近日,辽宁材料实验室、江苏大学、南京理工大学联合在高水平期刊《scripta materialia》上发表题为“Ultrafine κ-Phase and De-Faulting Mechanisms Enables 2 GPa Strength with Ductility in a VCoNi Alloy via Ultra-fast Heat Treatment”的学术论文,陈雪飞研究员、罗锐副教授、周浩研究员为共同通讯作者。
前言
中高熵合金(M/HEA)因其特殊的设计理念和独特的力学性能受到广泛关注。不同于传统合金,M/HEA 的强化源于本征机制:显著的晶格畸变(源于原子尺寸失配)和纳米尺度成分波动,共同提升了强度和塑性。此外,强烈的元素间相互作用可促进化学短程有序,进一步阻碍位错运动并增强应变硬化能力。传统强化策略,如晶粒细化、沉淀强化、固溶强化等,在 M/HEA 中依然有效,其中沉淀强化可显著提升其强度,甚至可使屈服强度提升一倍。然而,M/HEA 中的沉淀增强仍然存在一些挑战。例如,不受控制的沉淀物大小、形状或体积分数会严重降低延展性,甚至导致脆性断裂。因此,通过精确热处理实现对微观结构控制至关重要,尤其需要快速升温和精确控温。
基于此,本研究利用 Gleeble 热模拟系统对冷轧单相VCoNi中熵合金进行超短时高温热处理。该系统可实现±0.5℃控温精度的超快速加热,确保对沉淀相精确调控。超短时热处理后的合金获得2 GPa的超高屈服强度,同时保持4%的均匀延伸率。研究发现,超细κ相的变形与高密度纳米尺度层错高度相关。这些层错协同参与κ相变形,并产生以前未报道的“退层错”机制——部分层错在变形后被恢复。更多精彩欢迎关注公众号“材料科学与工程”。
Fig. 1. Gleeble 超短时热处理:(a) 加热、冷却和控制模块的示意图;(b) 热处理过程流程图。
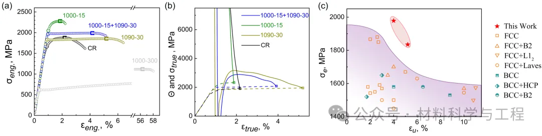
Fig. 2. 超短时热处理对VCoNi样品力学性能的影响: (a) 工程应力-应变曲线;(b)真应力-应变曲线 (σtrue) 和加工硬化曲线 (Θ);(c) 本文中VCoNi合金与类似工艺M/HEA的力学性能对比。
Fig. 3. VCoNi合金在各种超短时热处理条件下的微观组织演变:(a) 冷轧样品和超短时退火样品的 XRD相分析,其中红色圆形表示 FCC 衍射峰, 绿色菱形表示κ相衍射峰;(b-1) 和 (b-2) 为冷轧样品的IPF和相图;(c-1), (c-2), 和 (c-3) 为UST1 样品的IPF、相图和 TEM 图像;(d-1), (d-2), 和(d-3) 为UST2 样品的IPF、相图和 TEM 图像;(e-1), (e-2), 和(e-3) 为UST3 样品的IPF、相图和 TEM 图像。
Fig. 4. κ相中高密度的层错导致局部相转变为 9R 和 HCP 结构:(a) 未变形的 UST3 样品的明场像;(b-1) 至 (b-8) 一系列纳米束电子衍射图样,每个探针直径约为 20 nm,位于 (a) 中κ相的横向位置。
Fig. 5. UST3 样品拉伸变形过程中的退层错行为:(a) 未变形样品的高分辨微观结构图;(b) 在{11-1}方向对同一区域进行几何相位分析(Geometric phase analysis , GPA);(c) 图(a)中白色虚线框中原子像的放大图, 显示了高密度的层错;(d) 拉伸变形后的高分辨微观组织;(e) 对应的GPA图;(f) 图(d)中白色虚线框中原子像放大图, 显示了退层错行为的发生使部分区域恢复近乎完美的FCC晶格;(g) 和 (h) 两种“退层错”变形机制。
结论
本研究对处于单相固溶体状态的冷轧VCoNi中熵合金样品进行了 Gleeble 超短时高温热处理,精确的工艺控制诱导形成了超细 κ 相,该相能够与基体协调变形,从而实现了优异的力学协同效应——在接近 2 GPa 的超高强度水平下仍保持了必要的延展性。微观结构分析表明,即使在变形前,κ 相内部也已存在高密度的堆垛层错。这些层错呈非周期性分布,导致局部结构异质性,表现为 FCC、HCP 和 9R 相共存。变形过程中,发生了显著的“退层错”现象,即部分层错恢复。为此,研究提出了两种不同的不全位错发射机制:一种在晶粒内部起作用,另一种在晶界处起作用。分析表明,在超细晶粒微观结构中,晶界发射的不全位错对于促进“退层错”更为有效。
免责声明:本网站所转载的文字、图片与视频资料版权归原创作者所有,如果涉及侵权,请第一时间联系本网删除。
官方微信
《腐蚀与防护网电子期刊》征订启事
- 投稿联系:编辑部
- 电话:010-62316606
- 邮箱:fsfhzy666@163.com
- 腐蚀与防护网官方QQ群:140808414








