引言
随着大数据时代的到来,量子芯片、元宇宙、智慧工厂、脑机接口等新型技术的崛起极大的丰富了人们的生活。在这种时代背景下多功能材料的设计和研发成为重中之中。其中,摩尔超晶格结构具有很强的研究价值,它对半导体物理学的发展以及微观结构理论的完善具有重要的推动作用。
摩尔超晶格结构是指通过范德华作用力,将二维材料进行垂直堆叠组装,并对晶格不匹配的单层晶体进行耦合。由于耦合过程中常常会出现晶格失配的现象,从而导致摩尔斑图的出现。因而称为摩尔超晶格结构。这种结构可以提供一个研究电子物理的多功能平台。外加一些实验按钮,如成分、扭转角、门电场、电子能带结构和电荷在这些合成量子材料中,密度可以(原位)独立控制。因此,在二维莫尔超晶格中可以观察到超导性、相关绝缘态、轨道磁性和相关Chern绝缘体。其中,以石墨烯/氮化硼异质结构为代表,通过改变本征石墨烯的能带,产生自相似的超晶格子带,进而会局部地打破石墨烯的晶格对称性,导致超导体-绝缘体转变的出现。先前有研究表明通过改变双层石墨烯中两层之间的魔角可以实现绝缘性和铁磁性之间的转变,并通过通过反霍尔效应行为得以证实。然而,到目前为止,该绝缘状态的性质以及相关的性能调控机制尚不清晰,缺乏相应的理论基础。
成果介绍
对此,来自美国麻省理工学院物理系的 Long Ju团队通过傅里叶变换红外光谱来对三层石墨烯/六方氮化硼摩尔超晶格结构进行观测。在本研究中,信噪比得到了显著改善。结果表明,当通过门腔打开带隙时,莫尔微带之间的过渡会持续变窄,表明单粒子带宽减少。在价平带的一半填充处,宽的吸收峰出现在约18毫伏电子伏处,表明一个分子受到直接光激发正在出现的莫特缺口。在另外两种相关的绝缘状态下观察到类似的光电流谱在第一个导带的四分之一和一半填充。该研究提供了三层石墨烯/六方氮化硼中电子关联的哈伯德模型的关键参数。为摩尔超晶格结构的探索以及性能调控机制的理解具有重要的意义。相关成果以“Spectroscopy signatures of electron correlations in a trilayer graphene/hBN moiré superlattice”为题发表在science期刊上。
图文速递
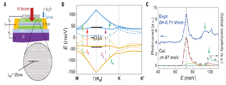
图一 器件结构与带间光学跃迁
图二 位移场相关的零掺杂带间光学跃迁
图三 绝缘状态下的光学跃迁
图四 磁场诱导相关绝缘态的光学跃迁
成果启示
综上所示,该研究说明通过傅里叶变换红外光谱技术可以更好地揭示三层石墨烯/六方氮化硼结构中的原子尺度运动规律,并提供相应的关键参数。通过改变石墨烯的魔角可以产生很多奇特的性能。该项工作表明光学测量是研究摩尔超晶格的一种有效的手段,可以更好地揭示摩尔能带的变化特征以及绝缘性-超导电性之间的演变规律。
文献链接
https://www.science.org/doi/10.1126/science.abg3036
免责声明:本网站所转载的文字、图片与视频资料版权归原创作者所有,如果涉及侵权,请第一时间联系本网删除。
相关文章
官方微信
《中国腐蚀与防护网电子期刊》征订启事
- 投稿联系:编辑部
- 电话:010-62316606-806
- 邮箱:fsfhzy666@163.com
- 中国腐蚀与防护网官方QQ群:140808414
点击排行
PPT新闻
“海洋金属”——钛合金在舰船的
点击数:7804
腐蚀与“海上丝绸之路”
点击数:6223









