NiTi形状记忆合金(SMA)具有类似于低碳钢的Lüders变形行为。NiTi中的Lüders型变形发生在应力诱发马氏体相变或马氏体重取向过程中。此时可以观察到Lüders型变形具有上-下屈服,然后是应力平台,应变跨度通常为5~7%。这种上-下屈服行为呈现出典型的力学失稳状态。NiTi形状记忆合金具有与应力诱发马氏体相变相关的Lüders型变形行为。这种相变引起的Lüders变形与低碳钢的位错相关Lüders变形呈现出不同的冶金机制。为了解释这一现象,文献中提出了许多假说。然而,所有这些解释似乎都在某种程度上与一些实验证据相矛盾。
来自西澳大学的学者对多晶NiTi合金中Lüders型变形的发生提出了一种新的解释,并基于应力诱导相变、试验机的十字头运动和弹性收缩产生的样品长度变化的守恒准则,推导了一个模型。通过拉伸实验和数字图像相关测量对模型进行了验证。新模型能够描述Lüders型变形行为的上-下屈服现象和平台应力。相关文章以“A mechanical criterion for Lüders-type deformation of polycrystalline NiTi”标题发表在Acta Materialia。
论文链接:
https://doi.org/10.1016/j.actamat.2022.118604
图1.样品在Lüders型伪弹性拉伸变形的两个不同阶段的DIC εx应变图。(a) Lüders带的产生。(B) Lüders带的传播阶段。
图2.NiTi的Lüders型形变现象。(a)30 mm长NiTi狗骨形试件在Lüders带模式下的拉伸伪弹性应力-应变曲线。(b)(a)中虚线区域的放大图,显示Lüders变形开始时的应力降细节。(c)在伪弹性变形循环期间,沿试件长度的两个位置的局部应变和DIC测量的全规长度上的全局应变(平均应变)的时间演变。(d)(c)中虚线区域的放大图,显示Lüders变形开始时奥氏体应变松弛的详细情况。(E) Lüders频带从一个时间点扩展到下一个时间点的示意图
图3.基于DIC测量的Lüders带起始和传播的时间分辨应变分析。(a)在Lüders带形变的不同时间,沿样品中心线的局部应变分布。(b)与点“5”对应的时间的样本的轴向应变εx图的DIC图像。 (c)Lüders带外奥氏体弹性应变在形成和扩展过程中的变化。(d)Lüders带的长度lL和峰值应变εL的演化。
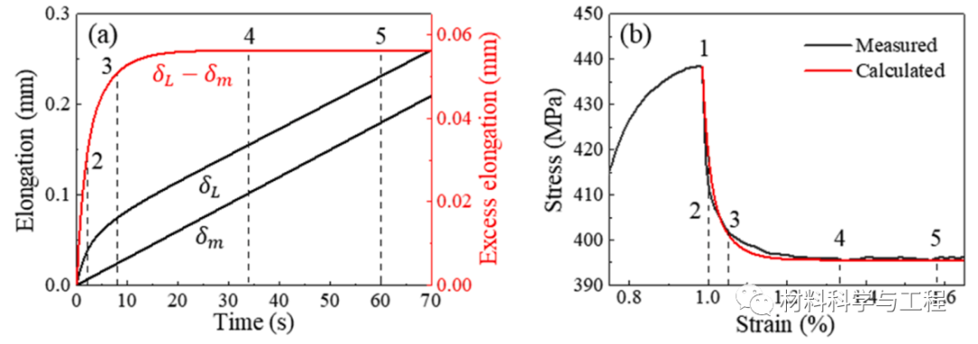
图4.模型模拟了NiTi的Lüders型变形的拉伸应力-应变行为。(a)由Lüders带δL产生的样品延伸率与由试验机δm提供的延伸率之间的比较。(b)样品的实验测量和模型计算的应力-应变曲线的比较.
本研究对多晶NiTi中应力诱发马氏体相变的Lüders型形变的发生提出了新的解释。这一解释是基于样品尺寸变化的实时守恒准则,这三个因素包括试验机施加的尺寸变化、由于Lüders带的形成或膨胀而产生的尺寸变化以及样品的弹性应变收缩。根据这一准则和提出的实验证据。
多晶NiTi的应力诱发马氏体相变的Lüders带在一个较高的局部应变率和较高的局部应变率范围内突然启动,该应变率可比典型拉伸试验中的应变率高一个数量级。这导致样品延伸率快于测试机施加的延伸率。这导致样品的弹性应变收缩产生负的伸长率,以补偿由测试机提供的伸长率不足。弹性应变收缩引起的应力降标志着Lüders带的开始。
基于试件延伸率实时守恒准则,建立了带实验输入的数学模型。该模型能够描述NiTi合金Lüderst型变形的全应力-应变响应,包括初始应力降和应变降低,以及随后的应力平台。复制的行为与实验测量完全匹配。根据这一准则,在来自Lüders带的样品延伸率高于来自试验机的样品延伸率的条件下,定义了Lüders型变形的初始上-下屈服行为。
基于伸长率守恒的模型描述了发生Lüders型变形的必要条件,但不是充分条件。其他因素可能会影响防止Lüders类型的变形行为,例如,金相和晶体织构、高密度缺陷以及压缩和剪切。
免责声明:本网站所转载的文字、图片与视频资料版权归原创作者所有,如果涉及侵权,请第一时间联系本网删除。
官方微信
《腐蚀与防护网电子期刊》征订启事
- 投稿联系:编辑部
- 电话:010-62316606-806
- 邮箱:fsfhzy666@163.com
- 腐蚀与防护网官方QQ群:140808414








