Q345q 钢是目前中大跨径公路桥梁设计中使用最广泛的桥梁钢。但是,与耐候钢、低合金高强度钢相比,它的抗腐蚀性能较差,其原因是经过长时间的大气腐蚀以后,耐候钢和低合金钢通过合金元素改善了表面锈层结构,从而形成一层致密的内锈层,其抗大气腐蚀性能是普通碳钢的 2~8 倍,起到了以锈防锈的作用。而普通桥梁钢生成的锈层不稳定,不能与基体紧密结合。为了防止腐蚀,通常涂装使用,且每 3~5 年进行一次防腐蚀涂装维护,每 10~15 年进行重新防腐涂装。然而当桥梁局部涂层受损或脱落就会造成腐蚀加剧,尤其在海洋大气(Cl-)和工业大气(SO2)中最为严重[7-9]。因此,材料研究者进行了大量有关碳钢与低合金钢在含 Cl-介质和工业大气环境中腐蚀行为的研究,主要包括表面锈层的组成、腐蚀规律和耐蚀性等。然而,对桥梁钢大多集中在含 Cl-介质、工业大气介质等单一介质中的腐蚀行为研究。我国幅员辽阔,大气环境更具特点,如沿海地区的盐分较高,盐离子增加了钢表面的溶液导电性,渗透到钢基体表面破坏了钝化膜;工业大气中的 SO2可以降低钢表面的 pH 值,使钢基体溶解并进一步被大气中的 O2 氧化,且其腐蚀过程中存在着“循环生酸机制”;沿海工业大气环境中同时存在盐离子和硫化物,由于协同效应,桥梁钢的腐蚀量并不是两者单独存在时腐蚀量的简单加和。而我国西北地区气候干旱、降水稀少、风沙强劲,由于环境条件特殊和地理位置独特,桥梁钢的大气腐蚀受多重因素(冬天除雪剂、除冰盐中的 Cl-、工业大气、温度和湿度)的影响,其腐蚀环境不同于沿海工业地区,但是针对我国西北地区环境下桥梁钢腐蚀问题的实验研究还较少。随着西部建设的发展,一些基础设施和重大工程建设对桥梁钢大气腐蚀数据及行为规律的需求日益强烈。因此,开展西北地区桥梁钢的系统研究具有重要意义。
本文在实验室模拟西北地区除冰盐介质、工业大气介质以及除冰盐+工业大气的混合介质等 3 种大气腐蚀环境介质,通过干湿交替加速腐蚀实验,研究了桥梁钢 Q345q 在西北大气环境中的腐蚀行为,通过研究 3 种介质中的腐蚀动力学,锈层结构、致密度、锈层保护性以及锈层电化学性能,从而预测桥梁钢 Q345q 在 3 种大气环境下长期腐蚀趋势,分析 3 种介质的腐蚀规律,分析造成桥梁钢腐蚀的主要环境因素,为桥梁钢在西北环境中的选材与寿命评估提供科学依据。
1 实验方法
实验材料为某大型钢厂生产的 Q345q 钢,经控轧控冷处理,轧制厚度为 8mm,其化学成分(质量分数,%)为:C 0.158,Si 0.246,Mn 1.245,P 0.023,S 0.022,Fe 98.306。用线切割机切取尺寸为 40mm×40mm×8mm 和 10mm×10mm×8mm 的腐蚀试样,其中尺寸较大的试样用作腐蚀失重测量,尺寸较小的试样用来观察腐蚀形貌、分析锈层物相和进行电化学表征。
将试样用环氧树脂包覆 5 个面,待完全干燥后用 SiC 水性砂纸磨至 800#后依次用无水乙醇和蒸馏水冲洗,然后放入丙酮中超声清洗,冷风快速吹干后放入真空干燥箱干燥 24h。干湿交替加速腐蚀实验总共进行 40 个周期,每周期 12 h,取样时间为:24,72,144,288和 480h,每种腐蚀介质下取 7 个平行试样,其中 3 个 40mm×40mm×8mm 试样测腐蚀失重; 4 个 10mm×10mm×8mm 试样中,1 个用来观察腐蚀形貌和腐蚀层的截面形貌,1 个用以通过X 射线衍射仪(XRD)对锈层的物相进行分析,2 个进行带锈试样的电化学分析。
根据 GB/T 19746-2005/ISO 11130:1999《金属和合金的腐蚀盐溶液周浸实验》和TB/T2375-1993《铁路用耐候钢周期浸润腐蚀试验方法》,配置除冰盐溶液、0.01mol/L 的NaHSO3 溶液、混合溶液(除冰盐溶液+0.01mol/L 的 NaHSO3 溶液)。本实验采用上述 3 种腐蚀溶液,其成分见表 1。实验在恒温恒湿试验箱中进行,具体流程为(CCT):(1)称取试样初始质量 M0,精确到 0.0001g;(2)按 40μL/cm2 往样品待腐蚀表面滴加腐蚀液,待溶液铺展均匀后放入恒温恒湿试验箱 12h,温度(30±2)℃,相对湿度(60±5)%RH;(3)取出后用蒸馏水冲洗试样表面,以免盐分在锈层中沉积,快速吹干后重新铺上腐蚀液;(4)重复步骤(2)和(3),直至完成实验周期。
每次取得的 40mm×40mm×8mm 试样先用数码相机拍摄不同时间的宏观腐蚀形貌,然后在除锈液(500ml 盐酸+500ml 蒸馏水+20g 六次甲基四胺)中进行超声清洗,除锈液依照GB/T16545-1996《金属和合金的腐蚀试样上腐蚀产物的清除》配置。除锈后的试样用无水乙醇冲洗,快速吹干后称取质量 M1。通过(M0-M1)/S 计算单位面积腐蚀失重量(△W ,mg/cm2),其中 S 为试样的腐蚀面积(cm2),M1 为除锈后的质量。试样腐蚀速率按照下式计算:
![]()
式中,V 为腐蚀速率(mg· cm-2·h-1),t 为腐蚀时间(h)。
用 FEG 450 型冷场发射扫描电子显微镜(FE-SEM)观察锈层的微观形貌。腐蚀试样经由环氧树脂封样后,对试样截面打磨抛光,用 SEM 观察锈层的截面形貌。利用PanalyticalX'Pert Pro 型 XRD 进行物相组成分析,管压为 40kV,管流为 40mA,2θ 扫描范围为 10°~90°,扫描速率为 4°/min。
电化学实验利用 CHI 660e 型电化学工作站进行。采用三电极体系,参比电极是标准饱和甘汞电极(SCE),辅助电极是 Pt 电极,工作电极是带锈试样。在 0.1mol/L Na2SO4溶液中测量带锈试样的极化曲线,带锈试样暴露面积为 10mm×10mm。

2 结果与分析
2.1 桥梁钢 Q345q 在 3 种模拟大气环境中的腐蚀行为
图 1 为实验钢在除冰盐、NaHSO3、除冰盐+NaHSO3 介质中的腐蚀失重曲线(图 2a)和腐蚀速率曲线(图 2b)。可看出,腐蚀失重随着腐蚀时间的延长而增加,且 3 种介质中腐蚀失重的大小顺序为:NaSHO3>混合溶液>除冰盐,表明钢在模拟工业大气环境中的腐蚀量较大。
对不同模拟环境中的腐蚀失重用经验公式拟合,旨在预测长期暴露时钢的腐蚀失重量。拟合结果表明,腐蚀失重与时间呈幂指数规律:
![]()
式中, A 和 n 是常数,n 值反映了大气腐蚀特性:n<1,腐蚀速率呈递减规律,说明腐蚀产物对基体具有一定的保护性;n>1,腐蚀过程加速,锈层没有保护性;n=1,腐蚀失重呈直线规律,腐蚀速率恒定。Townsend 和 Zoccola[19-20]提出了一种利用线性回归方程来分析腐蚀数据的方法,以在腐蚀失重与腐蚀时间的双对数曲线上拟合直线,所以式(2)可改为:
![]()
很显然,图 1a 中曲线的斜率分为两段,第二阶段的斜率小于第一阶段的,因此对失重数据进行分阶段拟合,得到的拟合数据和相关系数 R2 如表 2 所示。根据拟合结果,对于第一阶段(24h~144h),钢在 3 种介质中的 n 值均大于 1,说明钢的腐蚀是个加速过程,生成的锈层对基体没有保护作用;在第二阶段(144h~480h)的 n 值都小于 1,说明随着腐蚀时间的延长,锈层厚度逐渐增加,对腐蚀的继续进行起到了抑制作用。分析图 1b 可见,在整个腐蚀过程中腐蚀速率的大小顺序为:NaSHO3>混合溶液>除冰盐,随着腐蚀时间的延长腐蚀速率逐渐减小,且在除冰盐介质中的腐蚀速率下降不明显。


2.2 Q345q 钢在 3 种介质中腐蚀产物分析
Q345q钢在3种介质中腐蚀不同时间的锈层XRD谱分析结果见图2。由图2a可见,Q345q钢在除冰盐介质中的腐蚀产物主要由 β-FeOOH、γ-FeOOH、α-FeOOH、、Fe2O3和 FeOCl 组 成。从特征峰的强度可以得出,在腐蚀 24h 内,β-FeOOH 的最强峰较低(11.56°);随着腐蚀时间的延长,β-FeOOH 的最强峰逐渐增强。同时,在腐蚀 288h 后,β-FeOOH 的最强峰上叠加了氯化物 FeOCl 的峰,且峰强很高,说明锈层中 β-FeOOH 和 FeOCl 的相对含量增大,同时发生反应(Fe2+和 Fe3+)→FeOCl→β-FeOOH,生成的氯化物和 β-FeOOH 颗粒粗大易使锈层疏松脱落;腐蚀 72h 以后,开始形成少量的 α-FeOOH(三强峰分别为 21.02°,36°和52.95°),α-FeOOH 的峰强也随时间的延长逐渐增大,但峰强很低,说明其含量非常少。
γ-FeOOH 的特征峰强(最强峰 26.8°)先增大(24~144h)后减小(144~480h),说明在腐蚀后期,部分 γ-FeOOH 发生了演化生成 α-FeOOH。Fe2O3 的特征峰变化不是很明显,含量较少。在腐蚀 144h 时,约在 35°出现了一个明显的 β-FeOOH 非晶峰,随着腐蚀时间的延长,非晶态的腐蚀产物逐渐晶化。
模拟工业大气环境中形成的锈层主要是 γ-FeOOH,Fe3O4和 α-FeOOH。与除冰盐介质、混合介质相比,各种腐蚀产物的衍射峰都明显宽化,说明形成产物的晶粒最为细小。从特征峰的强度看,α-FeOOH 的衍射峰增强,γ-FeOOH 的衍射峰强先增大后减小,说明在腐蚀后期绝缘的非活性物质 α-FeOOH 的含量明显增多,对锈层的保护性增强;而 Fe3O4的含量非常少,衍射峰(35°)几乎没有明显的变化;腐蚀 24h 时,在约 35°出现了 γ-FeOOH 的晶态和非晶态共同存在的峰,说明 γ-FeOOH 部分是以非晶态存在,随着腐蚀时间延长至 480h后,非晶峰依然存在,但叠加在上面的晶态峰明显增强。
在混合介质中的腐蚀产物主要为 β-FeOOH,γ-FeOOH,α-FeOOH,Fe2O3和 FeOCl。其中,β-FeOOH 的最强峰(11.56°)随时间的延长明显增大,在 480h 后也叠加了氯化物的峰,使得峰强高而尖锐,与除冰盐介质下的相似。α-FeOOH 的特征峰强(21.02°)虽然随时间的延长有所增大,但含量较少,其强度大于除冰盐介质下的,说明锈层保护性有所增加,而γ-FeOOH 和 Fe2O3的峰强变化不是很明显。

对比在 3 种介质中腐蚀 480h 的 XRD 分析结果,可以看出在除冰盐和混合介质中含有较多的 β-FeOOH 和 FeOCl。这是因为 β-FeOOH 通常在湿度较大且富含 Cl-的环境下才容易形成,它的形成需要 Cl-为其提供结构支撑,其过程为:氯化物→β-FeOOH+Fe3O4[23],生成的 β-FeOOH 不具有保护性,会促进基体的进一步腐蚀,最终生成 α-FeOOH。但是,在本实验中其转化不完全,因此生成的锈层疏松容易脱落,主要是因为腐蚀性离子的协同作用抑制了稳定锈层的产生;而且溶液的 pH 值显碱性,腐蚀性较强的酸性离子被中和。而在亚硫酸氢钠溶液中,没有 β-FeOOH 生成,经过长期的腐蚀,最终锈层趋向于稳定,减缓了腐蚀,符合动力学曲线得到的规律。
2.3 3 种模拟大气环境中的腐蚀形貌分析
2.3.1 宏观腐蚀形貌
图 3 给出了用数码相机拍摄的 3 种模拟大气环境中 Q345q 钢的锈层宏观形貌。可见,在除冰盐介质中腐蚀 24h 后,钢表面约有一半以上被少量浅黄褐色的锈层覆盖(图 3a);到 达 72h 时,钢表面的锈层均匀增加,约有 90%以上的红褐色锈层覆盖了钢基体(图 3b);进一步腐蚀至 144h,出现少量黑褐色的锈层(图 3c);当腐蚀到 288h 后,部分红褐色锈层脱落,脱落的地方呈黑色(图 3d),这是由于腐蚀应力和锈层疏松导致黑褐色锈层增多;最后腐蚀至 480h,钢表面的锈层变得均匀,但仍由少量深红褐色和黑褐色锈层组成(图 3e)。
在亚硫酸氢钠介质中,腐蚀 24 后,钢表面几乎被黄色锈层覆盖,但锈层不均匀(图 3f);当腐蚀时间至 72h,少量黑色锈层不均匀地分布于表面(图 3g),可能是 Fe3O4;随着腐蚀时间进行到 144h(图 3h)和 288h(图 3i),出现大量橙黄色的锈胞;但在 288h 时锈层开始变得均匀;最后到 480h,橙黄色的锈胞脱落出现黑褐色锈层(图 3j),最终锈层变得致密。
在混合介质中,锈层的颜色变化跟除冰盐中的相似,综合了两种腐蚀介质中的情况最终形成了深红棕色和少量黑褐色的锈层。在除锈的过程中,亚硫酸氢钠溶液中腐蚀 480h 形成的锈层分为内外两层,外锈层容易除去,而内锈层呈现黑色且与基体紧密结合;在除冰盐和混合介质中,锈层疏松,没有出现分层现象,除去锈层后裸露的基体上无黑色锈斑。

2.3.2 微观腐蚀形貌
图 4~6 分别为 Q345q 钢在除冰盐、亚硫酸氢钠溶液、混合溶液中腐蚀不同时间的锈层微观形貌。可见,在除冰盐中腐蚀 72h 的锈层(图 4a)大多数呈片状结构,这种腐蚀产物与基体的附着力较弱而容易脱落,在动力学曲线上表现为较小的腐蚀失重;混合溶液中的锈层呈小片层状结构(图 6a),仍然易脱落且不具保护性;而亚硫酸氢钠溶液中的块状锈层中分布有大量针状结构(图 5a)的腐蚀产物(γ-FeOOH),与基体具有一定的黏着力。对比 144h(图 4b,5b 和 6b)腐蚀产物可见,除冰盐介质中有少量的针状腐蚀产物和非晶态的物质,与 XRD 分析结果一致,对锈层没有保护性且容易发生脱落;亚硫酸氢钠和混合介质中含有大量的针状 γ-FeOOH,γ-FeOOH 具有还原性,在腐蚀“湿”的阶段,开始溶解重新结晶成α-FeOOH 和 Fe3O4,其转变过程容易引起体积的变化,易产生裂纹(图 5b 和 6b)。由图 5b可看到,针状腐蚀产物上分布有颗粒状的腐蚀产物,该腐蚀产物为 α-FeOOH[9,25]。α-FeOOH的热力学稳定性高,锈层的结构相对稳定,不易产生随物相的转变而发生体积转变所引起的裂纹或孔洞等缺陷,使锈层致密度增加。



图 4c,5c 和 6c 分别为 Q345q 钢在 3 种介质中腐蚀 288h 的锈层形貌。很显然,在亚硫酸氢钠介质中,锈层变得致密,颗粒细小且数量增多,对基体保护性增强;除冰盐介质中的锈层仍然有片状结构,并有孔洞和裂纹存在,对基体没有保护性;混合介质中的大量“花瓣形”腐蚀产物会随着时间的延长继续演化,但致密度比除冰盐介质中的好。
由以上分析可知,在整个腐蚀过程中,除冰盐介质中的锈层大多呈片状结构,且分布不均匀易脱落,同时存在大量的裂纹和孔洞,对基体没有保护性;而在亚硫酸氢钠和混合介质中,虽然在腐蚀中期(144h)有裂纹存在,但是锈层中分布大量“花瓣形”针状腐蚀产物,这些针状腐蚀产物为 γ-FeOOH,对基体的黏着力增强;腐蚀后期(288h),裂纹变得细小,“花瓣形”针片状的腐蚀产物与颗粒状的腐蚀产物同时存在,在亚硫酸氢钠溶液中尤为明显,锈层的保护性增强。因此,经过长期大气腐蚀,桥梁钢 Q345q 在模拟工业大气环境中会形成稳定的锈层,从而对基体具有保护性。
2.3.3 截面形貌
图 7 给出了 Q345q 钢在不同介质中腐蚀不同时间的截面形貌。可看出,腐蚀初期(72h),除冰盐介质中的锈层由疏松的块状产物构成,内部存在细小裂缝(图 7a),锈层厚度约为10.2273μm(见表 3),无法阻止腐蚀性离子的渗入;而亚硫酸氢钠介质中的锈层厚度约为除冰盐介质中的 3 倍;混合介质中的锈层厚度(图 7g)与除冰盐的相近,锈层疏松易脱落。



随着腐蚀时间延长至 288h,亚硫酸氢钠介质中的锈层出现明显的分层现象(7f),内锈层致密与基体紧密结合。在内锈层的局部放大图上(右上)可以看到锈层颗粒细小,无裂纹和孔洞;外锈层明显存在裂纹,为水、氧等介质的进入提供了通道,其整个锈层厚度约为除冰盐介质中的 1.6 倍。
而除冰盐介质中无明显分层(图 7c),在局部放大图上可看到锈层疏松多孔并呈块状分布,对基体没有保护性。混合介质中的锈层厚度与除冰盐介质的相差不大,但仍然有裂纹存在(图 7i)。这是因为外锈层中含有大量的 γ-FeOOH,γ-FeOOH 的化学稳定性非常低,在电解薄 膜液存在 的情况下,极 易作为活 性阴极与钢基 体构成腐 蚀原电池,在 发生γ-FeOOH→α-FeOOH 的转变过程中将引起体积的变化而产生裂纹。而且除冰盐和混合介质的锈层中存在大量的 FeOCl 和 β-FeOOH,使得锈层疏松易脱落,从而加速钢的进一步腐蚀。
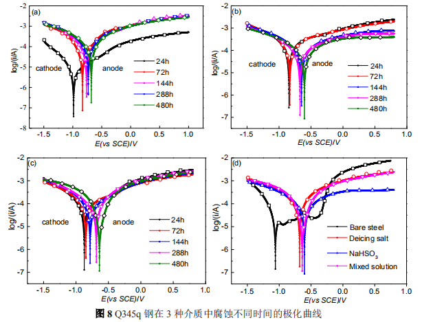
2.4 3 种模拟大气环境中锈层的电化学分析
图 8 是桥梁钢 Q345q 以 0.1mol/L 的 Na2SO4溶液为电解液测得带锈试样的极化曲线。可知,3 种介质下带锈试样随腐蚀时间的增加,自腐蚀电位增大。除冰盐介质腐蚀 72h 后,阳极稳态电流增大,但随腐蚀时间的延长变化不大;混合介质与除冰盐类似,腐蚀时间对锈层阳极稳态腐蚀电流影响不大;但在亚硫酸氢钠介质中,阳极稳态腐蚀电流随时间的延长明显减小。对于未腐蚀的桥梁钢而言,其阴极行为受溶解氧极限扩散控制,而阳极极化下钢基体表面发生由电荷转移控制的电化学溶解;而对于带锈试样而言,由于锈层中含有 β-FeOOH、 γ-FeOOH 等还原性物质,阴极极化曲线开始倾斜,其过程主要受锈层的还原和氧极限扩散控制。观察图 8a 可见,随着腐蚀时间的延长,除冰盐介质中带锈钢的自腐蚀电位逐渐正移,阴极电流密度逐渐增大,这说明锈层中含有大量还原性物质,这些物质的存在会促进钢的腐蚀,其反应主要由阴极还原所控制,但还原生成的锈层不稳定容易脱落。此结果与混合溶液中(图 8c)得到的结果类似。但是观察图 8b 可见,阴极电流变化不明显,而阳极电流密度逐渐减小,在干湿交替加速腐蚀 288h 后,自腐蚀电位也发生了负移,这是因为 0.01mol/L的 NaHSO3 溶液呈酸性,溶液中存在较多电离的 H +可以与溶解氧同时还原所致,其反应主要受阳极溶解反应所控制。

过对比 480h 带锈钢的极化曲线(图 8d)可见,锈层的自腐蚀电位均大于未腐蚀试样的,说明锈层的存在会减缓腐蚀的倾向性。为了进一步说明腐蚀的倾向性,表 4 给出了随腐蚀时间变化的极化曲线参数。由表 4 知,Q345q 钢在亚硫酸氢钠介质中干湿交替腐蚀后,自腐蚀电位大于在其他两种介质下的,自腐蚀电流越来越小。结合锈层形貌分析,说明钢在模拟工业大气环境中腐蚀生成的锈层虽然较厚,但锈层致密保护性强,由于生成的腐蚀产物较多使得自腐蚀电位较高,随着腐蚀时间延长发生腐蚀的倾向性会逐渐降低。但是在除冰盐介质中,虽然自腐蚀电位随腐蚀时间的延长而增大,但自腐蚀电流也随之增大,结合锈层截面形貌分析可知锈层疏松,很难形成致密锈层,因此锈层不具保护性。混合介质中 144h 以下自腐蚀电流为增大趋势,但 144h 以后自腐蚀电流逐渐减小,结合锈层结构可见 144h 后锈层逐渐致密,腐蚀速率逐渐下降,锈层展示一定保护性。

3 分析与讨论
桥梁钢暴露于西北大气环境下,会受到多重因素的影响(冬天除雪剂、工业大气、水气等),不同的腐蚀环境下腐蚀机理不同。Hara 等人对冬季喷洒除冰盐环境下耐候桥梁钢的腐蚀行为进行了 3a 的研究,结果表明在冬季喷洒除冰盐,会加速钢的腐蚀;而在夏季残留的 Cl-会通过增大锈粒度来降低锈层的保护能力。Wang 等在 SO2 气氛下通过干湿循环实验模拟了耐候桥梁钢的腐蚀,认为 SO2可以促进腐蚀产物 γ-FeOOH→α-FeOOH 的转化,形成致密、保护性强的锈层。因此,分析不同环境下的腐蚀机理很有必要。钢的干湿交替腐蚀过程通常由两个阶段完成:
湿的阶段(电化学腐蚀):

其中,生成的 FeOOH(β、γ、α)种类取决于大气条件。在除冰盐介质中,由于除冰盐含有大量的钠盐、钙盐,同时还有少量的硫代硫酸盐和亚硫酸盐,其腐蚀效果由多因素造成。腐蚀初期 Cl-浓度较高,吸附在钢表面发生离子迁移,促进钢基体表面形成点蚀坑。这是因为Cl-半径小且具有很强的穿透能力,它可以穿过锈层抵达基体加速钢的腐蚀。同时,在反应过程中不容易被消耗,生成不稳定的腐蚀产物 FeOCl。随着反应的进行,β-FeOOH 的含量增多,反应式如下:

在上述反应中,大量 Cl-不仅增加电解质的浓度,而且薄膜液的导电性也随之增大,使得吸附在钢表面的 Fe(OH)2薄膜被破坏,发生如下反应:
![]()
随着反应的进行,Cl-的作用造成疏松的腐蚀产物并产生微裂纹和空洞,使 O2等腐蚀性介质进入裂纹加速钢的腐蚀。同时,Cl-在孔隙和疏松的微观区域由于闭塞电池的自催化效应,使得在除冰盐介质中很难形成致密锈层。另一方面,Cl-的氧化性极强,加上溶解氧的作用,将溶液中少量的 SO32-、HSO3-、S2O32-氧化成 SO42-,此时大量的阴离子聚集在点蚀坑的位置,Ca2+被吸附在表面形成难溶性的钙盐,随着腐蚀时间的延长从基体脱落,难以产生致密、稳定的锈层。因此,在除冰盐环境中主要以 Cl-为主导作用的多因素腐蚀机制,较小的腐蚀失重说明了生成的锈层不稳定易脱落,在进行一个干湿循环周期后,除去盐分的过程中容易将浮锈除去,但腐蚀过程是持续性的。
而在亚硫酸氢钠介质中,HSO3-易被氧化为硫酸,从而加速钢的腐蚀。随着腐蚀的进行,钢表面会形成 FeSO4,增大液膜的导电性,FeSO4发生水解,反应如下:
![]()
生成的硫酸根据“酸的再生循环机制”又加速钢的腐蚀,反应如下:
![]()
新生成的 FeSO4 将再次发生水解生成游离酸,如此循环下去。在循环的过程中会不断地溶解不稳定的锈层,从而加速钢的腐蚀,锈层的溶解与酸的再生循环产生的协同作用使钢的腐蚀失重明显大于其他介质中的。但是,这种作用不是持续增强的,当 HSO3-的浓度达到一定值时,能够抑制 β-FeOOH 的形成,同时促进稳定锈层的形成。
在除冰盐+NaHSO3 介质中,NaHSO3 的加入大大降低了除冰盐介质的 pH 值,对除冰盐介质是耦合作用,而不是两种介质作用的加和,使得溶液呈酸性,抑制了部分 Cl-的自催化作用和 β-FeOOH 的形成,减弱了闭塞微电池的作用。同时,Cl-,SO32-和 HSO3-的协同作用、酸的再生循环作用以及 Ca2+在锈层的富集,使锈层具有一定保护性,介于除冰盐和亚硫酸氢钠溶液之间。
4 结论
(1) Q345q 钢在除冰盐、模拟工业大气介质及除冰盐+工业大气混合介质中的腐蚀速率均随着腐蚀时间的延长而逐渐减小,且腐蚀速率大小顺序为:NaHSO3>混合介质>除冰盐。
虽然在模拟工业大气环境中的腐蚀失重和腐蚀速率较大,但是在腐蚀 144h 后 n<1,锈层具有保护性。
(2) 除冰盐和混合溶液中的腐蚀产物主要为 γ-FeOOH、α-FeOOH、β-FeOOH、FeOCl和 Fe2O3,β-FeOOH 和 FeOCl 导致锈层疏松脱落;模拟工业大气介质中的腐蚀产物主要为Fe2O3、Fe3O4、γ-FeOOH 和 α-FeOOH,0.01mol/L NaHSO3介质抑制了 β-FeOOH 的形成,使锈层产物稳定性增加。
(3) 带锈 Q345q 在 3 种腐蚀介质中的自腐蚀电位均随腐蚀时间的延长而增大,但自腐蚀电流的变化规律不同。在亚硫酸氢钠介质中,自腐蚀电流随腐蚀时间的延长而减小,锈层结构致密且保护性强;在除冰盐介质中,锈层的自腐蚀电流随腐蚀时间的延长而增大,其锈层结构疏松,不具保护性;在混合介质中 144h 以下自腐蚀电流为增大趋势,但 144h 以后自腐蚀电流逐渐减小,锈层结构在 144h 后逐渐致密并呈现一定保护性。
免责声明:本网站所转载的文字、图片与视频资料版权归原创作者所有,如果涉及侵权,请第一时间联系本网删除。
官方微信
《中国腐蚀与防护网电子期刊》征订启事
- 投稿联系:编辑部
- 电话:010-62313558-806
- 邮箱:fsfhzy666@163.com
- 中国腐蚀与防护网官方QQ群:140808414



