作为轻质材料中的关键体系——钛合金在航空航天与高端装备领域有着广泛的应用,但在结构制件的服役过程中,钛合金的强塑协同难题始终是限制其进一步应用的关键瓶颈。传统Ti-5553属于典型的高强β钛合金,可通过热处理获得优异强度,但往往伴随塑性显著下降,而Ti-42Nb则完全相反,其具有极低弹性模量与良好延性,却难以承担高载荷场景。近年来,开始有研究人员提出异质结构(heterostructure)是解决强塑矛盾的新路径,尤其在金属增材制造(AM)中,通过在微米尺度上精确堆叠不同成分合金,材料有望同时实现:软硬区域的应变协同、界面诱导的应力传递/应变分配机制、强度、延展性、刚度的可调控化。
2025年11月26日,巴西坎皮纳斯大学与圣保罗联邦大学的联合团队在增材制造领域的国际期刊《Additive Manufacturing》在线发表了题为“Tailoring Strength and Ductility in Ti-5553/Ti42Nb Layered Heterostructures Produced by Laser Beam Powder Bed Fusion”的研究性论文,团队利用PBF-LB(激光选区熔化)制备了Ti-5553/Ti-42Nb分层异质结构材料,并系统分析其微观结构演化、相组成、热处理行为、界面扩散、力学性能与断裂机制,展示出一种能够同时提升强度、延展性与可调刚度的增材制造新策略。
文章链接:
https://doi.org/10.1016/j.addma.2025.105033
【核心内容】
该研究构建了由Ti-5553/Ti-42Nb交替叠层组成的微米级异质结构合金。对于异质结构而言,界面处往往会成为材料的性能薄弱点,而在该研究中,团队发现,材料界面处形成平滑成分梯度的过渡区(约100 μm),该过渡区显著提高了界面的强韧性并避免分层,同时宏观柱状晶生长被界面阻断,整体织构强度降低,减少了增材制造常见的各向异性问题。团队进一步发现,通过固溶+不同温度时效,该异质结构材料可在65-94 GPa范围内实现弹性模量可调,即便是未热处理(as-built)状态,同样能够获得约780 MPa强度与>10%延展性。
图形摘要
【研究方法】
研究团队基于双料斗PBF-LB装置,采用10层(300 μm)Ti-42Nb与10层(300 μm)Ti-5553的交替沉积策略,成功获得高致密(孔隙率< 0.5%)异质结构。通过SEM、EBSD、EDS进行显微组织表征,凭借热膨胀分析评价材料的相变行为,通过Thermo-Calc+DICTRA进行扩散模拟,力学性能方面,以显微硬度和单轴拉伸为评价手段,并结合SEM进行断口分析,从实验和理论上对α析出与氧扩散行为进行了深入解释。
PBF-LB设备示意图
【研究成果】
① 成分梯度界面形成稳定结合并显著提升界面韧性
Ti-5553与Ti-42Nb的异质层在熔池强对流作用下形成了约100 μm宽的成分梯度界面,该过渡区中Ti、Nb、Mo、Cr、Fe、Al的变化连续平滑,没有出现元素突变或局部富集现象,从显微结构上看,界面区域未出现孔洞、分层、熔池撕裂等增材制造常见问题,这表明两种合金在界面处实现了高度互融,梯度区在拉伸过程中可起到缓冲载荷的作用,使塑性分配更均匀,从而显著增强界面的抗裂能力。
Ti-5553/Ti-42Nb异质结构界面成分分布图
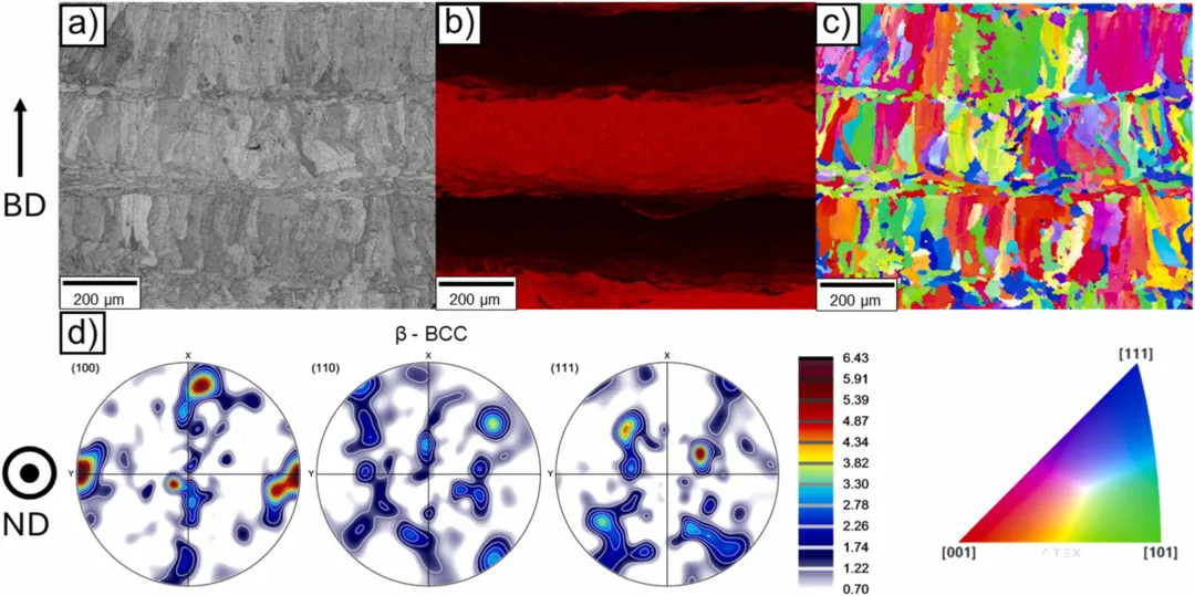
② 异质结构阻断柱状晶连续长大并有效削弱织构
单一Ti-5553在增材制造中通常出现明显的熔池重叠与柱状晶连续长大,而异质结构的Ti-42Nb层在几何上与成分上都能有效打断这种生长路径,EBSD结果进一步证实异质结构形成了“分段晶粒”模式,使柱状晶不再沿垂直方向贯穿整个厚度。此外,异质结构材料的主织构强度显著低于单一Ti-5553,意味着材料变形行为不再受特定晶体取向主导,从而减少各向异性的敏感性。
拉伸试样几何形状及加载方向示意图
Ti-5553/Ti-42Nb异质结构的EBSD分析图
③ 异质界面调控 α 相相变
Ti-5553单相材料在300-500 ℃范围存在明显膨胀,对应ω→α相转变,而异质结构样品在同一区间反而出现轻微收缩。这种“相反方向的体积演变”表明Ti-42Nb层对相变体积效应产生约束,使α相生成更局域、分布更均匀。在升温过程中Ti-5553层与Ti-42Nb层的热响应差异显著,而界面处的成分梯度使两者热膨胀错配得到缓解。
内核平均误取向(KAM)分布图
α相体积分数计算和热膨胀曲线对比图
④ α析出可精确调控,实现“可编程的”弹性模量与强化机制
通过在不同温度条件下进行时效,能够可控地调整Ti-5553层中α的析出行为:
·500 ℃时形成大量细小α析出;
·600 ℃时α开始长大;
·700 ℃时α数量减少并趋向β+α平衡。
这一可控的析出过程使材料弹性模量可在65–94 GPa范围内按需调整,实现“可编程的机械性能”。此外,DICTRA扩散模拟揭示了界面元素扩散与α析出行为之间的定量关系,Ti、Nb、Mo等元素的扩散梯度决定了α相的优先生长区域,使强化效应主要集中在Ti-5553层,而Ti-42Nb层保持高延展性。
热处理后XRD图谱和氧扩散模拟图
Ti-5553区域时效处理后的微观结构SEM图像及α相厚度分布图
α相厚度分布直方图
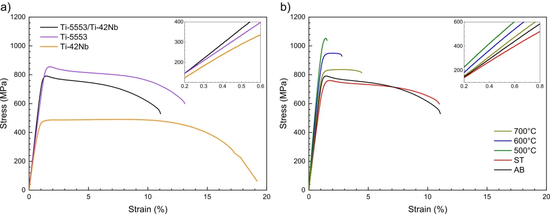
⑤ 异质结构无需热处理即具强-韧平衡
异质结构在未热处理状态即实现了773 MPa屈服强度、781 MPa抗拉强度与>10%延伸率,在现有报道的β钛合金体系,这样的性能组合通常需要经过精确时效才能获得,而在本研究中团队提出的异质层间“应变协同”的策略可使材料在未热处理的前提下便自然实现该性能。
Ti-5553/Ti-42Nb异质结构的应力-应变曲线对比图
材料的硬层与软层之间不存在突然的硬度跳变,而是呈现梯度式变化,这强化了塑性流动的均匀分配机制,Ti-42Nb层形成深韧窝;Ti-5553层呈现浅韧窝+解理片的混合断裂,界面区域未发现脱层或分层破坏,这一断裂模式说明材料在拉伸过程中经历了“软区先屈服、硬区后抗拉、界面稳固”的协同破坏行为,保证了结构完整性与可靠性。
维氏硬度和氧含量分布图
拉伸断口SEM图像
【总结与展望】
该研究提出了一种新型的Ti-5553/Ti-42Nb增材制造异质结构策略,通过材料分层与界面成分梯度设计,实现多项性能突破,该工作为航空航天结构件、可调刚度植入物、增材制造多材料结构提供了高潜力的新范式,如果未来结合工业热处理路线,该类异质结构钛合金有望进一步提升强塑协同性能。
免责声明:本网站所转载的文字、图片与视频资料版权归原创作者所有,如果涉及侵权,请第一时间联系本网删除。
官方微信
《腐蚀与防护网电子期刊》征订启事
- 投稿联系:编辑部
- 电话:010-62316606
- 邮箱:fsfhzy666@163.com
- 腐蚀与防护网官方QQ群:140808414

















