

聚酯树脂/TGIC体系粉末涂料衍生了低光粉末涂料系列、低温固化粉末涂料系列、透明粉末涂料系列以及超耐候粉末涂料系列,如低光粉末涂料系列中加入PE蜡粉,形成最低可达到30~40%的半光粉末;低温固化粉末涂料系列采用含固化促进剂的聚酯等。
但是,异氰尿酸三缩水甘油酯固化剂的毒性具有较多争议,欧洲国家逐渐限制其使用(占世界耐候粉末市场的35~40%),但美国市场允许使用,国内市场仍为占据绝对优势的粉末品种。
(2)聚酯树脂/HAA体系[7]
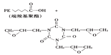
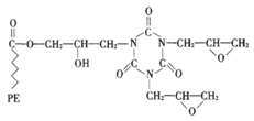
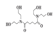
因TGIC固化剂毒性问题和环保需求,出现了聚酯树脂固化剂β-羟烷基酰胺(HAA)(如PrimidXL552)。β-羟烷基酰胺反应活性比TGIC固化剂强,聚酯树脂/HAA体系在较低温度下可以固化,其粉末涂料储存稳定性能比TGIC好,耐候性与聚酯树脂/TGIC体系相当,但耐热性比TGIC差,易引起涂膜黄变[6]。聚酯树脂/HAA体系粉末涂料固化时释放低分子化合物,涂层过厚易出现针孔。聚酯树脂/HAA体系粉末涂料在磷酸盐处理钢铁基材上的涂膜耐腐蚀、耐酸雾(SO2)、耐潮湿性较差,可能是因HAA存在4个活化基团,活性高,低温固化,造成熔融状态下润湿性不好,这种不充分润湿的涂膜,最终造成耐蚀性等不好[6]。固化剂β-羟烷基酰胺为淡黄至白色粉末,熔点120~126,羟值80~90mgKOH/g,其生产商主要有Rohm and Hass、瑞士EMS、台湾优美特、南海药化、牛塘、鞍山等厂家生产。



图5 甲基丙烯酸缩水甘油酯(GMA)的化学结构式

图6 粉末涂料在空调领域的应用


图7 粉末涂料在汽车领域的应用
更多关于材料方面、材料腐蚀控制、材料科普等方面的国内外最新动态,我们网站会不断更新。希望大家一直关注中国腐蚀与防护网http://www.ecorr.org
责任编辑:王妮
投稿联系:编辑部
电话:010-62313558-806
中国腐蚀与防护网官方QQ群:140808414
免责声明:本网站所转载的文字、图片与视频资料版权归原创作者所有,如果涉及侵权,请第一时间联系本网删除。
官方微信
《中国腐蚀与防护网电子期刊》征订启事
- 投稿联系:编辑部
- 电话:010-62316606-806
- 邮箱:fsfhzy666@163.com
- 中国腐蚀与防护网官方QQ群:140808414



