随着现代运输对飞机减重和机内空间利用率要求的不断提高,大大促进了超高强度钢技术和结构件制造技术的不断进步和完善,超高强度钢已成为制造大型桥梁、螺旋桨轴及飞机起落架等通用工程构件的必然选择[1,2,3]。AISI4340高强度钢是美国20世纪40年代研制的高强度中碳低合金钢,经淬火和低温回火后抗拉强度可达1900 MPa以上,AMS4340M在4340钢的基础上增加了Si、V等元素的含量,进一步提高了材料的综合性能,因此,广泛应用于飞机起落架的制造[4,5]。我国幅员辽阔,地理环境差异大,飞机起落架在长期服役过程中,复杂的腐蚀环境会加剧起落架的材料损伤,造成重大损失。
林修洲等[6]采用浸泡、电化学等分析方法研究了飞机起落架镀镉4130钢在不同甲酸钾薄液膜厚度下的腐蚀行为,4130合金钢在甲酸钾除冰液中的腐蚀主要受氧扩散控制,薄液膜下腐蚀产物沉积对腐蚀过程产生较大影响;在高浓度甲酸钾溶液中,镀镉4130钢腐蚀速率较高,腐蚀电位随液膜厚度减小而正移,腐蚀速率随液膜厚度减小先增大后减小。张晓云等[7]研究了40CrNi2Si2MoVA高强度钢在不同海洋性大气环境中的应力腐蚀行为,应力腐蚀主要为沿晶开裂,裂纹起源于表面产生腐蚀的部位,逐渐向内部扩展,随着应力水平的增大, 二次裂纹明显增加。Ramamurthy等[8]研究了外加应力大小对4340钢和3.5NICrMOV钢在30 ℃蒸馏水中应力腐蚀开裂行为的影响,试验采用淬火态4340汽轮机转子作为试验材料,在30 ℃的蒸馏水浸泡腐蚀中施加线性增加的应力,结果表明:AMS4340钢在所有外加应力速率下均发生应力腐蚀开裂,且裂纹扩展速率均随外加应力速率的增加而增加,SEM测试表明,应力腐蚀断口形貌为沿晶断裂和穿晶断裂组成的混合模式。Hazan等[9]采用拉曼光谱对AISI4340合金在3.0%NaCl溶液中的腐蚀产物进行了表征:为了分析不同浸泡时间下的腐蚀产物,作者在840 ℃对氧化层进行热处理,拉曼光谱测试表明,腐蚀产物主要为FeO、Fe2O3、Fe3O4,外层氧化膜主要为Fe2O3,内层氧化膜主要为FeO;AISI4340合金钢的合金元素对氧化层的特征谱没有影响。于美等[10]研究了40CrNi2Si2MoVA钢在模拟海水中的腐蚀行为,在全浸环境中,合金表面首先发生点蚀,随着腐蚀的进行,自腐蚀电位有负移的趋势,自腐蚀电流密度有增大的趋势。
目前对于AMS4340M高强度钢腐蚀行为的研究开展较少,由于AMS4340M合金钢的Si和Ni含量较高 (约为1.72%),其耐蚀性关于电化学实验结果和其他分析方法所得结果相关性缺乏深入研究,本文作者根据某地区飞机的实际服役环境,采用浸泡腐蚀、动电位极化、电化学阻抗、扫描电镜 (SEM)、XRD等测试技术对AMS4340M钢的电化学性能、腐蚀产物成分和形貌进行分析,进一步掌握AMS4340M高强度钢在服役过程中的腐蚀特征、变化规律,为AMS4340M高强度钢的设备的研制和使用提供基础技术支持。
1 实验方法
实验采用某航空公司提供的AMS4340M钢,材料状态为供货态。化学成分 (质量分数,%):C 0.43,Si 1.72,Mn 0.84,Cr 0.77,Mo 0.39,Ni 1.72,P 0.01,S 0.004,V 0.08,余量为Fe。显微组织如图1所示,供货态4340M钢的显微组织母材晶粒较细且分布较为均匀,回火马氏体晶粒尺寸约为20 μm,其中观察到的白色组织为回火马氏体,黑色组织为残余奥氏体,碳化物区分程度较低,这说明供货态组织较为均匀,无缺陷。![]()

图1 AMS4340M钢显微组织
电化学测试前,将4340M钢切割成10 mm×10 mm×10 mm作为电极、金相、浸泡腐蚀试样。金相试样打磨抛光后用2.5 mL HNO3+1.5 mL HCL+1 mL HF+95 mL H2O侵蚀。使用去离子水和NaCl配置3.5%(质量分数)NaCl溶液,浸泡腐蚀试样打磨至2000#,抛光清洗后浸泡,浸泡标准参照GB10124-88《金属材料均匀腐蚀全浸实验方法》,浸泡工作环境温度约为30 ℃,浸泡时间为2,60和720 h。浸泡结束后使用去离子水冲洗试样表面,待表面干燥后采用3Dvison扫描仪、光学显微镜 (OM)、NANOSEM 450场发射扫描电子显微镜 (SEM) 观察不同浸泡时间下的腐蚀形貌,采用D8ADVANCE-A25型X射线衍射仪 (XRD) 对试样腐蚀表面直接进行物相分析,X射线采用Cu靶,波长λ=1.5406 nm,2θ角范围为20°~80°,扫描步长为0.020498°,步长时间为0.38 s。
电化学测试试样经打磨、清洗后使用环氧树脂镶嵌,进一步打磨、抛光后采用 CHI650E 型电化学分析仪测量AMS4340M钢在室温下 (30 ℃左右) 的开路电位 (OCP)、极化曲线、电化学阻抗、Mott-Schottky曲线,采用Ec-lab软件分析Tafel极化曲线数据。实验采用三电极体系,Pt为辅助电极,饱和甘汞电极 (SCE) 为参比电极,AMS4340M钢为工作电极,工作电极自腐蚀电位测试时间为3600 s。动电位扫描法测量极化曲线扫描速率为0.15 mV/s,电化学阻抗扫描范围为105~10-2 Hz,施加的正弦波幅值为5 mV。Mott-Schottky曲线测试频率为1000 Hz,激励信号为交流幅值5 mV,扫描范围为-0.5~+0.3 V,扫描步长20 mV。
2 结果与讨论
2.1 浸泡腐蚀形貌观察
图2为AMS4340M钢在3.5%NaCl溶液中浸泡不同时间的腐蚀形貌。在浸泡腐蚀的初始阶段,如图2a,基体呈金属光泽,未见黄褐色锈层。随着浸泡时间的延长,基体表面的腐蚀程度加深,但基体仍呈金属光泽,如图2b,在局部放大区域可以观察到点蚀特征。浸泡720 h以后基体表面继续保持金属光泽,基体表面的点蚀程度有所增大,如图2c,通过局部放大的SEM照片可以观察到较大、较深的腐蚀坑。整体来看,在浸泡腐蚀的过程中,基体表面的腐蚀较为均匀,随着腐蚀的进行,在基体表面会产生点蚀坑,点蚀坑随着浸泡时间的延长腐蚀程度逐渐加深,这与碳钢以及低合金钢在全浸状态下的腐蚀形式较为类似[7,8,9,10]。

图2 AMS4340M钢浸泡不同时间的腐蚀形貌
图3给出了AMS4340M钢浸泡720 h基体表面的XRD谱,基体α-Fe的衍射峰和Si元素的衍射峰较强,Si元素以置换固溶体的形式存在,这与材料的组织物相分析基本一致,其中Fe2O3和Fe3O4的衍射峰较弱,从XRD结果上看,浸泡腐蚀过程中基体表面的腐蚀产物较少。以上研究表明:AMS4340M钢的耐腐蚀性能较好,基体表面腐蚀较为均匀,浸泡240 h以后基体表面仍呈金属光泽,未见黄褐色锈层。此外,AMS4340M钢在3.5%NaCl溶液中表现为局部明显的点蚀特征,通常认为,金属表面的点蚀特征与溶液里活泼的Cl-相关[11,12]。较高的Cl-浓度会使金属表面钝化膜内的氧空位减少,会产生大量的金属离子空缺,多余的金属离子空缺在金属基体/钝化膜界面局部堆积,金属表面钝化膜的生长则受到抑制,钝化膜的稳定性有所降低。因此,钝化膜在较低的电位下就可以发生局部溶解或者受力破裂,发生点蚀[13,14]。AMS4340M钢中Si的含量较高,在浸泡腐蚀过程中,合金表面钝化膜内形成的SiO2会提高钝化膜的稳定性,增强合金的耐点蚀性能[15],所以,在3.5%(质量分数)NaCl溶液中AMS4340M钢的耐腐蚀性较好,点蚀腐蚀程度较弱,整体表现为均匀腐蚀。

图3 AMS4340M钢腐蚀表面XRD谱
2.2 电化学分析
2.2.1 动电位极化曲线
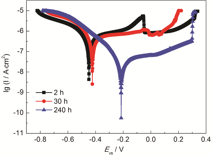
图4为AMS4340M钢在3.5%NaCl溶液中的动电位极化曲线,表1给出了不同腐蚀时间下AMS4340M钢在3.5%NaCl溶液中的极化曲线拟合结果。合金表现为典型的钝化极化曲线特征,在腐蚀的初始阶段,合金的活化钝化特征较为明显,随着浸泡时间的延长,钝化电位逐渐正移。自腐蚀电位 (Ecorr) 随腐蚀时间的延长逐渐增大,浸泡2 h和浸泡30 h以后合金的自腐蚀电位 (Ecorr) 较为接近,约为-450 mV,浸泡240 h时合金的自腐蚀电位最正,约为-225 mV,这说明在腐蚀初期阶段,随着腐蚀时间的延长,合金的耐腐性能有所提高。自腐蚀电流密度 (Icorr) 随着浸泡时间的延长逐渐减小,合金的腐蚀速率逐渐减弱。在腐蚀初期阶段,基体表面的钝化膜处于形成阶段,因此,基体的腐蚀速率较大,随着腐蚀时间的延长,基体表面的钝化膜更为稳定,对基体的保护作用较好,因此,基体的腐蚀速率进一步减小。其中,阳极Tafel斜率βa随腐蚀时间的延长逐渐增大且变化较大,阴极Tafel斜率βc随腐蚀时间的延长变化较小,即阴极极化曲线形状大致相同,Tafel斜率βc变化不大,这表明AMS4340M钢在3.5%NaCl溶液中由阳极活化控制,随着时间的正移,合金的耐腐蚀性增强。

图4 AMS4340M钢在3.5%NaCl溶液中的极化曲线
表1 不同腐蚀时间下AMS4340M钢在3.5%NaCl溶液中的极化曲线拟合结果

2.2.2 电化学阻抗谱 (EIS)
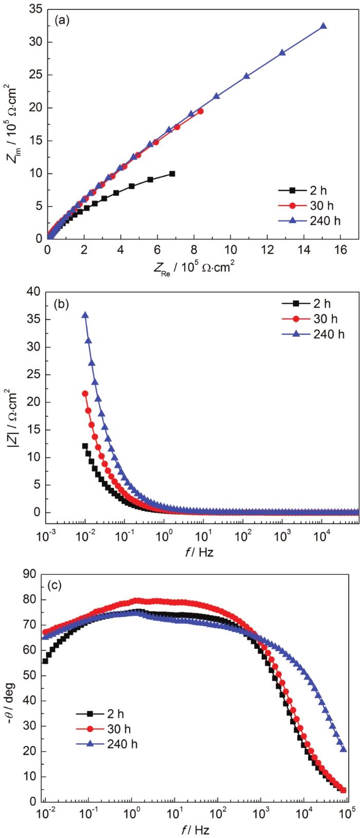
图5为AMS4340钢在3.5%NaCl溶液中浸泡不同时间的EIS。从Nyquist和Bode图可以看出:AMS4340M钢在3.5%NaCl溶液中的阻抗谱在高频阶段和低频阶段均由一个容抗弧组成,这表明AMS4340M钢在3.5%NaCl溶液中的腐蚀过程受电荷转移控制,因此,在图5c的Bode图中仅有1个较大的容抗弧。通常情况下容抗弧的圆弧的半径越大,试样的总阻抗越大[16]。在浸泡的开始阶段 (2 h),容抗弧半径最小,这说明在浸泡开始阶段,试样的耐腐性能最差。浸泡腐蚀30 h时,容抗弧半径有所增加,因此基体的耐腐蚀性能增强。浸泡腐蚀240 h时,AMS4340M合金的容抗弧半径最大,这说明随着腐蚀时间的延长,合金表面形成的钝化膜对基体的保护越来越强。从图5b中可以看出,随着腐蚀时间的延长,AMS 4340M钢的总阻抗逐渐增大,这与图5a的分析结果一致。在图5c的Bode图的高频区 (104~106 Hz) 范围内相位角接近于零度,表明在高频区的阻抗主要为溶液阻抗[17];在中低频区 (10-1~101 Hz) 范围内,AMS4340M钢的相位角达到最大值θmax,接近-80?,通常情况下相位角接近-90?时,可以认为试样表面的钝化膜趋于一个纯电容绝缘层,对试样的保护能力较强,随着浸泡时间的延长,基体的相位角均未发生明显减小,说明试样表面的钝化膜致密度稳定性较好,钝化膜对试样的保护能力较强。图6为AMS4340M钢在3.5%NaCl溶液中EIS的等效电路,采用R(Q(RW)) 等效电路对图5的实验结果进行拟合,Rs为溶液电阻,Rct和Q分别代表漏电电阻和双电层电容的常相位角元件,ZW为Warburg阻抗,拟合参数如表2所示。Rs随浸泡时间的延长变化较小,约为30 Ω·cm2。Rct随浸泡时间的延长逐渐增加,说明腐蚀速率逐渐减小,这与动电位极化曲线的分析结果一致。

图5 AMS4340M钢在3.5%NaCl溶液中的电化学阻抗谱

图6 AMS4340M钢在3.5%NaCl溶液中的等效电路
表2 AMS4340M钢在3.5%NaCl溶液中的EIS拟合结果

2.2.3 Mott-Schottcky (MS) 曲线
为了进一步分析钝化膜特征,实验分析了浸泡不同时间状态下试样的Mott-Schottcky曲线。通常情况下,金属元素的氧化物和氢氧化物多表现为半导体性能,钢表面的钝化膜往往表现出特有的半导体特征,进而影响基体的腐蚀行为。合金钢表面钝化膜的半导体特性主要有p型半导体特性和n型半导体特性两种。Mott-Schottcky (MS) 曲线能够表征电位与空间电荷层电容的关系,MS曲线斜率绝对值越大,钝化膜缺陷密度越低,膜层越致密[18,19]。图7给出了浸泡不同时间下样品的MS曲线,浸泡30和240 h样品的MS曲线斜率主要均为正,表明在开路电位下样品表面生成的钝化膜为 n型半导体。对于n型半导体,施主浓度ND反映了电荷在钝化膜内的迁移能力,施主浓度ND越高,电荷迁移越容易进行,钝化膜溶解速率越大[20]。在-0.5~0.3 V内整个MS曲线的线性程度较好,采用EC-Lab软件对施主浓度ND和平带电势进行拟合、计算,浸泡30 h状态下施主浓度ND为2.83×1015 cm-3,平带电位Efb为-0.577 V;浸泡240 h状态下施主浓度ND为3.05×1016 cm-3,平带电位Efb为-1.48 V。浸泡240 h条件下基体表面的MS曲线斜率小于30 h条件下基体表面的MS曲线,浸泡240 h状态下施主浓度ND较大,这表明浸泡30 h时基体表面的钝化膜较为致密,随着腐蚀时间的延长,金属离子空缺在钝化膜界面的堆积使钝化膜局部发生溶解,钝化膜的致密度下降,因此,在腐蚀时间较长时,基体表面出现了较小的点蚀坑。

图7 AMS4340M钢在3.5%NaCl溶液中钝化膜的M-S曲线
3 结论
(1) 供货态AMS4340M钢的母材主要由回火马氏体、残余奥氏体、碳化物组成。浸泡720 h后试样表面仍呈金属光泽。随着腐蚀时间的增加,基体表面的点蚀坑逐渐增大。XRD测试表明,腐蚀界面基体主要由α-Fe组成,Fe2O3和Fe3O4的衍射峰较弱,说明基体表面的腐蚀产物较少,耐蚀性较好。
(2) AMS4340M钢在3.5%NaCl溶液中处于阳极溶解状态,Tafel极化曲线表明:随着腐蚀时间的增加,基体的自腐蚀电位呈增大趋势,自腐蚀电流密度逐渐减小,合金的腐蚀速率逐渐减小。
(3) 在浸泡腐蚀初期阶段,AMS4340M合金钢容抗弧半径随腐蚀时间的增大逐渐增大,合金的耐腐蚀性能有所提高。
(4) AMS4340M钢表面形成的钝化膜表现为n型半导体特征,随着浸泡时间的延长,施主浓度ND增大,最大为3.05×1016 cm-3。
免责声明:本网站所转载的文字、图片与视频资料版权归原创作者所有,如果涉及侵权,请第一时间联系本网删除。
官方微信
《中国腐蚀与防护网电子期刊》征订启事
- 投稿联系:编辑部
- 电话:010-62316606-806
- 邮箱:fsfhzy666@163.com
- 中国腐蚀与防护网官方QQ群:140808414



