近期,中国科学院合肥物质科学研究院强磁场科学中心研究员张昌锦、皮雳课题组合作,在磁性拓扑半金属材料研究方面取得新进展。研究人员通过强磁场下的磁性、输运测量以及第一性原理计算,对NdSb、DySb等镧系金属锑化物磁性体系进行了深入研究,发现了磁性拓扑半金属态。
拓扑半金属是一类新型的拓扑材料,具有类似于基本粒子的低能激发态,在科学认知与实际应用方面具有重大意义。其中,狄拉克半金属的狄拉克点兼具晶体对称性与时间反演对称性,被称为“三维石墨烯”。如果晶体对称性或时间反演对称性破缺,狄拉克点变为一对外尔点,形成外尔半金属。晶体对称性破缺的外尔半金属已经在TaAs、WTe2等体系中发现,而时间反演对称性破缺的外尔半金属则长期未被发现。主要原因在于角分辨光电子能谱在研究磁性材料时有很大局限,不能提供磁有序态下的明确电子结构。理论上预测可能存在磁性拓扑半金属态的体系包括镧系金属锑化物、铋化物,以及GdPtBi、Mn3Sn等。
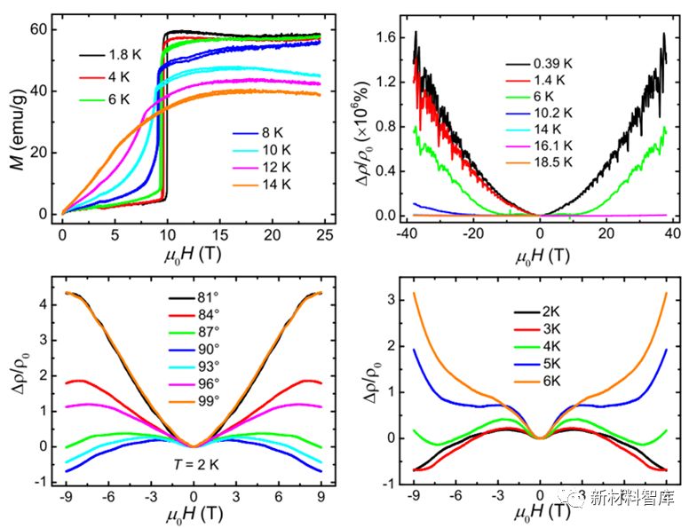
在该工作中,研究人员利用强磁场下的磁性与输运测量,研究了NdSb、DySb等材料的磁结构转变,分析了不同磁结构下电子输运的基本信息与载流子特性,结合第一性原理能带计算结果,发现NdSb的反铁磁态是狄拉克半金属态,DySb的铁磁态是外尔半金属态。尤其是,在NdSb上观测到的手性反常导致的负磁阻现象,为拓扑半金属态的存在提供了坚实证据。而NdSb、DySb也以其可调控的磁结构为研究磁性与拓扑的关联提供了理想的载体。
该系列工作的输运测量是在稳态强磁场实验装置的一号水冷磁体WM1与混合磁体上进行的,磁性测量是在二号水冷磁体WM2的磁性测量系统(VSM)上进行的。
该工作得到国家重点研发计划、国家自然科学基金等的支持,主要完成人为研究生王永建、梁丹丹,相关研究发表在Physical Review B、APL Materials上。

NdSb的高场磁化率、磁阻测量(上图)与负磁阻测量(下图)(上左图WM2提供最高场25T,上右图WM1提供最高场38T)

DySb的高场磁阻测量与能带计算结果(上左混合磁体提供最高场38.7T)
更多关于材料方面、材料腐蚀控制、材料科普等方面的国内外最新动态,我们网站会不断更新。希望大家一直关注中国腐蚀与防护网http://www.ecorr.org
责任编辑:韩鑫
《中国腐蚀与防护网电子期刊》征订启事
投稿联系:编辑部
电话:010-62313558-806
邮箱:fsfhzy666@163.com
中国腐蚀与防护网官方 QQ群:140808414
免责声明:本网站所转载的文字、图片与视频资料版权归原创作者所有,如果涉及侵权,请第一时间联系本网删除。
相关文章
官方微信
《中国腐蚀与防护网电子期刊》征订启事
- 投稿联系:编辑部
- 电话:010-62313558-806
- 邮箱:fsfhzy666@163.com
- 中国腐蚀与防护网官方QQ群:140808414
点击排行
PPT新闻
“海洋金属”——钛合金在舰船的
点击数:5768
腐蚀与“海上丝绸之路”
点击数:4763



