沿海地区是我国大规模经济建设的集中地区。然而,由于海水和海洋气候等腐蚀环境的影响,沿海地区的钢筋混凝土结构易受到Cl-侵蚀,从而出现钢筋锈蚀,造成重大的经济损失[1]。目前,国内外诸多研究和工程实践已证实,对既有钢筋混凝土结构进行电化学修复可有效除去Cl-,延长结构的使用寿命[2]。然而,电化学修复是一个复杂的电化学过程,在消除Cl-同时,一定程度上会对钢筋混凝土初始状态产生不利影响[3-5]。我国交通运输部于2012年颁布的《海港工程钢筋混凝土结构电化学防腐技术规范》 (JTS153-2-2012) [6]中指出:“若保护电流密度过大,会降低钢筋与混凝土之间的附着强度,促进混凝土碱活性骨料发生膨胀反应,损伤混凝土。对于预应力筋,会发生析氢反应,使钢筋氢脆。”混凝土构件中钢筋发生氢脆将会导致钢筋的延性降低,长时间电化学修复最终导致钢筋混凝土结构发生毫无征兆的脆性破坏,造成生命财产损失。将电化学修复技术应用于梁式混凝土构件或预应力构件时,如何控制及避免钢筋氢脆的发生,是目前电化学修复得以广泛应用的主要技术瓶颈,也是目前国内外学术和工程界关注的热点问题。
发生析氢反应是电化学修复中钢筋氢脆的前提条件,防止氢脆发生最有效的方法是控制电化学修复中电流密度低于临界析氢电流密度。因此,确定钢筋析氢反应发生的临界值是开展钢筋析氢控制的重要基础。
目前,对于析氢电流密度确定,已有学者给出以下几种方法。文献[7]通过收集受Cl-污染的混凝土在电化学除氯时阴极附近产生的气体,研究了电化学除氯时钢筋表面发生的电极反应。结果表明,当电流密度为0.37 A/m2时,析氢反应开始发生,即0.37 A/m2为析氢反应的临界电流密度。但是该方法操作较为复杂,测试时间长,临界析氢电位的准确性受周围环境和实验装置的影响较大。文献[8]测定了海水中907钢的动极化曲线。结果表明,对于海水中的907钢,在析氢反应发生的临界位置极化曲线会有明显的拐点出现,该拐点可作为判断析氢反应发生的依据。
文献[9]采用阴极极化曲线测定了X80钢及其焊接热影响区模拟试样析氢反应的析氢电位。结果表明,阴极曲线上有多个明显的拐点,第二个拐点对应的电位是析氢起始电位,析氢电位大致为-1 V。在上述文献[8,9]中,测试体系简单,可以获得较为理想的结果。然而,对于成分较为复杂的钢筋混凝土结构,其动极化曲线并未发现明显的拐点,用动极化曲线直接判定是否发生氢脆不可行。
本文拟在测定钢筋混凝土试件的阴极极化曲线之后,通过对极化曲线一阶微分分析来确定钢筋的临界析氢电位及相应的极化电流密度,再采用稳态测量方法[10]对试件进行测试,从而获得稳态下钢筋析氢的临界电流密度值。
1 测试原理
在电极系统中伴随着两个非同类导体之间的电荷转移而在两相界面上发生的化学反应,称之为电极反应[10]。一个原电池系统由阴极和阳极两个电极反应构成。在单个电极反应中,既有遵循化学反应基本原理的反应物质的化学变化,又有电荷穿越电子导体相和离子导体相两个相界面 (双电层) 的转移过程。电荷的运动形成电流,而电荷的运动又受到电场作用力的支配。当整个电极系统中,外部电位发生变化时,将会导致电荷穿越双电层的速率发生改变,从而导致电极反应发生改变。
电化学修复过程中,阴极 (钢筋表面) 附近可能的电极反应主要为[11,12]:

动电位极化曲线可以测定连续变化电位情况下,电极反应中电流密度的相应变化情况。电流密度的变化又可以间接反映电极反应的变化,电流密度发生突变时,电极反应也相应的发生改变。因此,采用动电位极化曲线测定阴极反应变化理论上可行。
电极反应同样遵循化学平衡原理,即当外加电位E达到平衡电位Ee时,电极反应处于动态平衡的状态。电极反应在标准氢电极测量时,平衡电位一般表达式可用Nernst方程表示:
![]()
其中,Eb是以标准氢电极作为参比电极时,电极系统的电极电位,称为标准电极电位,其值只与温度、压强有关;R为理想气体常数,8.314 J/(Kmol);T为热力学温度,K;F为Faraday常数,9.65×104C/mol;a为液体相中物质的活度或气相中物质的逸度,mol/cm3或atm。右下标用 (还原体/氧化体) 表示电极系统。


图1 耗氧和析氢反应的Ee-pH关系曲线

由此可知,图1中Area1区域主要发生耗氧反应的逆反应,Area2区域主要发生耗氧反应,Area3区域同时发生析氢反应和耗氧反应,反应受气体扩散等因素控制。
对于混凝土结构,其pH值通常约为12。电化学修复中,钢筋发生阴极电极反应,当外加电位落在Area2区域、电流密度较低、钢筋表面O2充足时耗氧反应将占主导,式 (1) 正向进行;随着电极电位的负移,外加电流密度逐渐增大,特别是当电极电位达到并超过析氢反应的平衡电位时,即外加电流密度超过析氢反应的临界电流密度时,钢筋表面反应将开始发生析氢反应,随着O2的耗尽,H2的产生,体系平衡逐步由析氢反应控制。当钢筋表面有H2生成时,由析氢反应带来的负面效应——钢筋的氢脆也随之发生[13]。
2 实验方法
2.1 试件制作
钢筋混凝土试件尺寸为150 mm×150 mm×100 mm,混凝土保护层厚度为40 mm,内置两根直径12 mm、长度190 mm的HPB300光圆钢筋,钢筋两端各伸出试件20 mm。试件设计如图2所示。

图2 试件尺寸示意图
实验采用C30混凝土,其配比为:水泥∶水∶砂∶碎石=1∶0.52∶1.57∶2.65。其中,水泥为42.5号普通硅酸盐水泥,砂子为II区天然河砂,石子为5~16 mm连续级配碎石。混凝土采用机械搅拌、振捣;振捣成型后24 h拆模,并在钢筋外露部分连接导线,固定后涂抹环氧树脂进行密封,以防止其锈蚀。标准养护28 d后室外静置90 d,再进行电化学测试。
2.2 动电位极化曲线测定
本实验通过测定混凝土试件中钢筋的阴极极化曲线,分析确定钢筋析氢反应发生的临界电流密度。实验前先将混凝土试件在水中静置24 h,降低混凝土试件的电阻。之后采用Reference 600电化学工作站对钢筋混凝土试件中的腐蚀体系进行动电位极化曲线测定,测试装置如图3所示。

图3 动电位极化曲线测定实验
实验采用三电极系统,两根内置钢筋分别作为工作电极和辅助电极,参比电极为饱和甘汞电极 (SCE)。动电位极化曲线测试的扫描范围为+0.05~-1.50 V (vs Eocp),扫描速率20 mV/min。
2.3 稳态下极化电流密度获取
动电位极化曲线是控制电极电位以较慢的速度连续地改变 (扫描),并测量对应电位下的瞬时电流值,以瞬时电流与对应的电极电位作图,获得整个极化曲线[14]。在电极极化过程中,由于电极表面并不能立即建立稳态,因此该方法所得的动极化曲线并不是稳定状态下的极化曲线,极化电位所对应的极化电流也不是稳定状态下的极化电流。然而,在对实际工程进行电化学修复时,外加电场是长时间稳定作用于钢筋上,为了获得稳态下临界极化电流值,需采用稳态测量方法[10],控制外测电路中流过被测电极的电流密度于不同数值,测量相应于所控制的电流密度下被测电极的稳定电位。
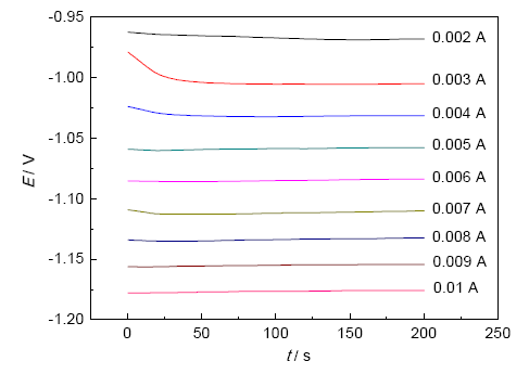
本实验将混凝土试件两根钢筋作为阴极,混凝土底面及金属网放置于水中作为阳极,对该系统依次施加0.002,0.003,0.004,0.005,0.006,0.007,0.008,0.009和0.01 A的等差外加电流,换算成电流密度依次为0.177,0.265,0.354,0.442,0.531,0.619,0.707,0.796和0.884 A/m2。采用电化学工作站测定不同外加电流密度下,钢筋阴极极化电位随时间的变化曲线时,测试装置如图4所示。

图4 稳态下极化电流密度测定实验
3 结果与讨论
通过对试件进行测定,得到动电位极化曲线。对其一阶微分分析可确定析氢反应开始的位置及相应的临界析氢电流密度。但由于动电位极化曲线测定为瞬态测量,其测得的电流值并非稳定状况下的电流值,因此还需要进行稳态测量。即通过测定钢筋阴极极化电位E与连接电极的外线路中的电流密度I之间的线性关系,可最终确定稳态下临界析氢电流密度。
3.1 动电位极化曲线
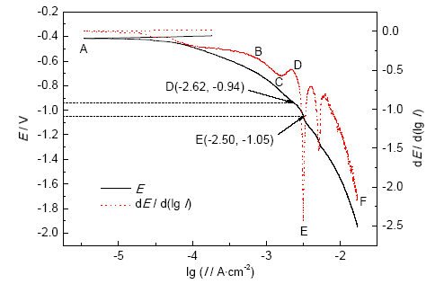
钢筋混凝土动电位极化曲线的测试结果见图5。图中未出现文献[8]中所述的明显拐点。为了进一步分析确定钢筋析氢反应发生的临界电流密度,对图5各点进行一阶微分,结果如图6。

图5 混凝土中钢筋动电位极化曲线

图6 动电位极化曲线的一阶微分曲线
电极反应中,电流以带电荷子移动和交换的形式存在,平衡状态下的电化学反应,其电流保持恒定。因此,电流密度变化速率发生突变表明原有的化学平衡被打破,新的电化学反应开始发生,对应到极化曲线上即为曲线斜率发生突变[15]。阴极极化曲线的一阶微分即是其斜率变化的直观体现,可用来衡量随电位负向增加时电流密度的变化速率,一阶微分某点发生突变,表示该点的电流密度变化的速率发生突变,新的电化学反应开始发生。由图6可知,随着电位负移,动极化曲线的一阶微分中出现了几个明显的突变点,之后又出现一系列较不明显的突变点,这些突变点是由钢筋 (阴极) 表面控制反应发生变化导致。根据上文中提到的钢筋表面主要存在耗氧和析氢两种阴极反应,因此推断突变点是控制反应由耗氧反应变为析氢反应所致。析氢发生的瞬间,耗氧反应开始被抑制;之后,析氢反应速率加快,内部阻抗发生突变,导致阴极极化曲线产生突变。析氢反应的发生并不意味着耗氧反应完全被抑制,此时析氢反应与耗氧反应在竞争中达到平衡状态,反应由气体扩散控制,耗氧反应和析氢反应此消彼长,这导致突变点并非只有一个。
可由突变点确定析氢电位和析氢电流密度,本文以试件1为例演示获取过程,并将其极化曲线和一阶微分图绘制于图7。

图7 试件1的动极化曲线及其微分曲线图
可知,整个极化曲线根据其微分曲线变化情况可以分成3个区域。(1) AC段,在开路电位OCP附近较短的线性极化区,此时电流密度随电位迅速增加;(2) CE段,当阴极电势较大时出现斜率不同的中间区,随电位的增大,电流增长速度变缓,即出现电流平台区,并在E点电位-1.05 V时,电化学反应达到平衡状态,此时阴极反应仍由氧还原和氧扩散混合控制;(3) EF段,E点之后随着电位的增加,析氢反应迅速发生,后受到析氢扩散控制,反应速率逐步稳定,电流增长速度也逐渐变缓。E点所对应的电位即为析氢反应的平衡电位,此时的极化电位为-1.05 V,对应电流i为3.16 mA,相应的电流密度0.559 A/m2即为临界析氢电流密度。
用以上判定方法同样也可得到试件2和试件3的临界析氢电位及相应的电流密度,详见表1。可知,对于不同的试件,动极化曲线方法测得的析氢反应平衡电位略有差异,临界电流密度相差却比较大。主要原因是混凝土的非均质性导致试件本身电阻存在差异。另外,在2.3节中也曾提到,动电位极化方法测得的电流是在给定电位情况下得到的瞬时电流值,用其计算得到的临界析氢电流密度也并不是稳定状态下的析氢电流密度,这也可能造成临界电流密度存在差异,因此还需要进行稳态测量,对临界析氢电流密度进行修正。

3.2 稳态下临界析氢电流密度获取
仍以试件1为例演示获取过程,将不同外加电流下测得的阴极极化电位随时间的变化曲线绘制于图8。可见,在给定的外加电流密度下,随着通电时间的增加,极化电位不同程度的负向增加;通电一定时间后,电位变化变缓慢,并最终趋于稳定。各外加电流密度对应的稳定电位见表2。

将上述结果中获得的几组稳态下极化电位E及其对应的外电流密度I数据进行拟合,见图9;拟合获得稳定状态下钢筋阴极极化电位E与外电流密度I的关系,如下式:
E=aI+b
其中,a=-3.420,b=-3.163;相关系数为0.995。在2.1节中,已经得到试件1钢筋的析氢电位为-1.05 V,根据图9可得到此时对应的稳态电流密度为0.43 A/m2,该电流密度即为修正后的临界析氢电流密度。

图9 稳态下极化电流密度与阴极极化电位对应曲线
用以上方法同样也可得到试件2和试件3的稳态临界析氢电流密度,见表3。3个试件的稳态临界析氢电流密度平均值为0.355 A/m2。文献[7]中采用收集H2的方法得到的析氢反应临界电流密度为0.37 A/m2。这个结果与本文获得的数值十分接近,其差异主要由拟合公式的近似性、实验条件与测试方法引起的系统误差、实验环境引起的偶然误差以及混凝土本身的非均质性造成。

4 结论
(1) 对于钢筋混凝土试件,可采用测定动电位极化曲线的方法分析电化学修复过程中析氢反应发生的情况,从而判断钢筋氢脆发生的可能性。
(2) 对极化曲线采用一阶微分能准确识别钢筋的析氢电位,阴极反应在突变点之前以耗氧控制为主,在突变点之后以析氢反应控制为主。
(3) 通过本文提出的判断方法,可以获得钢筋混凝土试件的稳态临界析氢电流密度,从而为氢脆判断提供依据。
The authors have declared that no competing interests exist.
免责声明:本网站所转载的文字、图片与视频资料版权归原创作者所有,如果涉及侵权,请第一时间联系本网删除。
官方微信
《中国腐蚀与防护网电子期刊》征订启事
- 投稿联系:编辑部
- 电话:010-62316606-806
- 邮箱:fsfhzy666@163.com
- 中国腐蚀与防护网官方QQ群:140808414



