在长时间的服役过程中,奥氏体-铁素体双相不锈钢Fe20Cr9Ni通常在280至320℃的服役温度范围内发生调幅分解,从而导致抗点蚀性能的降低。本文发现导致调幅分解后双相不锈钢Fe20Cr9Ni的抗点蚀性下降中约76.8%归因于G相,而富铁的α相则占约23.2%。在本次研究中,采用合适的热时效处理以获得更大尺寸的G相以便于研究该相在腐蚀过程中的作用。通过将经过475℃热时效处理3000h的TEM样品浸泡到NaCl溶液中,点蚀可以优先在铁素体中获得。通过TEM-EDS,3DAPT和GPA技术分析了G相周围的成分变化和应变场分布。进一步发现,尽管在α相和α′相之间Cr元素的浓度差高达60at.%,但是点蚀在G相和铁素体基体之间的界面处发生,而不是在富Fe的α相中,这表明铬贫理论不能解释上述现象。G相和铁素体基体之间的界面处的应变能被发现是最大的。界面处的原子比晶体内的原子具有更高的能量,因此很容易与溶液中的Cl-离子反应最终形成蚀坑。
在不锈钢中,具有奥氏体和铁素体相的双相不锈钢(DSSs)由于其优异的机械性能、耐腐蚀性、耐应力腐蚀开裂性和焊接性而被广泛用于石油和天然气,化工,食品,电力,运输和造纸工业。尽管钝化膜可以提供良好的抗腐蚀能力,但特别是在存在侵蚀性阴离子物质的情况下,它很容易受到局部腐蚀。在局部腐蚀行为中,点蚀是最有害的,因为它被高度隐藏。而且,蚀坑将充当裂纹源,加速钢的损坏。
在DSSs中,铁素体相所占体积分数为12?20%的Fe20Cr9Ni双相不锈钢被广泛用于生产压水堆的一次冷却剂管道。但是,这种钢通常在会在280-320℃的长期服役期间由于铁素体相发生调幅分解发生热时效脆化,从而导致断裂韧性显著降低。许多学者系统地研究了时效对双相不锈钢力学性能的影响。然而,很少有学者研究时效对其耐点蚀性能的影响。
点蚀是材料科学中的经典科学问题,一直引起材料研究人员的关注。通常认为,在水环境中不锈钢的较低腐蚀速率是由于在钢表面上存在薄钝化膜而引起的。但是,这种钝化膜很容易在未知时间内从随机位置处发生局部击穿,这可能会加速钢下表面的溶解
大量研究发现,不锈钢中的MnS和磷化物等夹杂是点蚀坑的优先形成位置,从而使不锈钢的抗点蚀性降低。例如,Ryan等人分析了316不锈钢的成分并且发现与MnS相邻的基体中有一个Cr贫化区,这证实了点蚀是由MnS引起的。Zhou等发现由于MnS的形成,位错周围存在应变场并且在NaCl溶液中测试时位错露头的位置优先溶解,形成点蚀。
不锈钢中的第二相是影响耐点蚀性的重要因素。在晶界析出的富Cr碳化物将导致在其周围存在贫Cr区域,从而导致钝化膜不完全和点蚀。在不同的热处理工艺下,铁素体中会发生σ和χ相的析出。这些析出相通常是富铬金属间化合物,尺寸范围从几百纳米到几微米,并导致析出相周围的贫铬区域形成γ2。许多学者也研究了σ相和χ相对不锈钢的点蚀性能的影响。在与σ相和χ相相邻的γ2相上发现了点蚀坑。在早期的研究中,点蚀性能的下降通常归因于富铬α‘相周围的贫铬区域。许多学者发现,一方面,调幅分解析出物(α和α’相)溶解在铁素体中,而在550℃退火1h时G相没有分解。另一方面,在550℃下保持1h没有M23C6和σ相析出。
基于此,北科大钢铁共性技术协同创新中心杨斌等人选择适当的时效温度和时间以获得较大尺寸的G相,这对于评估G相对Fe20Cr9NiDSS点蚀的影响是有益的。通过TEM-EDS,3DAP和GPA技术分析了G相附近的成分变化和应变场分布。揭示看热时效后双相不锈钢Fe20Cr9Ni的点蚀性能下降的机理。相关研究结果以题“Evaluation of pitting corrosion in duplex stainless steel Fe20Cr9Ni for nuclear power application”发表在金属顶刊Acta materialia上。
论文链接:https://doi.org/10.1016/j.actamat.2020.07.046
本文发现, 时效严重降低了Fe20Cr9NiDSS的抗点蚀性能。热时效试样在3000 h的点蚀电位比原样降低了70%。退火处理只能恢复部分耐点蚀性能。G相用于降低时效试样抗点蚀性能的贡献约为76.8%,而富铁α相的贡献约为23.2%。
图1.Fe20Cr9Ni DSS的照片
图2.用于3DAPT分析的针状Fe20Cr9Ni样品
图3.TEM显微照片和相应的ED模式(a,b)为原始样品,(c,d)为时效的样品
图4.时效试样的铁素体相中的元素分布
图5.在3.5 wt. %NaCl溶液中不同条件下处理的Fe20Cr9NiDSS样品的电极化曲线。
当将TEM时效试样浸泡到1mol/L NaCl溶液中时,发现G相和铁素体基体之间的界面是点蚀溶解的优先位置。
图6.浸入1 mol/L NaCl溶液前的老化试样中的铁素体相的TEM图像
图7.浸入1 mol/L NaCl溶液中1h的老化试样中铁素体相的TEM形貌
图8.G相和基体(a,b)时效试样的成分分析;(c,d)退火试样
图9.3DAPT数据的重构
图10.时效试样的铁素体相中的α‘相粒子
图11.邻近直方图显示了所标记析出相的成分变化
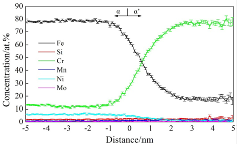
图13.α和α’相中的Fe,Si,Cr,Mn,Ni和Mo元素分布
图14.用等浓度面突出显示析出相,该表面包含含有超过20at. %的Ni,Mn和Si组合的区域
图15.邻近直方图,显示了整个G相的成分变化
用TEM-EDS和3DAPT对3000h的时效试样中的铁素体相成分分析,表明富铁α和富铬α‘相之间的Cr元素浓度差在60℃时高达60 at%,点蚀坑没有在α相中形成。对G相和铁素体基体之间界面的成分分析表明,界面处没有贫Cr区。因此,Cr元素的组分波动不是在界面处引发点蚀的主要原因。
图16.G相和基体垂直方向的成分分析(b)水平方向
图17.G相和基体的成分分布(a)垂直方向;(b)水平方向
随着G相和铁素体基体之间的相干关系被破坏,失配的程度增加,界面处的应变能大于晶体内。界面处的原子具有较高的能量,因此容易与溶液中的Cl-离子反应形成点蚀坑。
图18.通过GPA计算得到的样品中G相周围的应变分布
图19.通过GPA计算出的试样中G相周围的应变分布(a)时效试样,(b)退火试样
图20.样品中铁素体相的晶格图像(a)HRTEM图像;(b)(a)的FFT模式;通过滤波获得的(c-e)(110)F,(200)F和(110)F晶格条纹
图21.老化试样中铁素体相的晶格图像(a)HRTEM图像;(b)(a)的FFT模式;通过滤波获得的(c-e)(110)F,(200)F和(11 0)F晶格条纹
图22.G相(a,b)20at.%Cr等浓度面中Cr和Fe的分布(c,d)9at. %Fe等浓度面
图23.G相和铁素体基体(a,b)时效试样,(c,d)退火试样之间界面处的应变能分布
图24.G相和铁氧体基体之间界面处的蚀坑形成示意图
免责声明:本网站所转载的文字、图片与视频资料版权归原创作者所有,如果涉及侵权,请第一时间联系本网删除。
相关文章
官方微信
《腐蚀与防护网电子期刊》征订启事
- 投稿联系:编辑部
- 电话:010-62316606-806
- 邮箱:fsfhzy666@163.com
- 腐蚀与防护网官方QQ群:140808414
点击排行
PPT新闻
“海洋金属”——钛合金在舰船的
点击数:8148
腐蚀与“海上丝绸之路”
点击数:6486




























