编辑推荐:去合金可在金属中产生空隙,从而减轻材料的重量。 然而,当固体分数低于约30%时,机械性能迅速降低。 本文发现的两阶段去合金步骤可以制造固体分数低至12%的Ag-Au合金。 出乎意料的是,该过程不会降低机械性能,同时允许合成大块样品。 该策略应适用于其他合金系统,为制备高强轻质的材料提供途径。
分层结构,可以增强材料和体系的力学性能。珍珠层或搪瓷的断裂韧性,以及人造的微尺度网状结构,都证明了这一点。纳米尺度结构有望进一步强化,但以这种方式构建的宏观体,包含了大量的支柱,需要可扩展的制备方案。
近日,来自德国的科研人员报道了由去合金的自组装途径制备的宏观分层网络纳米材料。相关论文以题为“Scaling behavior of stiffness and strength of hierarchical network nanomaterials”发表在《Science》上。
论文链接:
https://science.sciencemag.org/content/371/6533/1026

分层结构具有多种相关的长度尺度,在自然界、工程学和社会中普遍存在。分层结构的一个重要用途是优化机械行为,同时满足材料类别、质量密度或制造成本的边界条件。众所周知,大自然利用分层优化珍珠层、骨骼和牙釉质的断裂韧性。通过开发现代三维(3D)制造技术,这种方法已经转移到微尺度。建筑桁架结构已被证明具有极低的密度,高比强度和高回弹性。
由于利用了金属纳米结构的高强度,将桁架结构的尺寸控制在纳米范围内被认为是有益的。使用尺寸为10纳米的支板,意味着一立方毫米有1014个支板。与3D制造不同,制造如此多的微观结构元素需要自组织过程,这是材料科学中微观结构演化的特征。换句话说,通过可扩展的材料制备路线来制造真正的纳米尺度的开放网络结构,从而产生宏观实体是一个非常有趣的领域。由旋结分解或胶体结晶形成的微米尺度的微观结构可以作为薄壳的模板,提供一维(即壳层厚度)为纳米尺度的宏观物体。然而,尽管这些方法证明了自然自组织过程的多功能性,但它们还没有达到分层结构。不同的途径可以导致纳米多孔金属的分层结构,但均质宏观体是例外,这类材料有趣的力学性能仍有待证明。
去合金是通往分层网格材料的途径之一,特别是具有严格架构的结构,以两个几何上相似的网络形式嵌套在两个定义明确、明显不同的长度尺度上。然而,宏观缺陷阻碍了对这些材料力学行为的研究。去合金可以将实体积分数(?)在单位长度尺度网络中降低至~0.25。减小?需要增加支柱的展宽比,然而长细支柱往往趋向Plateau-Rayleigh不稳定。这个问题通常与纳米材料相关,它特别适用于由扩散驱动的自组织产生的金属纳米结构,这是去合金过程中的主动过程。因此,当?小于~0.3时,去合金网络材料的连通性变差,刚度和强度也变差。这一发现为纳米分层结构材料的开发提供了动力。为了在稳定结构中达到较低的?,任何给定层次上的短而厚支柱,都可以被构建成由一组小得多的支柱组成的网络,这些小支柱在较低的结构层次上,也是短而厚(因此稳定)。通过这种方式,自组织(因此可扩展)过程可以构建具有良好连接性、高强度和刚度、低密度(因此轻量级)纳米级(因此强大)网络。
在此,研究者报道了一种可扩展和可控制备、没有宏观缺陷的嵌套网络纳米孔金(N3PG)宏观整体的去合金方法。在给定的固相分数下层次结构提供了增强的强度和刚度,并通过去合金降低了固相分数。力学和原子模拟支持了这些观测结果。揭示了在纳米网络结构中分层结构的系统性优点,该材料可以作为未来轻型结构材料的原型。

图1 N3PG的制备及微观结构表征。

图2 不同固相组分N3PG的单轴宏观压缩

图3 不同层数的NPG刚度和强度随固相分数的尺度行为。
研究者确定了有效的宏观强度与固相分数的关系(图3B)。所有的样本都具有相同的低水平支撑尺寸,L1 = 15 nm,在该大小下σ0(局部支板强度)的值为2.3 GPa。正如在刚度方面所发现的,来自不同文献的非分级NPG强度数据是相当一致的。

图4 尺寸对N3PG力学性能的影响。

图5 变形实验与MD模拟结果的比较。

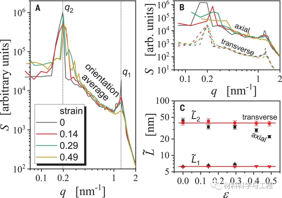
图6 变形过程中小角度干涉函数的变化。
综上,研究者探索了纳米尺度网格材料的力学行为,其特征是在两个不同的长度尺度上具有自相似几何结构的层次结构。由去合金制成的宏观试样,包含1012个杆的数量级,比网状结构的数量级还要大。研究者认为,分层结构可以减轻纳米尺度自组织过程中固有的连接性损失,从而形成网格纳米材料。
该研究结果表明,尽管微观结构具有自相似性,但不同层次结构的加载方式和变形行为通常是不同的。材料的强度是通过其较低层次的纳米尺度支柱来增强的,这利用了已建立的纳米结构的尺寸依赖性强化。
分层结构可以增强材料的功能行为,特别是当涉及到传输现象。无论材料作为功能材料或结构材料都需要了解其力学性能。本工作建立的方法为未来轻量化纳米材料提供了机会,增强了低固相分数下的力学行为。
免责声明:本网站所转载的文字、图片与视频资料版权归原创作者所有,如果涉及侵权,请第一时间联系本网删除。
官方微信
《中国腐蚀与防护网电子期刊》征订启事
- 投稿联系:编辑部
- 电话:010-62316606-806
- 邮箱:fsfhzy666@163.com
- 中国腐蚀与防护网官方QQ群:140808414



