导读:基于多元Ni - Co - Cr - Al - Mo - Ti - Ta - Nb - B体系,设计了一种以有序L12结构为主的新型化学复合金属间化合物合金( CCIMA )。对其氧化行为和机理进行了系统研究。在900℃和1000℃氧化导致最外层形成主要的多元尖晶石氧化物,中间层形成含有金红石型氧化物和硼氧化物的尖晶石氧化物,内层形成连续的Al2O3。此外,氧化导致基体/氧化层界面处因贫Al而发生L12相向D024相的转变。连续形成的内部Al2O3氧化物很好地保护了合金不被氧化。
具有长程有序结构的金属间化合物合金( IMAs )由于在室温和高温下都具有突出的屈服强度,在高温结构应用中具有吸引力的性能,使其成为高温环境中最具潜力的材料之一。与航空航天工业热端主要使用的传统镍基高温合金和钴基高温合金不同,有序IMA有望具有更轻的重量、更高的熔点、更好的热导率和稳定的相结构,从而为高温应用铺平道路。先进的硼掺杂Ni3Al基铝化物合金随着测试温度(低于800℃)的增加,屈服强度出现异常增加,并且在温度高于800 ° C时,也表现出比耐蚀镍基合金- X高温合金更大的屈服强度。更重要的是,有序IMA中的本征脆化可以通过可控的微合金化或宏观合金化来消除。最近,一种新设计的具有纳米无序界面的多元Ni43.9 Co22.4 Fe8.8 Al10.7 Ti11.7 B2.5金属间化合物合金不仅在室温下表现出优异的强度和塑性组合,而且在1000℃的拉伸测试中保持了相当的屈服强度( ~ 400 MPa )和良好的塑性( ~ 25 % )。多元金属间化合物合金在高温下独特的力学性能对其结构要求非常重要,而氧化是限制其高温使用寿命的主要因素之一,因此,多元金属间化合物合金的氧化行为值得进行定量和系统的研究。
一般而言,铝化物和硅化物等有序金属间化合物通常具有抗氧化和抗腐蚀的能力,因为它们能够形成致密、粘附的氧化表面膜,保护母材免受过度攻击。高合金化IMAs的氧化行为比铝化物和硅化物复杂得多,这是因为添加了许多其他合金元素。例如,含Cr、Zr、Mo和B的Ni3Al基合金在900℃~ 1100℃氧化后,氧化膜主要由外层的NiO氧化层和内层的α - Al2O3、Ni Al2O4和(单斜晶系,四方晶系) - ZrO2混合氧化物组成。因此,许多合金元素已被检查,以了解它们如何改变抗氧化性能;研究发现,在1000℃以上的热循环过程中,添加少量的Hf和Cr可以增强Ni3Al合金中氧化膜的粘附性。特别是,Cr被合金化以缓解Ni3Al基铝化物在中温下的动态脆性,因为它被容纳在L12结构中。此外,用难熔元素(如Zr、Nb、Ta、Nb、Mo、W、V、Hf等)取代Ni3Al基铝化物中的Al亚点阵具有潜在的结果,如在室温和高温下具有更高的硬度和强度,因为这些元素在Al位的位置偏好。总的来说,Cr和难熔元素的元素调控有望保持Ni3Al基合金在高温下具有更好的抗氧化性能和强化作用。在IMAs的设计中,除了金属元素外,还需要添加少量的B元素,以提高机械性能,并且由于它们在内部氧化层中的积累,可以在800 °C下对Co基和Ni基高温合金的抗氧化性能有益。
然而,每种元素的溶解度极限不同,复合合金化对相结构和相关氧化行为的影响也很少被揭示。香港城市大学材料科学与工程系的杨涛专家团队进行了相关研究,本研究在Ni3Al型金属间化合物合金中添加了Co、Cr、Nb、Mo、Ti、Ta和B等多元合金元素。B添加的动机是基于其对合金力学性能的影响,这是由于晶界强度的增加以及B和Co在晶界区域的共偏聚形成的无序纳米层。我们对一种新设计的化学复杂金属间化合物合金( CCIMA )在900℃和1000℃下的氧化行为进行了深入研究。研究了其物相结构、氧化动力学和氧化机理。揭示这一点将促进我们对金属间化合物合金的合金化机制和高温抗氧化性能的理解。这些发现将对正在尝试开发用于高温应用的抗氧化性化学复杂金属间化合物合金的社区具有实用价值。相关研究成果以“Exceptional high-temperature oxidation resistance and mechanisms of a novel chemically complex intermetallic alloy”为题,发表在Corrosion Science上。
链接:https://www.sciencedirect.com/science/article/pii/S0010938X23006492
图1 EBSD ( a )为CCIMA的反极图,( b )为CCIMA的相图,( c )为CCIMA的能带对比图,( d )为CCIMA中各组成相的SEM照片。
图2 ( a ) CCIMA的扫描透射电子显微镜( STEM )和相应的EDS图像。( b )硼化物的TEM图像和相关的选区电子衍射( SAED )图案。( c ) L12相和FCC相的TEM照片及相应的SAED图谱。
图3 ( a ) L12相组成元素的邻近性直方图。( b )对典型的APT针尖进行了三维重构,显示了L12相中的元素分布。
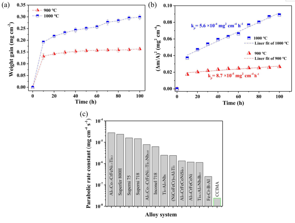
图4 CCIMA在900℃和1000℃空气条件下氧化100?h的氧化动力学:( a )增重;( b )体重增加与时间的平方。( c )目前CCIMA、高熵合金和传统高温合金的抛物线速率常数的比较。
图5 CCIMA在900 ℃空气中循环氧化100 h后的表面形貌及对应的直接作用和间接作用图谱。
图6 CCIMA在1000 ℃空气中循环氧化100 h后的表面形貌及对应的直接作用和间接作用图谱。
本研究对一种新设计的CCIMA的氧化行为进行了系统研究。CCIMA包含多组分的( Ni、Co)3( Al、Ti、Nb、Mo、Ta)型L12相,( Ta、Nb、Mo)( Co , Ni)2B型硼化物,以及富含( Ni、Cr、Co)的FCC相。CCIMA的氧化产生了多层氧化物结构,外层主要是多组分尖晶石氧化物,中间尖晶石氧化物层包括( Ti、Nb、Ta)2O4型氧化物和硼氧化物,而内层在900?℃和1000?℃处都是连续的Al2O3层。CCIMA在900?℃和1000?℃下的氧化速率极低,分别为8.7?×?10 - 5 mg2 cm - 4和5.6?×?10 - 4 mg2 cm - 4每小时。L12相分解为( Ni、Co)3( Ta、Ti、Nb)型D024相,这是由于连续Al2O3的形成消耗了Al。Al2O3层和( Ni、Co)3( Ta、Ti、Nb)相的形成均有助于消除Ti的不利影响,具有优异的抗氧化性能。高温氧化后,硼在氧化物的边界处聚集,这可能会增强氧化层的附着力。
免责声明:本网站所转载的文字、图片与视频资料版权归原创作者所有,如果涉及侵权,请第一时间联系本网删除。
官方微信
《腐蚀与防护网电子期刊》征订启事
- 投稿联系:编辑部
- 电话:010-62316606
- 邮箱:fsfhzy666@163.com
- 腐蚀与防护网官方QQ群:140808414










