针对南海岛礁工程建设背景,利用珊瑚、珊瑚砂、海水拌和水泥制备珊瑚混凝土 (CAC),具有重要的国防意义和工程实用价值。众所周知,在海洋环境下,Cl-侵蚀是引起钢筋锈蚀的主要因素之一。然而,珊瑚天然多孔的结构“缺陷”和海水、珊瑚中含有大量的Cl-,使得CAC中钢筋极易发生锈蚀。因此,研究海洋环境下CAC中钢筋锈蚀行为是非常必要的。
研究混凝土结构中钢筋腐蚀的方法可分为物理方法和电化学方法。加之,混凝土结构中钢筋的腐蚀本质为电化学腐蚀,因此,电化学方法特别适用于评价CAC结构中钢筋腐蚀状态。在各种测定钢筋腐蚀速率的电化学方法中,线性极化电阻法 (LPR) 和电化学阻抗法 (EIS) 是最常用的两种方法。然而,EIS具有对腐蚀体系影响较小的优势,因而近年来EIS得到了较大的重视和发展。John等研究认为,EIS研究混凝土中钢筋的锈蚀,不仅能够确定钢筋的腐蚀速率,还可以表征混凝土与钢筋界面的状况。史美伦等[8]采用EIS研究了普通混凝土 (OAC) 中钢筋的锈蚀机理,提出了钢筋和混凝土的阻抗函数,从而获得了钢筋锈蚀速率、钝化膜等与钢筋锈蚀有关的混凝土结构信息。此外,史美伦[9]研究表明,EIS不仅能定量求出钢筋的腐蚀速率,还能间接表征混凝土的电阻值以及钢筋表面的双电层电容等参数。此外,通过高频区的EIS测试能求出混凝土的Cl-扩散系数,从而定性描述钢筋-混凝土界面区微观形貌和确定腐蚀反应的控制过程。许晨[10]采用EIS分析了氯盐侵蚀下OAC中钢筋钝化与锈蚀状态的电化学阻抗谱特征,提出了适用于氯盐侵蚀引起钢筋锈蚀的等效电路 (EEC) 模型。综上所述,EIS应用于OAC中钢筋耐蚀性能的研究已取得较大进展,但对于EIS应用于CAC中钢筋腐蚀行为的研究未见报道。
本文采用EIS,通过测试不同暴露时间CAC中钢筋的Nyquist图和Bode阻抗模图,建立了电荷转移电阻 (Rct) 和极化电阻 (Rp) 的转换关系。针对CAC中钢筋处于钝化阶段和锈蚀阶段的测试结果,探索了适用于CAC中钢筋腐蚀行为的EEC模型。同时,通过拟合软件ZSimpWin并选择最佳的EEC求得电荷转移电阻 (Rct),系统研究了保护层厚度和钢筋种类对CAC中钢筋耐蚀性能的影响,探讨了CAC中钢筋耐蚀性劣化规律。
1 实验方法
1.1 配合比设计
珊瑚骨料的物理性质见参考文献。此外,C50 CAC的配合比为:珊瑚∶珊瑚砂∶水泥∶矿渣∶粉煤灰∶海水∶减水剂∶阻锈剂=369∶860∶620∶120∶60∶221∶16∶24 (kg/m3)。暴露时间分别为0,28,90和180 d,阻锈剂为3%亚硝酸钙 (CN,质量分数),保护层厚度分别为1.5,2.5,3.5,4.5,5.5和7 cm。钢筋包括普通钢筋 (A)、有机新涂层钢筋 (B)、锌铬涂层钢筋 (C)、2205双相不锈钢 (D) 和316不锈钢 (E),暴露长度均为15 cm,其化学分见表1。人工海水[6]按照ASTM D1141-2003配制,单位体积各材料质量比为:NaCl∶Na2SO4∶MgCl2·6H2O∶CaCl2∶KCl=24.5∶4.1∶11.1∶1.2∶0.7。

1.2 试件制备
表2为CAC的试件编号。由于珊瑚天然多孔的结构,具有“吸水返水”的特性,因此对珊瑚骨料进行预吸水处理。再将水泥、粉煤灰、矿渣和预吸水处理后的珊瑚骨料等原材料置于搅拌机中,干拌1 min,然后再将海水、减水剂和阻锈剂的混合液加入湿拌3 min。出料后,测定其坍落度,再浇注、振动成型尺寸为150 mm×150 mm×300 mm的混凝土构件。CAC示意图见参考文献。成型后,带模养护24 h后拆模,并浇洒人工海水且用塑料薄膜覆盖自然养护28 d,之后取出试件暴露于已配制好的人工海水中。

1.3 测试与数据处理
分别对在人工海水中浸泡0,28,90和180 d的CAC试件进行EIS测试,测试前8 h将待测试块浸泡在饱和Ca(OH)2溶液中。采用三电极体系,饱和甘汞电极为参比电极,不锈钢棒为辅助电极,待测钢筋为工作电极。在室温条件下采用CHI600E型电化学工作站进行测试。其中,参比电极和辅助电极浸泡在电解质中,扫描频率为105~10-2 Hz,阻抗测试信号为10 mV幅值的正弦波。EIS测试可以得到Nyquist图和Bode阻抗模图。同时,对测得的EIS数据通过ZSimpWin拟合软件进行EEC拟合,从而求得Rct。
2 结果与讨论
2.1 等效电路模型
2.1.1 不同模型比较 Millard等和施锦杰研究认为,虽然通过EIS测试可以得到Nyquist图、Bode阻抗模图、Bode相位图和导纳图等,且Nyquist图由于比较直观明了而被广泛使用,但是在解释Nyquist图中的某些现象时出现了困难,主要包括:压扁的半圆、低频直线段 (低频尾) 和高频效应。对于钢筋混凝土体系而言,由于钢筋表面和混凝土本身的非均匀性,导致测试得到的容抗弧为一个压扁的半圆,说明腐蚀体系中不再含有理想双电层电容,因此,可以用常相角元件 (CPE) 来替代;低频尾的出现,表明腐蚀由扩散过程控制,通过引入Warburg扩散元件可以较好地进行拟合;高频效应,说明钢筋表面可能有钝化膜存在,在钢筋混凝土体系中也可能是混凝土保护层或Ca(OH)2层的电介质特性所致。因此,为了获得分析结果所需的定量腐蚀电化学信息,可以通过ZSimpWin软件并选择合适的EEC模型来拟合EIS数据。所以,选取合适的EEC拟合EIS数据对结果的可靠性影响很大。
目前,众多学者提出的描述钢筋混凝土电极系统的EEC模型数量繁多,即使是使用同一个EEC模型,对于其中的电路元件的解释也不尽相同。现阶段对于OPC中钢筋电极系统使用较多、获得认可较多的EEC模型见图1,2,3。图1为等效电路模型EEC1,其电路编码分别为Rs(CcRc)(QdlRct) 和Rs(CcRc)(Qdl(RctW))。图2为等效电路模型EEC2,其电路编码分别为Rs(Cc(Rc(QdlRct))) 和Rs(Cc(Rc(Qdl(RctW))))。图3为等效电路模型EEC3[15],其电路编码分别为Rs (CcRc(QdlRct)) 和Rs(CcRc(QdlRctW))。其中,Rs为测试溶液电阻,Rc与Cc分别为混凝土保护层电阻与电容,Rct为钢筋的电荷转移电阻,Qdl为钢筋/混凝土界面区双电层电容。由于混凝土与钢筋表面的非均匀性,用常相角元件CPE (Qdl) 来代替理想双电层电容 (Cdl)。同时,在腐蚀初期,考虑扩散控制的作用,在EEC中加入Warburg扩散元件 (W),如图1b,2b和3b所示。电路模型EEC1、EEC2和EEC3的最大区别是时间常数的组合形式。因此,本文根据EIS谱的具体特征,分别用以上3类EEC对Nyquist曲线和Bode阻抗模量曲线进行拟合,并与LPR所得Rp作对比,确定CAC体系中钢筋电极的最佳EEC模型。



2.1.2 电荷转移电阻与极化电阻的关系 利用上述3种EEC模型和ZSimpWin拟合分析软件分别对不同CAC的EIS数据进行拟合分析,结果显示各个EEC模型与实测数据的相关性不尽相同。图4为不同EEC拟合得到的Rct与Rp之间的关系。可见,LPR测得的Rp与EIS测得的Rct具有较好的相关性,回归系数r2=0.9633。
![]()

此外,根据《建筑结构检测技术标准》 (GB/T 50344-2004) 中LPR判别钢筋锈蚀状况的标准和式 (1),可以得出EIS相应的钢筋锈蚀率特征值,表3为Rp、Rct与钢筋锈蚀速率之间的关系。同时,由图4和表3可知,Rp均大于Rct。由于所选择EEC的影响,以及LPR测试得到的Rp包含了Rct和Rc,IR降未完全补偿,故LPR测得的Rp较大。

2.1.3 最优模型 图5为不同EEC模型拟合的Nyquist图,表4为不同等效电路模型的分析拟合结果。其中,混凝土强度为C50,暴露时间为90 d,保护层厚度为1.5 cm。结果表明,EEC3模型拟合精度明显低于EEC1和EEC2模型拟合精度。Macías[17]研究表明,在特定情况下,LPR测试得到的Rp和EIS测试得到的Rct,两者间相互等价,即Rct近似于Rp。但是,由表4可知,采用EEC2模型拟合不同种类钢筋EIS数据得到的Rct与Rp,其偏差在10150~31413 Ω·cm2。相比之下,采用EEC1模型拟合EIS数据得到的Rct与Rp,其偏差在3259~19294 Ω·cm2,明显小于EEC2模型的误差。因此,确定EEC1模型为最优模型。


2.2 钢筋种类对钢筋锈蚀的影响
图6为不同种类钢筋CAC的EIS谱。其中,暴露时间为90 d,钢筋直径为1 cm,保护层厚度为1.5 cm。可见,CAC中不同种类钢筋的Nyquist曲线都存在两段容抗弧。不同种类钢筋低频容抗弧直径、高频容抗弧直径、低频容抗弧与高频容抗弧交点位置的规律均为:2205双相不锈钢>316不锈钢>有机新涂层钢筋>普通钢筋>锌铬涂层钢筋。结果表明,2205双相不锈钢和316不锈钢耐蚀性能最好,有机新涂层钢筋次之,锌铬涂层钢筋和普通钢筋最差。从相应的Bode阻抗模量曲线也可以看出类似的规律。

此外,采用EEC1模型对上述EIS数据进行拟合,得出不同钢筋的Rct值,其中有机新涂层钢筋 (29.73 kΩ·cm2)、锌铬涂层钢筋 (15.94 kΩ·cm2)、316不锈钢 (37.63 kΩ·cm2) 和2205双相不锈钢 (47.15 kΩ·cm2) 的Rct分别为普通钢筋Rct(21.82 kΩ·cm2) 的1.36,0.73,1.72和2.16倍。主要原因是:(1) 有机新涂层具有良好的化学稳定性,并且渗透性较好,能有效地切断腐蚀介质的传输通路,延缓钢筋开始锈蚀的时间。(2) 在腐蚀过程中,316不锈钢中的Cr被氧化,在其表面生成一种致密的钝化膜 (Cr2O3),使腐蚀受阻。(3) 2205双相不锈钢中含有Cr和N,N的加入使钝化膜中富集Cr2N,促使钝化膜中Cr含量进一步增加,从而提高其耐腐蚀性能。(4) 锌铬涂层中含有Zn和Cr,其电位较低,相对于Fe呈现阳极,当涂层受到Cl-侵蚀时,锌铬涂层作为阳极失去电子自我牺牲来保护阴极Fe基体;当锌铬涂层溶解消耗完之后,才进一步腐蚀Fe。因此,显示锌铬涂层钢筋的Rp较低。综上表明,在海洋环境下,CAC中不同种类钢筋的耐腐蚀性能排序为:2205双相不锈钢>316不锈钢>有机新涂层钢筋>锌铬涂层钢筋>普通钢筋。
2.3 保护层厚度对钢筋锈蚀的影响
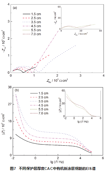
图7为不同保护层厚度CAC中有机新涂层钢筋的EIS谱。其中,暴露时间为180 d,钢筋直径为1 cm。可见,不同保护层厚度CAC中有机新涂层钢筋的Nyquist曲线都存在两段容抗弧。随着保护层厚度的增大,低频容抗弧直径逐渐增大,高频容抗弧与低频容抗弧的交点逐渐右移,说明保护层越大,CO2和Cl-穿过混凝土保护层到达钢筋表面所需要的时间越长,钢筋面临腐蚀的危险越小,从而有效保护钢筋。但是,保护层厚度为4.5 cm的高频容抗弧直径小于保护层厚度为3.5 cm的,这主要是由于混凝土本身的非均匀多相性所致。从Bode阻抗模量曲线也可以看出,保护层厚度为2.5 cm (2021 Ω)、3.5 cm (3262 Ω)、4.5 cm (3224 Ω)、5.5 cm (52900 Ω) 和7 cm (46650 Ω) 的低频阻抗模量分别比保护层厚度为1.5 cm (1114 Ω) 的低频阻抗模量提高了0.8,1.9,1.9,46.5和40.9倍。结果表明,对于有机新涂层钢筋,其保护层厚度为5.5 cm时,可以大大提高钢筋的低频阻抗模量,从而降低钢筋的锈蚀风险。

采用EEC1模型对不同保护层厚度CAC的EIS数据进行拟合。其中,暴露时间为180 d,保护层厚度为2.5 cm (30.50 kΩ·cm2)、3.5 cm (55.34 kΩ·cm2)、4.5 cm (62.45 kΩ·cm2)、5.5 cm (743.24 kΩ·cm2) 和7 cm (1038.56 kΩ·cm2) 的Rct比保护层厚度为1.5 cm (16.09 kΩ·cm2) 的Rct分别提高了0.9,2.4,2.9,45.2和63.5倍,表明增加钢筋的保护层厚度能较大幅度的提高其Rct,增强其耐久性能。当保护层厚度为5.5 cm时,其Rct的增长幅度最大,耐蚀性能显着增强,与Bode阻抗模量曲线规律一致。主要原因是,保护层厚度不仅影响Cl-的扩散通道,同样也影响O2和H2O的扩散通道,保护层越厚,Cl-到达钢筋表面所需要的传输路径越长,从而降低钢筋锈蚀的概率。因此,对于岛礁CAC结构,为了降低钢筋的锈蚀风险,有机新涂层钢筋的保护层厚度至少为5.5 cm。这样,有利于延长CAC结构服役寿命。
3 结论
(1) 通过对Nyquist图和Bode阻抗模图进行拟合、数值误差分析,并与线性极化法 (LPR) 对比,建立了电荷转移电阻 (Rct) 与极化电阻 (Rp) 的转换关系,确定了适用于珊瑚混凝土 (CAC) 中钢筋腐蚀行为的等效电路 (EEC) 模型,其电路编码分别为:钝化阶段Rs(CcRc)(QdlRct) 和锈蚀阶段Rs(CcRc)(Qdl(RctW))。
(2) 相同暴露时间下,CAC中钢筋的Rp随着保护层的增加而增大,表明钢筋抵抗锈蚀的能力随着保护层的增大而增强。在CAC工程中,为了降低钢筋的锈蚀风险,保护层应有一定的厚度。
(3) 在海洋环境下,暴露时间为180 d的CAC中不同种类钢筋按耐腐蚀性能排序为:2205双相不锈钢>316不锈钢>有机新涂层钢筋>锌铬涂层钢筋>普通钢筋。
(4) 为了延长岛礁CAC结构的服役寿命,建议采用有机新涂层钢筋、保护层厚度至少为5.5 cm。
免责声明:本网站所转载的文字、图片与视频资料版权归原创作者所有,如果涉及侵权,请第一时间联系本网删除。
官方微信
《中国腐蚀与防护网电子期刊》征订启事
- 投稿联系:编辑部
- 电话:010-62313558-806
- 邮箱:fsfhzy666@163.com
- 中国腐蚀与防护网官方QQ群:140808414



