]通过声发射对原油储罐进行风险评估,结果显示原油储罐的罐壁腐蚀风险几乎可以忽略,而风险主要来自于罐底板的腐蚀。LASTFIRE项目组[4]对1984~2011年间的储罐事故调查显示,在导致储罐事故发生的已知原因中,储罐底板腐蚀是最重要的原因。而在中国发生的储罐事故中也多与底板腐蚀有关。2007年4月,江汉油田罐区内的3万立方米原油拱顶罐内底板发生泄漏,经过现场勘察和分析,储罐内底板存在多处腐蚀泄漏点,有的是穿孔,穿孔直径为6~100 mm[5,6]。兰州炼油厂24#储罐存储的是青海原油,在投用11 a后出现腐蚀穿孔现象[7,8]。此外,研究人员等[6,9]也指出当储罐发生严重腐蚀时,仅3~4 a罐底就会穿孔破坏。储罐底板一旦腐蚀穿孔就会导致原油的泄漏,由于初期渗漏量小,不易被发现,渗漏的油品可进入地下,这不仅会对环境产生污染,甚至还会随油品渗漏量的积累导致火灾和人员伤亡等事故。
然而,原油是由不同的碳氢化合物混合组成的混合物。原油中的大多数有机物对金属或者合金没有腐蚀性,甚至一些有机物通过吸附在金属表面,改变腐蚀产物并形成一层有效的保护层,从而阻碍腐蚀的发生[8]。然而,原油在长时间存储过程中,通常会有水沉积在罐底。这些水来自原油形成的自然地质过程、开采过程,运输和存储过程中的压舱水和雨水等[9]。水中含有形成无机盐的大量金属和非金属离子,导致原油中高盐度水的存在[10]。这些盐水以乳化液形式存在于原油中。因此,溶解在水中的无机盐、硫化氢、含氮有机化合物、氧分子、S、少量的金属、固体颗粒,以及pH值,温度和压力等因素,会通过不同的方式控制着腐蚀过程[11]。在大多数原油中,无机氯盐要么溶解在原油的水中,要么以固体形式存在于原油中。通常这些无机盐氯盐为NaCl、MgCl2和CaCl2[8,12]。因此,这些原油沉积水具有较强的腐蚀性。Wang等[13]对油-卤水混合物中的碳钢腐蚀进行研究,发现当水以水滴形式从油水混合中首先沉积到碳钢表面时,腐蚀才会发生。Larsen[14]也证明了只有当输油管道中的水与管道底部直接接触才会发生腐蚀。Liu等[15]对吐哈油田进行调查,发现输油管道底部经常发生腐蚀穿孔。因此,原油中存在的水是腐蚀发生的首要条件。
然而,沉积水中影响腐蚀因素较为复杂。在以往的研究中,对油田管线的腐蚀研究较多[16-19],而针对原油储罐的底板腐蚀研究却较少[20,21],多数研究是从理论分析评价、模型预测、建议措施入手[22-29]。因此,加强对原油储罐在沉积水中腐蚀研究,找出造成腐蚀的关键所在,对提出经济合理的防腐方案,以减小泄漏事故的发生具有重要的意义。本文对原油储罐罐底沉积水的离子组成进行分析,此外,为了减少其它因素对腐蚀过程的影响,采用人工配制的原油沉积水,并分别研究Cl-、温度和pH值对Q235B碳钢的腐蚀影响。这对了解原油储罐的底板腐蚀破坏具有重要的意义。
1实验方法
1.1 沉积水的取样和分析
沉积水的采集和保存按照GB/T 5750.2-2006标准进行,在实验前,选用带螺纹密封盖的塑料瓶作为采样容器。用水和洗涤剂清洗塑料瓶,以除去灰尘和油污,再用自来水冲洗干净,然后用10% (质量分数) 的盐酸浸泡10 h后取出,再次用自来水漂洗干净。最后用蒸馏水充分荡涤3次后,置于干燥箱中充分干燥后留用。从青岛、上海和宁波3个不同区域的原油储罐中选取7个储罐作为采样对象。水样从储罐底部的排水阀采集,采集前,先打开排水阀放水5 min后,将容器与排水管连接,待水灌满后迅速密封采样瓶,并贴上标签。采样瓶在运输到实验室的过程中,应防止震动、碰撞而导致损失和玷污。
从现场取回来的实验样品为含有原油的水样,静止一段时间后,原油上浮,并取油层下清澈的水样进行检测,并根据国标GB/T 8538-2008,用离子色谱 (ICS-600) 和电感耦合等离子体发射光谱仪 (ICP-OES,PQ9000) 对清澈的水样进行阴、阳离子的成分和含量进行测试。沉积水中主要阴离子为Cl-,其质量浓度可以高达30411 mgL-1;主要的阳离子为Na+,其质量浓度最高可达15844 mgL-1。此外,还有Ca2+,Mg2+,K+,NO3-,SO42-,HCO3-等,但质量浓度均小于Na+和Cl-。由此可知,原油沉积水中以氯盐为主。实验前,在沉积水中通入N2除氧30 min,在整个实验过程中都保持N2的通入状态,以达到无氧的实验环境。
1.2 电化学测试
测试采用三电极体系,Pt网电极 (15 mm×15 mm) 作对电极,含饱和KCl的Ag/AgCl电极作参比电极,实验所用丝束电极的电极丝由直径为1.5 mm的Q235B钢丝组成。每个电极所用电极丝均为100 根,固定成10行、10列的规则电极阵列,保持电极丝之间的横向和纵向间隔均为1.0 mm,如图1a进行阵列编号。电极丝之间彼此绝缘,并分别用导线焊接后连接至开关。电极阵列经环氧树脂封装后作为工作电极。丝束电极的工作面积约1.77 cm2。实验前试样工作面依次用400#,800#和1200# SiC砂纸逐级打磨,然后用去离子水清洗,丙酮除油,并用N2吹干,放入干燥器中备用。

图1 10×10电极阵列及在模拟储罐底部沉积水环境下三电极测试腐蚀行为示意图
电化学阻抗 (EIS) 和极化曲线由Gamry3000电化学工作站进行测试。EIS是在开路电位 (OCP) 下测试,其频率范围为105~10-2 Hz,扰动信号为±5 mV的正弦波。EIS测试结果用ZSimpWin进行数据拟合分析。极化曲线在电位稳定后开始测量,电位范围自腐蚀电位为±250 mV,扫描速率为0.1667 mV/s。所有的电化学测试都在恒温 (30±1) ℃进行。
1.3 腐蚀挂片
挂片试样选用30 mm×15 mm×2 mm的Q235B碳钢,距离试样边缘预留直径为2 mm的小孔。实验前,用SiC砂纸打磨试样至1200#,然后用去离子水冲洗干净后,再用丙酮清洗表面,并用冷风吹干,置于干燥器中备用。实验完成后,根据ISO8407标准,将碳钢放入500 mL (HCl(密度为1.19 g/cm3)+3.5 g六次甲基四胺+去离子水) 清洗液中进行清洗。在25 ℃下,直至碳钢表面腐蚀产物去除后,用大量的去离子水冲洗干净,无水乙醇脱水,干燥后称重。腐蚀失重来自3个平行试样的平均腐蚀失重,计算公式如下:
VAve=△wS×T(1)
其中,VAve为平均腐蚀速率 (mgcm-2d-1),△w为腐蚀失重 (mg),S为样品表面积 (cm2),T为腐蚀时间(d)。
1.4 形貌和成分分析
使用扫描电镜 (SEM,HitachS3400N,20 keV) 观察样品表面腐蚀产物形貌和去除腐蚀产物后的样品表面形貌。将处理完毕的样品固定于样品台上,精确测量高度后,放入样品仓。在样品仓打开的状态下,选择合适的尺寸和高度进行操作,等样品台停止上升后,确认样品不能碰到样品仓口的限高片,平稳推入样品台,确认样品室已高真空,再进行样品形貌观察等操作。使用能谱仪 (EDS,XL-30) 分析腐蚀产物成分。3D光学显微镜用于分析样品表面形貌和腐蚀坑的深度。
2 结果与讨论
2.1 腐蚀形貌和腐蚀产物
Q235B碳钢在沉积水中浸泡35 d过程中,其表面腐蚀产物形貌如图2所示。在第7 d时,碳钢的表面被许多小的块状沉积物所覆盖,沉积物散落地分布在碳钢基体表面,沉积物之间存在一定的空隙,空隙下方裸露出碳钢基体表面。当浸泡至35 d时,碳钢表面被更多的沉积物所覆盖,并且沉积物本身受到一定的破坏,出现较多的蜂窝状小孔。图3为除去碳钢表面腐蚀产物后的腐蚀形貌SEM像。可以看出,碳钢表面有较多的腐蚀坑。腐蚀坑的数量和深度随着时间的增加明显地增大。图4显示Q235碳钢在沉积水中浸泡35 d过程中,腐蚀失重随着时间的增加而增大。这也说明局部腐蚀程度随着时间的增加而变得越来越严重。因此,随着时间的增加碳钢在沉积水中会发生严重的点蚀破坏。

图2 在原油沉积水中浸泡不同时间过程中,Q235B碳钢的腐蚀产物形貌SEM像

图3 在原油沉积水中浸泡不同时间过程中, Q235B碳钢表面除去腐蚀产物后的腐蚀形貌SEM像

图4 Q235B碳钢在沉积水中浸泡35 d过程中腐蚀失重随时间的变化
为了解腐蚀产物的组成,图5给出了在浸泡第35 d时腐蚀产物的EDS分析结果。主要含Ca,C,O和少量的Fe。图6为在沉积水中浸泡35 d时碳钢表面XRD谱。进一步分析可知,沉积产物主要含有CaCO3。水的腐蚀能力的大小取决于水沉积CaCO3膜的能力[30],形成一层CaCO3是一种行之有效的防腐保护膜,可以使金属表面不直接和水中的有害物质接触,抑止腐蚀反应过程,从而减缓腐蚀。然而在本文中,CaCO3并不能有效的阻碍碳钢的腐蚀,反而能加速CaCO3下碳钢的腐蚀。此外,沉积水中含有大量的Cl-,由于Cl-体积小、穿透能力强,可以很容易地通过沉积物的缺陷到达碳钢的表面,从而随着时间的增加引发沉积物下更多的点蚀[31]。碳钢在富含Cl-的盐水中广泛存在着蚀孔的自催化效应,从而加深点蚀坑的深度[32]。

图5 碳钢在沉积水中浸泡第35 d时,碳钢表面局部腐蚀产物的SEM像及EDS测试结果

图6 在沉积水中浸泡第35 d时,碳钢表面沉积物的XRD谱
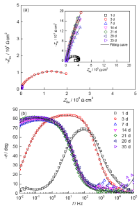
2.2 EIS测试
碳钢在沉积水中浸泡不同时间的阻抗变化如图7所示。随着时间的增加,Nyquist图的半径先增大后减小,这表明在起始阶段腐蚀受到CaCO3沉积物的阻碍,阻抗增大。然而在长时间浸泡后阻抗值减小,说明碳钢表面的沉积物在长时间浸泡后,并不能对碳钢起到保护作用,反而使碳钢的腐蚀速率增大。随着时间的增加,Bode-angle的最大相位角变宽,且逐渐向低频区偏移。阻抗频率较低,则可测出样品表面更深处的腐蚀信息。因此,随着CaCO3结垢下点蚀的发生和发展以及点蚀坑深度的变大,Bode图中的最大相位角的频率会向更低频处偏移。

图7 Q235B钢试样在原油沉积水中浸泡35 d过程中的EIS图
用含两个时间常数的等效电路 (图8) 拟合EIS图,其中,Rs为溶液电阻,CEPf为产物膜电容,Rf为产物膜电阻,Qdl为双电层电容,Rct为电荷转移电阻。其拟合结果如图7所示,拟合曲线与实验点的吻合较好,因此选择的等效电路图符合要求。从拟合结果得出电荷转移电阻Rct,而当拟合时间常数有两个或两个以上时,用1/Rp来代表腐蚀速率变化会带来更大的误差[33]。因此,在本文中,用1/Rct来代替1/Rp会得到更为准确的腐蚀速率变化信息。1/Rct与腐蚀速率变化成正比,1/Rct的变化如图9所示,可知腐蚀速率随着浸泡时间的延长先减小后增大,这也证明了碳钢表面的沉积物在长时间浸泡后,不但不能给碳钢提供保护作用,而且还能加速碳钢的腐蚀。

图8 Q235B碳钢在沉积水中浸泡不同时间后的EIS拟合等效电路图

图9 在原油沉积水中浸泡35 d过程中腐蚀速率1/Rct与时间的关系
2.3 电极表面电位电流分布
图10显示丝束电极 (WBE) 在沉积水中浸泡不同时间后的表面电位分布图。在第1 d时,阴极电流几乎分布在整个电极表面,只是局部 (1,10) 点存在较大的阳极电流峰,这说明在第1 d时就产生了大阴极小阳极,加速局部腐蚀破坏;当浸泡至第7 d时,WBE表面的最高电位和最低电位差值仅为2 mV,电位分布相对均匀;相对均匀的阳极电流分布整个电极表面,且最大阳极电流值为0.40 mA/cm2,这说明在第7 d时,由于沉积物的影响,阻碍了局部腐蚀的进一步发生。CaCO3易在腐蚀电池的阴极部位形成结垢膜,阴极产生的OH-与HCO3-反应生成CO32-,CO32-与Ca2+反应生成沉积在阴极部位的沉淀CaCO3,因此在7 d浸泡过程中,由于发生大阴极小阳极反应,阳极反应区面积相对较小,而在更大的阴极面积上生成的CaCO3沉积物可能会向外延伸,进而覆盖住阳极部位,局部腐蚀逐步受到沉积物的阻碍,电流分布趋于均匀,同时腐蚀速率在7 d内逐渐递减。

图10 在不同时间下丝束电极表面电位和电流分布图
从第7~21 d时,最高电位和最低电位的差值逐渐增大,当到第21 d时,电位差值最高达到10 mV,最大阳极电流值升至11 mA/cm2,在 (4,3) 点出现大阴极小阳极的腐蚀,导致碳钢表面局部腐蚀加速破坏。然而到了第35 d时,最大电位差却降至2 mV,对应的最大阳极电流降至0.55 mA/cm2,此时电极表面几乎完全为阳极电流区。腐蚀速率在第21 d后逐渐增大,表明CaCO3沉积物在21 d后完全失去对碳钢基体的保护,此时沉积水中Cl-更容易侵入至碳钢基体表面,加速沉积物下碳钢的腐蚀。因此,在实验后期过程中整个电极表面呈现出阳极电流。
为了进一步表征局部腐蚀分布特性,Dong等[34]用局部腐蚀因子 (LF) 来表征WBE表面腐蚀的非均匀性。
其中,I aj和I ci分别代表某一时刻WBE表面属阳极区或阴极区的任一单电极的偶接电流值;Nc/Na表示WBE表面某一时刻的阴极区与阳极区的单电极数量之比。LF反映了WBE表面全部阳极电流与全部阴极电流的均方根之比,其值越大表明阳极电流越集中,腐蚀局部化程度越高。因此发生局部腐蚀时,WBE的电流分布呈阳极区域面积小但电流大,阴极区面积大但电流小的特征,表明局部腐蚀具有阳极电流分布集中且幅值大的特点,所以LF值也较大。由图10可知,在第7和14 d时,LF值相对较小,说明整个电极表面的腐蚀过程受到阻碍。但在14 d以后,LF却突然增大,表现为阳极电流较为集中,这表明局部腐蚀开始发生。然而,腐蚀速率也在第21 d时开始增大。因此,在第21 d时,沉积物开始失去对碳钢基体的保护,腐蚀性离子更容易穿过沉积物层达到基体表面,从而引发碳钢基体的局部腐蚀。虽然在第35 d时,LF值变小,这说明腐蚀性离子的全面入侵导致阳极电流较为均匀地分布在金属表面上。
2.4 沉积水下的碳钢腐蚀机理
在无氧条件下,在沉积物的中心和边缘处不会出现明显的阴阳极分离现象,沉积物下应该发生较为明显的均匀腐蚀。然而,当有少量的氧存在时,就会在沉积物下发生明显的阴阳极分离现象[35]。沉积物中心处为阳极区,发生了阳极反应:
而处在沉积物边缘区为阴极区,发生了阴极反应:
反应式 (4) 和 (5) 促使CO32-的形成,进而与沉积水中Ca2+结合形成CaCO3沉积物,覆盖在样品的表面上[32]。
在一般情况下,Fe在含有Cl-的溶液中会发生较为严重的腐蚀。当有CaCO3沉积物存在时,由于CaCO3的绝缘性和对腐蚀性离子的阻隔效应,腐蚀过程可能会被阻碍。如果在除氧的溶液中发生腐蚀,腐蚀速率将会以较低的均匀腐蚀为主。然而,在本文中,局部腐蚀主要发生在沉积物下方的碳钢表面上。因为沉积水中含有大量的Cl-,其半径较小,穿透力强,很容易穿过有缺陷的沉积物层到达金属表面。一旦Cl-达到沉积物下,很容易造成局部点蚀的发生。图12为在原油沉积水中沉积物下的腐蚀机理。在步骤1中,在沉积物下方会发生阴阳极分离,沉积物中心和周围区域分别为阳极区和阴极区。在步骤2中,随着点蚀孔的生长,生成的Fe2+进一步的水解,将会导致点蚀孔环境酸化,加速点蚀的生长。同时,由于CaCO3沉积物的阻挡,Fe2+的水解形成的不溶性腐蚀产物难以扩散出去并沉积在局部区域。然而,点蚀的起始也与金属中的各种非金属夹杂物相关[36,37]。因此,腐蚀产物的沉积区域有利于点蚀的发生。在步骤3中,新的点蚀起始就会发生在沉积物下方。随着新点蚀的起始和发展,新旧点蚀坑会发生融合,从而导致点蚀面积的扩大。

图11 在原油丝束电极表面局部腐蚀因子 (LF) 随时间的变化

图12 在沉积水中浸泡35 d后Q235B碳钢腐蚀机理图
3 结论
(1) 在35 d浸泡过程中,Q235B碳钢表面被一层CaCO3沉积物覆盖,当去除CaCO3沉积物后,碳钢表面有较多的腐蚀坑,说明CaCO3沉积物的存在并不能对碳钢基体起到较好的保护作用。
(2) 腐蚀起始阶段受到CaCO3沉积物的阻碍,阻抗增大,而长时间浸泡以后,腐蚀速率逐渐增大,证明了碳钢表面的CaCO3沉积物在长时间浸泡后,不但不能给碳钢提供保护作用,而且还能加速碳钢的腐蚀。
(3) 用局部腐蚀因子LF对丝束电极的电流分布信号分析表面,到实验后期,腐蚀性离子已全面入侵至碳钢表面,导致阳极电流较为均匀地分布在碳钢的表面上。
(4) 对腐蚀机理分析表明,CaCO3沉积物的存在可以加速沉积物下方点蚀的发生和发展,因此点蚀在整个实验过程中随浸泡时间的延长变得越来越严重。
The authors have declared that no competing interests exist.
免责声明:本网站所转载的文字、图片与视频资料版权归原创作者所有,如果涉及侵权,请第一时间联系本网删除。
官方微信
《中国腐蚀与防护网电子期刊》征订启事
- 投稿联系:编辑部
- 电话:010-62316606-806
- 邮箱:fsfhzy666@163.com
- 中国腐蚀与防护网官方QQ群:140808414



