0 引言
硼酸是核电站一回路冷却剂的中子化学毒物,用以补偿控制棒对核反应堆反应性的控制。硼酸本身是一种弱酸,在一回路环境下对不锈钢设备的腐蚀影响很小,它对设备的腐蚀影响主要是硼酸发生泄漏,水分蒸发浓缩后结晶。由于95℃饱和硼酸溶液的pH值小于3,腐蚀性很强,导致碳钢和低合金钢设备的溶解腐蚀。
典型的硼水泄露并发生硼酸腐蚀的重要事件有:
(1)1987年,美国Turkey Point 4号机组,在压力容器顶盖和控制棒驱动机构上发现了230Kg的硼酸结晶。硼结晶来源于仪表管密封部位的泄露。硼酸导致3个压力容器顶盖螺栓、控制棒驱动机构肩部职称和泄露的仪表管密封件严重腐蚀,如图1所示;

(2)2002年,美国Davis-Besse核电机组,核反应堆的冷却塔顶发生硼酸腐蚀,原本6英寸厚的不锈钢合金顶盖只剩下不到半英寸。每平方英寸面积承受的压力在2200磅以上,一旦塔顶在压力下破裂,几千加仑的放射性高温热水将迸发,导致严重的核污染事故,如图2所示。

1988年3月7日,美国核管会发布了NRC GL88-05《压水堆核电站反应堆压力边界碳钢部件的硼酸腐蚀问题》,GL88-05指出,硼酸腐蚀的预防和控制,关键在于保证非正常泄露和泄露溶液的迅速传播的可能性极低。故防止硼酸腐蚀的首要任务是从源头上防止泄露发生,如果没有泄露便不会有硼酸腐蚀。检测硼酸腐蚀的首要任务是检测出含硼水的泄露位置及泄漏量。本文立足于核电站现状,对已应用和潜在的核电站硼酸腐蚀泄露检测技术进行梳理和介绍。
1 已应用的主要泄露检测方法
1.1 安全壳空气粒度和稀有气体活度监测器
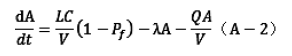
所有压水堆核电站均有安全壳空气粒度和稀有气体活度监测器,用于监测在电站正常运行期间,各房间区域的放射性物质和空气污染情况,从而实现对电站放射性总体监测。其中β放射性测量常采用火花探测器、比例计数器、β敏感盖格计算器和固体探测器等;γ放射性测量常采用NaI(Ti)火花计数器、盖格计数器、比例计数器和电离室等。由于这些监测系统分布于整个安全壳内,无法提供具体泄露的位置信息。一般情况下,1gpm(3.8L/min)的一回路冷却剂泄露,用空气微粒监测器可在约10min内检测到,稀有气体活度监测器可在约80min内检测到。
安全壳空气放射性活度变化与一回路冷却剂泄漏率的关系可以参考关系式A-1:

其中:
V —安全壳自由体积,单位为cc;A —安全壳大气中的放射性同位素浓度,单位为μ Ci/cc;C—反应堆冷却剂中的放射性同位素的浓度,单位为μ Ci/cc;L—反应堆冷却剂泄漏至安全壳大气中的泄漏率,单位为L/min;λ—同位素的衰变常数,单位为min;Pf—展盖因数,小部分泄漏的放射性同位素展盖因素去除,无量纲;Q—安全壳大气去除率(净化率),mL/min(没有净化的安全壳其Q为零)。
简化公式(A-1)得到:

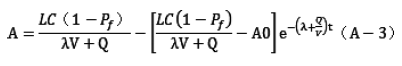
方程的解给出了对于一个给定的泄漏率时,安全壳大气中同位素的放射性活度浓度与时间的函数关系。
对于A =A0,t = 0时,该解是:
![]()
此公式(A-3)可用于估计反应堆冷却剂的泄漏引起的安全壳大气的瞬态放射性,并由此可推出对应的泄漏。
1.2 安全壳集水液位及空气冷却器冷凝水流量
安全壳集水液位用于监测一回路冷却剂系统、厂用水系统、组件冷却系统、蒸汽管道、给水管道的泄露以及安全壳内空气中的水分凝结。这些泄露将被收集到安全壳集水坑中。一个典型的水位探测器可在10min内检测约7.5gpm(28L/min)的变化。
安全壳空气冷却剂利用冷却器每5min在整个安全壳内循环一次。潮湿空气通过冷却器会使冷却盘管上有冷凝水产生。压水堆核电站配有排水系统、垂直立管和立管压差传感器等系统,监测由于泄露造成的安全壳空气中水分含量的变化。一般情况下,这些系统可以在60min内监测到1gpm(3.8L/min)的泄露。但是,这两种检测方法无法区分来自冷却剂系统和其他潜在的泄漏源。
1.3 安全壳湿度监测器
通过对安全壳的湿度监测,可以得出在安全壳内可能由于反应堆冷却剂系统或其他泄露而引起的湿度变化,这种测量数据存在误差,因为安全壳内冷凝水的变化、安全壳冷冻器性能的变化,进风温度和水分含量的变化等,均可能引起安全壳内的大气湿度发生改变。但湿度监测,仍是一种方便快捷的泄露监测方法。
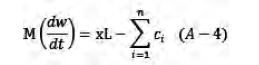
由于冷却剂泄漏引起的安全壳内大气特定湿度的瞬时变化,可用关系式A-4来表示:
其中:

M—安全壳内大气中的总质量,单位为L;w—安全壳大气特定的湿度;L—进入安全壳的总泄漏量,单位为L/min;X—泄漏剂的蒸气馏分,单位为lbm-vapor/lbmliquid;Ci—“第i个”安全壳空气冷却器的凝结率,单位为L/min;n—安全壳空气冷却器的数量;泄漏剂的蒸气馏分用焓关系来确定:
![]()
其中:
h—RCPB(一回路冷却水失水事故)中反应堆冷却剂的焓,Btu/ IBM(J/Kg)
hg—安全壳温度下的饱和蒸气焓,Btu/IBM(J/Kg)
hf—安全壳温度下的饱和液体焓,Btu/IBM(J/Kg)
2 潜在的泄露检测方法
2.1 局部辐射监测法:N13-F18检测
N13-F18检测法(MGP SPLR201系统,如图3所示)由法国电离公司与MGP仪器公司共同开发。N13和F18存在于一回路冷却剂中,在泄露部位以气态形式释放出来。N13的半衰期为10min,F18的半衰期为110min。这些半衰期足够短,安全壳内N13和F18无法累积,但是对于泄露位置感测单元的传输,时间是足够长的。
该探测器非常灵敏。若吸入量对于整个安全壳来说,可以检测低至0.13Gal/min的泄露。如果吸入量只针对于一个小范围区域,如RPV保温层下方或封头上方的覆盖区域,则灵敏度将会大大提高。该系统被广泛使用在20世纪90年代初的EDF电站。

该系统的优点为良好的抗电磁干扰、电离辐射、振动和火灾能力,检测的灵敏度高,响应速度快。缺点包括: ① 最高允许的探测温度为40~60℃,在EDF电站,这种方法是可以接受的,因为其抽吸的是保温层上方相对凉爽的空气。然而,如果要对潜在的泄露位置(如保温层下方)进行抽吸,则需要将样品从500~600F冷却至40~60℃;②保温层以上的样品可能无法提供足够的灵敏度来检测封头区域的微笑泄露,因为传感器从一个高流通面积进行抽吸,将牵引大量的安全壳内空气吸入。
2.2 局部湿度探测法(FLUS系统)
FLUS系统由Framatome ANP German NuclearServices Instrumentation and Diagnostics Group开发,可以被用于检测组件的小流量泄漏。当泄漏出现和发展时,FLUS系统能提供早期的泄漏检测,甚至可在电站正常运行期间对泄漏进展进行监测。FLUS系统的一个特别重要的特点是其检测灵敏度高,它能够定位泄漏位置,误差仅为几米。
FLUS系统是一个区域泄漏检测器,它可以随着时间的推移,检测水或蒸汽泄漏带来的环境变化。
FLUS系统的关键是“传感器管”,它可以安装在靠近含高压水/蒸汽的组件可疑的泄漏部位。传感器管(参见图4)具有多孔质烧结金属元件,通常有一英尺的间隔,且具有抗高温和高辐射能力。许多传感器管元件头尾相连,连接成一个封闭的循环监控线,并初始填充有干燥空气,从而形成一个“敏感元件”。水蒸汽浓度差的存在,导致传感器管以外的水分通过多孔元件进行扩散,进入内部敏感部分的干燥空气中,这样就形成了传感器管周围的空气的“湿度图像”(湿度廓线),详细工作原理请如图5所示。


FLUS系统是目前在全球多个核电厂运用,美国第一个安装电站为Davis-Besse电厂。国内台山核电站KIL系统也采用了该系统。
2.3 声发射仪器及噪声探测器
声发射(AE)仪器和噪声探测器都是非破坏性测试(NDT)设备,用以监测机械、电气和工艺系统的状态和变化。在机械系统中,缺陷提供了特定的声学或振动响应。例如,如果发生断裂、变形或其他故障时,声发射传感器可以检测到由该事件所引起的高频率脉冲串。噪声检测器,用于检测工艺组件的泄漏或变化,例如蒸汽疏水阀、管道、阀门和压力容器。
AE(声发射)是由从原材料内能量的快速释放而产生的一弹性波,所引发的一种现象,其范围通常在20kHz和1mHz之间[3]。弹性波通过固体传播到表面,然后它可以被一个或多个传感器记录下来。该传感器将机械波转换成电信号,以这种方式获得可能来源的存在和位置信息。
AE不同于主动探测结构的超声波探伤。声发射监听活性缺陷,当超出其服务的负载验证测试时,声发射对缺陷的活性是很敏感的。AE是一种有效的分析调查材料的局部损伤的方法。与其他无损检测技术相比,AE的一个优点是在整个负载的过程中可观察损伤,且不对试样有任何干扰。
AE的缺点是,商业AE系统只能定性估计材料造成了多大的损害及组件的耐久时间。所以,仍然需要用其他无损检测方法做更深入的检查,并提供定量结果。此外,服务环境一般都非常嘈杂,而AE信号通常非常薄弱。因此,信号鉴别和噪声削减是非常困难的,但对于成功的AE装置又是非常重要的。
很多不同的测试可得出结论,在反应堆冷却剂系统环境可以克服这一困难。
目前技术较成熟的AE探测装置生产商包括Physical Acoustics,Acoustic Emission Consulting,Matrix Inspection & Engineering及Margan等。
2.4 带状湿度传感器
带状湿度传感器的泄漏监测为一连续监测方法。它包括一个传感元件,通常是放在工艺管道保温层的附近。
传感元件被水分激活时提供电学信号,它可用于产生报警信号的指示装置。这些传感器可以迅速检测出安装管道上的泄漏,根据各自带的长度,可相当精确地定位出泄漏的区域。然而,泄漏量是不能被测量的。图6描述了典型湿度敏感带的安装方法。

3 泄露检测技术发展趋势
20世纪80年代至今,核反应堆管道和压力容器的设计采用破前泄露分析技术(LBB),而LBB分析技术的重要前提是对反应堆的泄露情况进行可靠、高灵敏的监测。近年来,泄露监测技术的发展趋势可以归纳为以下几点:
(1)目前硼酸泄漏的监测仍以局部监测为主,声发射等新的检测技术,使一回路整体泄漏监测成为可能;
(2)计算机技术的发展,可采用各种复杂算法对泄漏信号进行分析处理,响应速度、灵敏度和可靠性不断提高;
(3)结合无损检测和泄漏监测技术,既能发现早期的腐蚀、应力集中、裂纹扩展等问题,又能及时发现泄漏,及时报警异常情况,综合性的监测系统是泄漏监测技术发展的方向。
更多关于材料方面、材料腐蚀控制、材料科普等方面的国内外最新动态,我们网站会不断更新。希望大家一直关注中国腐蚀与防护网http://www.ecorr.org
责任编辑:王元
《中国腐蚀与防护网电子期刊》征订启事
投稿联系:编辑部
电话:010-62313558-806
邮箱:fsfhzy666@163.com
中国腐蚀与防护网官方 QQ群:140808414
免责声明:本网站所转载的文字、图片与视频资料版权归原创作者所有,如果涉及侵权,请第一时间联系本网删除。
官方微信
《中国腐蚀与防护网电子期刊》征订启事
- 投稿联系:编辑部
- 电话:010-62313558-806
- 邮箱:fsfhzy666@163.com
- 中国腐蚀与防护网官方QQ群:140808414



