目前,高体积分数的连续二维组件的对准和装配对于二维材料技术仍具有一定挑战性。由美国麻省理工学院化学工程系 Michael S. Strano等人使用堆叠的方法来生产对齐的石墨烯/聚碳酸酯复合材料,该材料由320个约0.032mm - 0.11mm厚的平行层组成,显著增加了有效的弹性模量和强度,而且体积分数仅为0.082%。类似的横向剪切滚动的方法生成了阿基米德螺旋纤维,得到可伸缩的断裂伸长率为110%,大于芳纶的30倍之多。该复合材料保留了沿石墨烯平面轴导电的各向异性。在大量减少体积分数的情况下这些复合材料可以保证高机械强度,电学和光学性能。
纳米复合材料的概念是由观察得到的,填料颗粒增强加固否则就是像聚合物一样形成轻而坚固的复合材料(软性材料)。Eshelby首先从数学上证明了在固体中形成椭球“包裹体”的可能性。然而,事实证明把纳米颗粒插入有明显间隙但排列紧密的材料内是非常困难的。对于具有各向异性纳米粒子,如血小板、纳米纤维或碳纳米管,在在一个非常低的体积分数的时候增加的填料也可以增强机械强度,因为颗粒可以沿着倾斜应变轴排列。对于板填料如石墨烯或其他二维材料,唯一的限制可以认为是纵横比,对齐的板接近无穷大。往最小的板添加每单位质量材料的时候,紧密排列、半无限大的纳米或原子板厚接近最大的机械强度。用化学气相沉积法去创造单元电池或原子薄层如石墨烯或其他二维材料去检测a趋于无穷的限制的可能性最近才成为可能,这些材料可以跨越做测试用复合材料的最大维度。在这项工作中,我们介绍了两个制造方法,可以把薄层分子和大的复合材料层叠加,处理的规模呈指数级增长。一种类似的剪切滚动方法创建了阿基米德单层滚动纤维。这种生产材料的方法在结合了最小体积分数填料的电学和光学性质的同时,展示了a趋向于无穷时的限制。
图1 用对齐的半无限大的CVD石墨烯来制备 G / PC复合材料


(A)4 J堆积法构造4 J复合材料:(I)自旋PC溶液涂层和蚀刻铜;(II)堆积i层G/ PC薄膜;(III)切割并折叠;(IV)在37Mpa和155℃堆叠和热压(B到D)由i=9(3570 nm /层,V G≈0.009%)平面组成的复合材料的SEM图像,分别取J = 1和J = 2(E)横向剪切滚动纳米复合纤维的方法(E1)铺在Si/SiO2基上的G / PC薄膜。(E2)薄膜的一端由于玻璃毛细管而产生折叠。(E3)薄膜受到两Si/SiO2片的横向剪切力开始滚动。(E4)滚动纤维的横截面为阿基米德螺旋形。(F)纤维2的光学显微镜图像,直径(d)= 160+ 4μm。(G到I)横截面直径d = 131+3μm的纤维的SEM图像。比例尺分别为 20、 10 和 5 毫米。
图2 G/PC复合材料的拉曼光谱研究

(A)G / PC复合材料的拉曼光谱(1层)和PC矩阵控制。2D峰值强度和G峰值强度的比值(I2D/ IG)= 2.1,表示了单层石墨烯的单层性质。在1350cm?1处的D带说明了cvd石墨烯多晶的性质,共振增强后的石墨烯拉曼截面是PC的18000倍大(fig. S4A)(B)G / PC复合材料在i分别取1、9、144时的拉曼光谱(V G≈0.030%);光谱强度进行归一化处理。(C)G / PC 复合材料在V G≈0.009和0.030%时的-lg(I2D / n)除以n的图形。
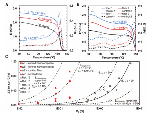
图3 G /PC平面和滚动纤维纳米复合材料的力学特性


(A)2个40层复合材料平面分别在VG≈0.185、VG≈0.082%和PC矩阵控制(应变振幅= 0.34%;频率为1 Hz)条件下,储能模量(E′)和损耗模量(E′′)随温度变化的曲线。(B)纤维1(VG≈0.185%、control-1)和纤维2(V G≈0.082%、control-2)在类似的涡旋结构下E′和E′′随温度的变化曲线。(C)对于PC矩阵,弹性模量的变化增量(DE和DE′)△E除以VG(平面复合材料和不同G/PC复合材料中的滚动纤维报道数据)得到的曲线。虚线由Mori-Tanaka理论预测。(D)理想的伸缩机构。(I)实际上,变形发生在大部分纤维的内部,而不是靠近纤维的末端;滚动纤维2在拉伸时的光学图像,在应变为60%时d = 120±2μm(II)、断裂(III和IV);滚动纤维(control-1)和断裂时(V)的扫描电子显微镜图像,表现失败时层的分离。(E)具有相似涡旋结构的两种复合纤维及其PC控制纤维的真应力-应变响应曲线图。
图4 平面复合材料电学性能的研究

(A)用于同时检测G / PC复合材料、(安装在电动平移台系统的)钨探针的电学性能的显微系统,该探针的柄直径为80mm,轴尖端直径直径为100nm。随着导电探针逐层的接触石墨烯,探针通过每层时导电分别增加。(B)由于探针和G/PC表面周期性的接触和脱离,电流也形成相应周期。微探针的速度保持在1mm/s(下)和–1mm/s(上)交替,在10砂电压=1.0mV的时间跨度。淡蓝色的区域表示探针和复合表面之间的接触时间。(C)在探针运动过程中(1mm/s,1mV),电流随深度的变化曲线。和三个类似的G/ PC复合材料样品的穿透过程曲线(V G≈0.003%、四层)。(D)测得的电流信号值分布(计数)的直方图分布(c中红色)。(E和F)典型的电子探针穿孔复合膜形成断裂部位的扫描电镜图像;比例尺分别为20毫米和10毫米。
免责声明:本网站所转载的文字、图片与视频资料版权归原创作者所有,如果涉及侵权,请第一时间联系本网删除。
官方微信
《腐蚀与防护网电子期刊》征订启事
- 投稿联系:编辑部
- 电话:010-62316606-806
- 邮箱:fsfhzy666@163.com
- 腐蚀与防护网官方QQ群:140808414



