多形性转变是晶体材料中普遍存在的一类相变,也是一种调控材料性能的有效途径之一。非晶态材料尽管在原子排列上缺乏晶体材料的长程有序特征,但也存在类似的非晶态多形性相变。重入型玻璃转变是一类独特的非晶态多形性转变但重入型玻璃转变的普遍性尚未得到证实。
近日,北京科技大学新金属材料国家重点实验室吕昭平教授团队首次在Pd-Ni-P非晶合金的相变过程中发现温度诱导的重入型玻璃转变(Reentrant Glass Transition),即在加热过程中Pd-Ni-P非晶合金发生“玻璃态I-过冷液态-玻璃态II”的多形性相变,通过这种重入型玻璃转变得到的玻璃态II具有超稳玻璃的特征。该项研究进展在材料领域顶级期刊《Materials Today》发表。
论文连接:
https://doi.org/10.1016/j.mattod.2019.09.002

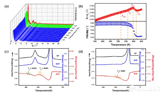
原位升温同步辐射X射线散射实验表明,Pd42.5Ni42.5P15非晶合金在升温过程中首先由玻璃态I进入到过冷液态作为过渡,而后经过结构有序化转变形成新的玻璃态II。在此过程中,从短程至中程尺度的局域原子结构的有序度显著增加,并造成非晶合金的体积、电阻和比热急剧下降。原子尺度的模拟分析表明,重入型玻璃转变的微观机理主要是热激活促使合金中部分P-P键发生分解,分解出来的P原子与Ni和Pd原子在混合焓的作用下发生重组形成新的(Ni, Pd)-P键,进而导致能量更低的Ni(Pd)2P和Ni(Pd)3P型团簇的增加。这些具有类晶体结构的原子团簇互相连接形成更大的中程序团簇,使得体系的有序度得到显著提高、自由能减低,最终获得热力学和动力学上更加稳定的超稳非晶合金。

与以往非晶合金中报道的非晶态多形性转变不同,本研究中的重入型玻璃转变后的超稳非晶合金可以截留下来,为系统研究非晶态多形性转变产物的结构和性能奠定了基础,不仅证实了重入型玻璃转变的普遍性,揭示了非晶合金过冷液体和玻璃相的多样性,丰富了非晶态多形性转变的研究范畴,为深入理解非晶态多形性转变本质和破解玻璃转变这一基本物理问题提供了关键模型材料,而且也为调控非晶合金的性能提供了一条新思路。
研究论文第一作者为北京科技大学新金属材料国家重点实验室博士研究生杜清,通讯作者是刘雄军研究员和吕昭平教授。北京高压科学研究中心、中国散裂中子源、美国阿贡国家实验室、威斯康星大学麦迪逊分校和约翰霍普金斯大学等单位参与并为研究工作提供了支持。这项工作得到了国家自然科学基金委项目和国家外国专家局、教育部“111”创新引智基地的资助。
免责声明:本网站所转载的文字、图片与视频资料版权归原创作者所有,如果涉及侵权,请第一时间联系本网删除。
官方微信
《中国腐蚀与防护网电子期刊》征订启事
- 投稿联系:编辑部
- 电话:010-62313558-806
- 邮箱:fsfhzy666@163.com
- 中国腐蚀与防护网官方QQ群:140808414



