高熵合金(HEAs)是具有非稀释溶质浓度的多组分合金,保留了单相结构。各种高熵合金具有令人印象深刻的机械性能,如室温下的高屈服强度、高极限强度、高延展性和/或高断裂韧性。随着人们对此类复杂合金冶金学兴趣的增加,强化机理研究已成为一个研究课题。有人提出了一个通用理论模型,用于预测 FCC 和 BCC HEA 随温度和应变速率变化的屈服强度。该理论假定,溶质-位错相互作用驱使位错变成波浪形,以便在局部溶质排列中找到局部有利的波动,将位错段固定在这些局部环境中。然后,需要结合解析剪应力和温度来产生热激活位错滑行和体积塑性流动。随机 FCC 和 BCC 合金的理论在许多不同的合金体系中都显示出良好的一致性,并经过简化,提供了易于应用于新合金或设计新合金的解析公式。最近提出了一种具有短程有序(SRO)的多组分非稀释合金强化理论。该理论预测,除了众所周知的热强化外,SRO 对溶质-位错相互作用也有显著影响,相对于随机合金,它可以降低或提高强度。
来自瑞士洛桑联邦理工学院的学者在二元铌钨合金模型中进行了精心设计的原子模拟,以证明由于溶质-位错相互作用而产生的合金强度可以增加或减少,这取决于 SRO,并与理论预测一致。具体来说,在具有极小真实溶质-溶质相互作用的合金体系中,使用虚构的溶质-溶质相互作用引入 SRO,然后使用裸弹带(NEB)方法计算各种 SRO 水平下边缘位错运动的能量势垒。当 Warren-Cowley SRO 参数为负值(不同溶质的吸引力)时,能垒和合金强度都会降低。同一体系的理论预测与模拟结果在数量上保持了合理的一致。这些研究结果表明,SRO 有可能会降低强度,这一点出乎意料,同时也进一步验证了分析理论作为合金设计指导工具的有效性。相关工作以题为“Atomistic simulations reveal strength reductions due to short-range order in alloys”的研究性文章发表在Acta Materialia 。
论文链接:
https://doi.org/10.1016/j.actamat.2023.119471
图 1. (a) 用 EAM 电位计算的铌钽钨合金族中浓度为 50%-50%的二元合金的绝对错配体积。(b) 用 EAM 电位计算的 BCC MoNbTaW 系列的有效对电位 Veffpq 与归一化 rth 近邻对分离 dr 的有效对电位与归一化近邻对间隔的函数关系。
图 2. (a) 和 (b) 显示平均原子NbW 合金中 Nb 溶质和 W 溶质的溶质-边缘位错相互作用能量 Un sd,i。(c) 和 (d) 显示 Nb 和 W 溶质的溶质-边缘位错相互作用 Unsd,i的弹性估计值。(e) 和(f) 显示残余化学Un chem相互作用。
.
图 3. 不同 x(1) 值的蒙特卡罗模拟计算得出的两种不同元素(本文中为 W 和 Nb)之间的 SRO 参数(4 个样本的平均值和标准偏差),作为归一化 r-最近邻对分离度的函数
图 4. 平均强化应力τA直接原子模拟和使用 4 个近邻对的 SRO 进行的理论预测。相应的 SRO 参数如图 3 所示。
图 5. (a) 在 x(1)=1.3 条件下,蒙特卡罗模拟生成的位错通过一个带有 SRO 的模拟单元时的能量分布与位置关系。最小值和最大值分别标为红色和蓝色。标号对应上图所示的差排构型。(b) 位错位置 1 和 2 之间的原子构型和 NEB 计算示意图。
图 6. 位错在 +x 和 -x 方向滑行的能量势垒累积概率分布,以惰性 x(1)=0.8 产生的 SRO 系统为例。平均强化效应会使 +x 方向上的势垒偏小,通过平均两个方向上的势垒,可以消除这种效应。
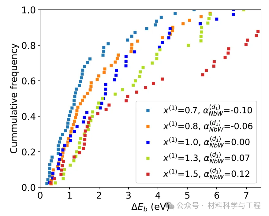
图 7. 能量势垒 ΔEb与 SRO 程度的累积概率分布,由韧度和第一相邻 WC SRO参数表征。x(1)=1.0 相当于随机合金。
本研究对带有 SRO 的 BCC 合金中边缘位错滑移的障碍进行了详细的原子研究。SRO 的一种强化效应是由于破坏 SRO 的位错滑移而产生的热强化。SRO 的第二种强化效应是由于存在 SRO 时局部溶质波动的变化而产生的热激活强度,这种变化会影响溶质-差排的集体相互作用能。我们评估了 SRO 对屈服应力的这两种主要影响,并使用合适的 EAM 势,将其与针对具有 SRO 的合金的新强化理论进行了比较。在强度变化与 SRO 程度的关系方面,理论分析与模拟之间的良好一致性表明,这种新的强化理论准确地捕捉到了 SRO 的影响。
免责声明:本网站所转载的文字、图片与视频资料版权归原创作者所有,如果涉及侵权,请第一时间联系本网删除。
官方微信
《腐蚀与防护网电子期刊》征订启事
- 投稿联系:编辑部
- 电话:010-62316606
- 邮箱:fsfhzy666@163.com
- 腐蚀与防护网官方QQ群:140808414











