1. 前言
为使结构件小型轻量化,正在加紧进行结构件采用TS1000MPa以上的超高强度钢的应用研究。TS1000MPa超高强度钢在大气环境下因微量氢的渗入可能产生叫做延迟断裂的氢脆现象。为安全有效地使用超高强度钢,在钢材使用前对钢材能否发生延迟断裂进行评价和预测十分重要。对钢材的抗氢能力评价和钢材使用中氢渗入特性评价是评价钢材延迟断裂发生可能性的重要内容。目前有许多关于这方面评价的方法和提案。例如,Yamasaki等人采用极限扩散性氢浓度HC(钢材不发生断裂的最大扩散性氢浓度)概念,提出了极限扩散性氢浓度HC大于钢材的渗入氢浓度HF(使用中渗入钢材内的扩散性氢浓度)时,不发生延迟断裂的评价方法。此外,Kushida等人求出钢材在使用环境下的氢渗透系数和在该环境条件下进行充氢使钢试样断裂的断裂应力,以此来评价延迟断裂是否发生。本文对第一种评价方法中的极限扩散性氢浓度的测定方法进行了研究。
测定极限扩散性氢浓度的方法有恒定负荷试验(CLT)、低应变速度试验(SSRT)、常规应变速度试验(CSRT)、4点弯曲试验等方法。在这些测定方法的可靠性和利用这些方法对钢材特性进行评价方面已经进行了许多研究。但是各种测定方法得到的极限扩散性氢浓度和氢脆断裂极限应力的差别尚不明了。本文研究的目的是查明这些测定方法得到的极限扩散性氢浓度和氢脆断裂极限应力的差别。为此使用同一种试验材料,利用CLT、SSRT、CSRT方法求出氢脆断裂极限应力,并对这些试验结果进行比较。
2. 试验方法
2.1 试验用材和试样形状
试验用材是通用的高强螺栓钢SCM435和近年来开发的延迟断裂性优良的含V钢。这种含V钢利用微细析出物作为氢陷阱。表1是试验用材的化学成分。
表1 试验用钢的化学成分(%)

以SCM435钢锭为原料,拔丝到直径10mm的线材,然后对10mm线材进行图1所示的高频热处理。热处理后的SCM435线材记做S11钢。S11钢的拉伸试验结果列于表2。
表2 试验用钢的力学性能

(SCM435:标距长度100mm、平行部直径10mm;V钢:标距长度56mm、平行部直径8mm。)
用实验室真空熔炼方法制作表1所示成分的V钢钢锭,将钢锭锻造成直径16mm的棒材,对棒材进行920℃×60min加热、空冷的正火处理。正火后再进行图2所示的热处理。热处理中的150℃×30min的预回火的目的是防止试料在淬火和回火之间的时间间隔内产生裂纹。热处理后的V钢记做V14钢。V14钢的拉伸试验结果列于表2。

图3是氢脆试验试样的形状和尺寸。为了模拟高强螺栓螺纹部位的应力集中,氢脆试样的形状为环形缺口圆棒。试样直径8mm、缺口深度1mm、缺口底部直径6mm、缺口底部曲率半径0.12mm、缺口底部应力集中系数是5。

2.2 氢脆敏感性评价方法
本研究用CLT、SSRT、CSRT三种方法对试验钢进行氢脆敏感性评价。
2.2.1 恒定负荷试验
恒定负荷试验(CLT)是对充氢试样施加恒定负荷,考察试样断裂应力与试样氢浓度关系的试验方法。本研究的恒定负荷试验试样中的高浓度氢试样的充氢由新日铁住金(NSSMC)完成,采用的充氢方法是阴极电解充氢。低浓度氢试样的充氢由高周波热处理(NC)完成。采用的方法是FIP法。FIP法的充氢溶液是硫代氰酸铵(NH4SCN)水溶液。
阴极充氢方法以3%NaCl+(0.1~0.2g/L) NH4SCN水溶液为充氢溶液,进行18小时充氢。充氢中通过调整电流密度和NH4SCN浓度,改变充氢量。对充氢后的试样进行镀Zn,防止氢的散逸。然后将S11和V14充氢试样在室温下分别放置3小时和96小时,使试样内的氢均匀化。恒定负荷试验结束后,清除试样表面的Zn镀层,测定试样中的氢浓度。
FIP法进行充氢时,通过在0.25~20%范围内调整NH4SCN溶液浓度,改变试样中的氢浓度。对试样施加负荷后,将50℃NH4SCN水溶液注入试验装置的容器内,开始进行恒定负荷试验。如图4所示,试验装置的容器为双层结构。在NH4SCN水溶液的周围有温水循环,使NH4SCN水溶液的温度保持在50℃。该试验方法是在试样施加负荷后开始充氢,所以在试验过程中试样的氢浓度不断增加。鉴于这种情况,本研究进行了预备试验。预备试验是将S11和V14钢试样在无负荷状态下浸渍在1%和20%NH4SCN水溶液中,考察试样的浸渍时间和扩散性氢浓度的关系。浸渍法充氢试样的扩散性氢浓度测定时,先用1000#砂纸将试样表层的腐蚀产物研磨清除掉,然后再进行扩散性氢浓度的测定。

进行恒定负荷试验时,将未充氢的环形缺口圆棒试样的最大拉伸应力做为基准,设定恒定负荷试验的负荷应力。S11钢的未充氢的环形缺口圆棒试样的最大拉伸应力是1663MPa,其恒定负荷试验的负荷应力分别设定为1497MPa(0.9倍)、1330MPa(0.8倍)、993MPa(0.6倍),V14钢的未充氢的环形缺口圆棒试样的最大拉伸应力是2023MPa,其恒定负荷试验的负荷应力分别设定为1618MPa(0.8倍)、1299MPa(0.6倍)。恒定负荷试验在上述的负荷应力下进行。环形缺口圆棒试样的最大拉伸应力σ(MPa)用(1)式进行计算。
σ=P/28.3……(1)
式中,P(N):最大拉伸负荷;28.3(mm2):试样缺口处的面积。
对试样施加负荷后100小时试样未断时,将试验停止。对在各浓度NH4SCN水溶液中浸渍100小时的无负荷试样进行试样氢浓度的测定。测定前用1000#砂纸将试样表层的腐蚀产物磨清除掉,然后再进行扩散性氢浓度的测定。将该测定值做为试样中的扩散性氢浓度。试样的氢浓度测定方法是气体色层分析仪热析氢法。
2.2.2 SSRT
对充氢试样进行低应变速率拉伸试验,根据试样氢浓度与断裂应力的关系,对钢的氢脆敏感性进行评价。由于试样是环形缺口圆棒试样,所以不能严密地定义缺口部位的应变速度。因此该试验称为低速拉伸试验更准确一些。由于一般将低位移速度拉伸试验称为SSRT,所以本试验也叫做SSRT。进行低速拉伸的原因是使试验中有足够的时间,发生应力诱发氢扩散,并获得对应于试样内应力分布的氢浓度分布。利用充氢试样的SSRT,可以获得较大氢浓度范围内的断裂应力的变化,因此可以对钢的氢脆敏感性进行评价。可以预计该方法得到的断裂应力和氢浓度的关系与恒定负荷试验(CLT)得到的负荷应力和极限扩散性氢浓度的关系一致。
对S11和 V14钢氢脆敏感性评价的SSRT试验由新日铁住金(NSSMC)和物质·材料研究机构(NIMS)完成。
用阴极电解法对SSRT试样进行充氢。新日铁住金进行的充氢条件是,溶液: 3%NaCl+(0~3g/L) NH4SCN;电流密度:0.3~2.0A/m2;充氢时间:18小时。物质·材料研究机构进行的充氢条件是,溶液:3%NaCl+3g/L NH4SCN或 0.1mol/L-NaOH;电流密度:0.4~6.25A/m2;充氢时间:72小时。在上述两种充氢方法中,通过改变溶液和电流密度,获得不同的充氢量。为了防止试样在SSRT试验中氢的散逸,在新日铁住金充氢试样上镀Zn,在物质?材料研究机构充氢试样上镀Cd。将镀层后的S11试样在室温下放置96小时,使试样内的氢均匀化。由于V14试样充氢时间长达72小时,可以认为在充氢过程中氢已经达到均匀化的程度,所以镀Cd后的V14试样不需要放置一段时间即可进行SSRT试验。
SSRT试验的十字头位移速度是0.005mm/min。试验后,新日铁住金用气体色层分析仪对热析氢法析出的氢进行分析,物质?材料研究机构用四重极质量分析器对热析氢法析出的氢进行分析。
2.2.3 CSRT
SSRT氢脆评价方法的应变速度很小、试验时间很长、试验中使应力诱发氢扩散时时处于平衡状态。与此不同,CSRT应变速度是常规拉伸试验速度,因此可以忽略应力诱发的氢扩散。为了用试样的平均氢浓度表示试样氢脆裂纹起点的氢浓度,试验前预先将试样充氢到饱和的程度。
环形缺口圆棒试样CSRT法对S11、V14的氢脆特性研究由几个研究机构进行。CSRT法的S11氢脆特性研究由上智大学(SPU)、新日铁住金、三菱制钢(MSW)进行。CSRT法的V14氢脆特性研究由上智大学、新日铁住金、物质·材料研究机构进行。用硅酮树脂涂敷在环形缺口圆棒试样的螺纹部,对包括缺口在内的20~40mm试样部位进行阴极电解充氢。电解液是3%NaCl+3g/L NH4SCN或0.1mol/L-NaOH,电流密度变化范围0.25~80A/m2、以获得范围很大的充氢量。本研究中的S11环形缺口圆棒试样充氢饱和的时间是72小时左右,V14环形缺口圆棒试样充氢饱和的时间是120小时左右。各研究机构的S11试样实际充氢时间是,上智大学:72~144小时;新日铁住金:144小时;三菱制钢:72小时。各研究机构的V14试样实际充氢时间是,上智大学:120小时;新日铁住金:144小时;物质?材料研究机构:336小时。
试样充氢后立刻进行CSRT试验。试验的十字头位移速度是1mm/min。试验后,切取试样断口部分,用气体色层分析仪或四重极质量分析器对热析氢法析出的氢进行分析。用SEM查明断口的断裂形态。
2.3 氢分析方法
用气体色层分析仪或四重极质量分析器对热析氢法析出的氢进行分析得出试样中的扩散性氢浓度。热析氢法的升温速度是100℃/h。将300℃以下的析氢曲线第一峰值结束前的氢析出总量做为试样中的扩散性氢浓度。
3. 试验结果
3.1 氢的吸储行为
阴极电解充氢试样的热析氢分析结果是,S11的热析氢曲线的峰值温度为100℃左右。该峰值温度与抗拉强度1300MPa、1500MPa的相同种类的SCM钢的热析氢曲线的峰值温度相同。V14的热析氢曲线如图5。试样充氢量少时,曲线峰值温度约为150℃;试样充氢量多时,曲线峰值温度约为100℃。出现这种情况的原因是,V14钢中有微细VC析出物等氢捕获能大的氢陷阱,试样中充入的氢首先进入强氢陷阱,然后随着充氢量的增加,氢进入弱氢陷阱。
3.2 恒定负荷试验
作为恒定负荷试验的预备试验,首先对试样在无负荷状态下,进行1%和20%NH4SCN水溶液浸渍充氢,得出试样的浸渍时间和扩散性氢浓度的关系(图6)。从图中可知,S11试样在两种NH4SCN水溶液浸渍充氢中,当充氢时间小于20小时时,试样的扩散性氢浓度随充氢时间的延长而增加,20小时以后,扩散性氢浓度达到稳定值。可以认为,在充氢后的20小时时,试样内的扩散性氢浓度基本上达到均匀化。V14试样的扩散性氢浓度随充氢时间的延长而增加,因此认为,在充氢过程中,V14试样的扩散性氢浓度是不断增加的。

图7是恒定负荷试验中,S11和V14钢的扩散性氢浓度-断裂时间曲线的一个例子。S11和V14钢的断裂时间都随扩散性氢浓度减少而延长。图8是S11和V14钢的临界扩散性氢浓度与附加应力的关系。图中的空心符号是测定得到的断裂试样扩散性氢浓度的最小值,实心符号是测定得到的未断裂试样扩散性氢浓度的最大值。作为参考,图中还有未充氢的环形缺口圆棒试样抗拉强度。S11和V14钢的断裂应力都随扩散性氢浓度的增加而降低。在同一扩散性氢浓度情况下,V14钢的断裂应力大于S11。
![]()

3.3 SSRT
图9、图10分别是S11钢和V14钢的试样缺口处的公称断裂应力和试样内平均扩散性氢浓度的关系。公称断裂应力由SSRT试验获得,平均扩散性氢浓度由热析氢法获得。S11钢和V14钢的公称断裂应力都随扩散性氢浓度的增加而下降。SSRT试验由物质?材料研究机构、新日铁住金两个研究机构完成。这两个机构得到的S11钢的公称断裂应力和扩散性氢浓度的关系趋势相同。

材料研究机构的SSRT试样断口裂纹起点周围的断口形貌是,在图中低氢浓度侧为准解理断口(QC),高氢浓度侧为准解理断口内混有原始奥氏体晶界裂纹(IG)的断口形态。上述的低、高氢浓度的分界值约为0.5ppm。在图中低氢浓度侧,公称断裂应力都随扩散性氢浓度的增加而下降得比较缓慢,高氢浓度侧公称断裂应力下降得比较快。这种变化趋势与同强度含B回火马氏体钢的SSRT试验结果相同。结合断口观察结果可以认为,IG一旦产生断裂应力急剧下降。
对于V14钢来说,由于微细析出的VC起着氢陷阱的作用,所以在相同充氢条件下,V14试样的充氢量明显大于S11。一般情况下,抗拉强度高的材料充氢引起的断裂应力下降量大于抗拉强度低的材料。与此不同,在相同充氢量的条件下进行比较,V14的公称断裂应力显著大于S11。
3.4 CSRT
图11、图12分别是S11、V14的CSRT试验得到的试样缺口公称断裂应力与试样扩散性氢浓度的关系。CSRT试样的平均氢浓度HCSRT=试样断裂起点处的氢浓度H※。三个研究机构得到的公称断裂应力与试样扩散性氢浓度的关系基本相同。这说明CSRT试验是影响因素较少的试验方法。此外,在相同充氢量的条件下进行比较,V14的公称断裂应力大于S11。S11和V14的公称断裂应力与试样扩散性氢浓度的关系曲线分别以氢浓度2.5~3.0ppm和5ppm为分界,分成两段曲线。在低氢浓度区,断裂应力随氢浓度的升高而缓慢下降,在高氢浓度区,断裂应力随氢浓度的升高而显著下降。断裂应力的显著下降与断口形貌的变化相对应。在低氢浓度区,距试样断裂处的缺口前端几十纳米范围内,断口形貌以准解理为主,在高氢浓度区,断口是准解理和原始奥氏体晶界裂纹的混合形貌。因此可知,CSRT试验的试样断口形貌与试样的扩散性氢浓度有关。准解理和原始奥氏体晶界裂纹的混合形貌的断裂应力下降量很大,说明氢脆敏感性高。

4. 试验结果的分析
图13、图14分别是CLT、SSRT、CSRT法求得的S11和V14的氢脆特性,即扩散性氢浓度和缺口断面公称断裂应力的关系。对于CLT试验结果,在图中画出断裂试样的最小扩散性氢浓度,并用误差范围表示未断裂试样的最大扩散性氢浓度。CSRT是未发生应力诱发氢扩散的短时氢脆评价方法,所以,在相同断裂应力情况下,CSRT试样的扩散性氢浓度大于其他评价方法。此外,CLT和SSRT试验得到的断裂应力与扩散性氢浓度的关系基本相同。CLT和SSRT试验都有使应力诱发氢扩散的充分时间,因此试样内的扩散性氢浓度分布状态与应力分布相对应,直到试样断裂。两种试验方法的上述扩散性氢浓度分布状态相似,所以两种试验方法得到的断裂应力与扩散性氢浓度的关系基本相同。

SSRT和CSRT试验得到的试样扩散性氢浓度和断裂应力的关系都因断口形貌的不同而变化。试样扩散性氢浓度较小时,断口形貌以QC为主,随扩散性氢浓度的增加,试样的断裂应力缓慢下降。当试样的扩散性氢浓度超过某一量时,由于断口内有IG混在,断裂应力急剧下降。
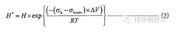
Hagihara等人用1300~1500MPa钢进行SSRT和CSRT试验,对两种方法得到的氢脆极限应力进行了比较。试验报告指出,在SSRT和CSRT试验中,试样的氢脆行为基本相同。氢脆极限应力是由断裂起点处的局部应力和扩散性氢浓度来决定的。因此本研究用同样方法推算因应力诱发扩散聚集的局部扩散性氢浓度H※。推算公式如(2)式。

式中,H:热析氢法求出的试样平均扩散性氢浓度,σh:应力集中处的静水压应力,σhmin:距试样缺口底部足够远处的静水压应力,ΔV:bccFe中氢的摩尔体积,本试验为2×10-6m3/mol,R:气体常数,T:试验温度,本试验为300K。σh用弹塑性解析方法求出,解析条件是使用Marc非线性解析软件,建立二元轴对称模型。TS以下区域的应力应变关系,采用平滑试样的拉伸试验结果。TS以上区域的应力应变关系,用n次幂硬化公式推算。
图15、16是S11和V14试样断裂起点的局部扩散性氢浓度和公称断裂应力的关系。CLT、SSRT试验的试样断裂起点的局部扩散性氢浓度是用公式(2)求出的值。在局部积累扩散性氢浓度的情况下,各种试验方法对1100MPa级S11钢的氢脆特性评价结果是,试样断裂时的扩散性氢浓度的大小顺序是CSRT>CLT>SSRT。各种试验方法对1400MPa级V14钢的氢脆特性评价结果是,试样断裂时的扩散性氢浓度的大小顺序是CLT≈SSRT>CSRT。

上述试验结果与过去的Hagihara等人试验结果不同。原因是试验用钢S11的强度不同。Hagihara等人试验用钢的抗拉强度为1300MPa级,试样断口主要产生IG,本试验用钢的抗拉强度为1100MPa级,试样断口主要是QC。也就是说,在发生断裂时,1100MPa级钢的塑性变形的作用大于1300MPa级钢。Takai等人的研究报告指出,氢和位错的相互作用会促进氢脆的发生。在SSRT试验中,钢中的位错低速运动,氢在被位错拖曳的状态下进行扩散运动,位错和氢的相互作用很大。与此不同,在CSRT试验中,钢中的位错快速运动,氢与位错没有连动,位错和氢的相互作用很小。因此,在局部扩散性氢浓度相同的情况下,CSRT试验得到的氢脆敏感性小于SSRT试验得到的氢脆敏感性。在CLT试验中,在对试样施加负荷时,位错快速运动,氢与位错的相互作用很小。但由于试验中发生松弛现象的作用,使位错发生一定的移动,因此CLT试验得到的氢脆敏感性介于SSRT试验的氢脆敏感性和CSRT试验的氢脆敏感性之间。
对于氢陷阱钢V14使用公式(2)的可靠性,有必要进行研究。CSRT是均匀添加扩散性氢浓度的试验方法。因此在进行氢脆特性评价时,应根据实际部件的应力集中度计算局部聚集的氢浓度。但是目前没有确认公式(2)用于氢陷阱钢的可靠性。因此对于扩散性氢主要被捕获到VC的含V钢来说,用(2)式计算出的局部扩散性氢浓度值与断裂时的实际局部聚集的氢浓度值会有很大差异。
5. 结论
本研究用CLT、SSRT、CSRT试验方法对SCM435(S11)钢和V添加钢(V14)的氢脆敏感性进行评价试验,得出如下结论。
(1)恒定负荷试验(CLT)由两个研究机构进行。采用的试样充氢方法是硫代氰酸铵(NH4SCN)溶液浸渍法和阴极电解充氢法。试验表明,两种不同方法充氢试样的断裂应力都随充氢量的增加而下降。
(2)低应变速度试验(SSRT)由两个研究机构进行,得到的扩散性氢浓度与公称断裂应力的关系相同。S11钢的扩散性氢浓度小于0.5ppm时,SSRT试验的试样断口为准解理断口(QC),扩散性氢浓度大于0.5ppm时,SSRT试验的试样断口为原始奥氏体晶界裂纹断裂断口(IG)。IG断口的公称断裂应力显著下降。
(3)常规应变速度试验(CSRT)由三个研究机构进行,得到的扩散性氢浓度与公称断裂应力的关系相同。S11和V14的公称断裂应力与试样扩散性氢浓度的关系曲线分别以氢浓度2.5~3.0ppm和5ppm为分界,分成两段曲线。在低氢浓度区,断裂应力随氢浓度的升高而缓慢下降,在高氢浓度区,断裂应力随氢浓度的升高而显著下降。在试样的扩散性氢浓度相同情况下,CSRT试验的公称断裂应力小于SSRT试验的公称断裂应力。
(4)在各种试验方法中,在相同的充氢条件下,V14的扩散性氢浓度大于S11。在扩散性氢浓度相同的情况下,V14的公称断裂应力大于S11。
(5)在CLT、SSRT、CSRT三种试验方法中,CLT和SSRT是考虑到氢扩散的试验方法。所以这两个方法得到的扩散性氢浓度与公称断裂应力关系相同。此外,在考虑静水压应力场引起的氢扩散聚集情况下,对局部扩散性氢浓度进行计算的结果表明,在公称断裂应力相同条件下,S11钢各种评价试验试样的局部扩散性氢浓度的大小顺序是CSRT>CLT>SSRT。V14钢各种评价试验试样的局部扩散性氢浓度的大小顺序是CLT≈SSRT>CSRT。
更多关于材料方面、材料腐蚀控制、材料科普等等方面的国内外最新动态,我们网站会不断更新。希望大家一直关注中国腐蚀与防护网http://www.ecorr.org
责任编辑:王元
《中国腐蚀与防护网电子期刊》征订启事
投稿联系:编辑部
电话:010-62313558-801
邮箱:ecorr_org@163.com
中国腐蚀与防护网官方 QQ群:140808414
免责声明:本网站所转载的文字、图片与视频资料版权归原创作者所有,如果涉及侵权,请第一时间联系本网删除。
-
标签: 高强钢, 氢脆, 高强钢氢脆性评价方法
官方微信
《腐蚀与防护网电子期刊》征订启事
- 投稿联系:编辑部
- 电话:010-62316606-806
- 邮箱:fsfhzy666@163.com
- 腐蚀与防护网官方QQ群:140808414



