【前言】
近年来,由于能源危机的不断加剧和环境治理方面的需要,热电材料成为了国内外研究的热点课题。自19世纪初发现半导体材料的Seebeck效应和Peltier效应以来,热电材料如雨后春笋般在材料研究界大量出现。热电材料是一种利用固体内部载流子运动,可以实现热能和电能直接转换的功能材料,一般要求具备价廉、无毒、较高的电子传导和较低的热传导性能等优点,因此其常于温差发电和热电制冷两方面。为实现热电材料的大范围使用,如何提高热电材料的转换效率成为了目前亟待解决的主要问题。
【成果简介】
近期,美国西北大学Mercouri G. Kanatzidis教授(通讯作者)报道了该课题组在电子掺杂三元硫化物AgBi3S5热电材料方面的最新进展,该研究成果以题为“High Thermoelectric Performance in Electron-Doped AgBi3S5 with Ultralow Thermal Conductivity”发表在J. Am. Chem. Soc.上。在电子掺杂AgBi3S5三元硫化物在300-800 K的温度范围内,具有较低的晶格热导0.5-0.3 Wm-1K-1,其优异的性能特点归因于Ag和Bi原子的双rattling声子振动模式。在阴离子位点掺杂氯离子作为电子供体,能够显著提高AgBi3S5三元硫化物的电性能。本文采用单抛物线型模型,阐述了载流子浓度为5×1018-2×1019 cm-3范围内的Seebeck系数变化趋势。同时,采用放电等离子烧结的方法制备了0.33%氯掺杂的AgBi3S5三元硫化物,其热电优值在800 K时接近于1.0。
【图文导读】
图1. AgBi3S5晶型结构、元素分布及氯离子掺杂量与载流子浓度关系

(a) AgBi3S5晶体结构示意图;
(b) AgBi3S5及氯离子掺杂AgBi3S5的XRD;
(c) 0.33%氯掺杂量AgBi3S5的断裂表面的SEM;
(d-f) 0.33%氯掺杂量AgBi3S5的EDS mapping (Ag, Bi, S);
(g) 离子化氯含量与载流子浓度关系(插图为室温下由紫外可见仪器测试得到的AgBi3S5光学带隙图);
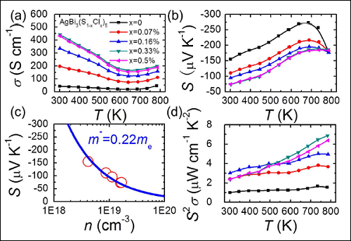
图2. 不同氯掺杂量AgBi3(S1-xClx)5的电子传导、Seebeck系数与温度之间的关系

(a) 不同氯掺杂量AgBi3(S1-xClx)5的电子传导与温度之间的关系;
(b) 不同氯掺杂量AgBi3(S1-xClx)5的Seebeck系数与温度之间的关系;
(c) Seebeck系数与研究范围内的载流子浓度的单抛物线形模型关系图;
(d) 不同氯掺杂量AgBi3(S1-xClx)5的功率因数与温度之间的关系;
图3. AgBi3(S1-xClx)5的总热导、ZT值与温度之间的函数关系

(a) AgBi3(S1-xClx)5的总热导和晶格热导与温度之间的函数关系;
(b) 已报道二元金属硫化物的总热导和晶格热导与温度之间的函数关系;
(c) AgBi3(S1-xClx)5的ZT值与温度之间的函数关系;
(d) 已报道二元金属硫化物的ZT值与温度之间的函数关系;
图4. AgBi3S5的声子和Grüneisen色散

(a) AgBi3S5的声子色散;
(b) AgBi3S5的Grüneisen色散;
(c) AgBi3S5的晶格热导和温度之间的函数关系,实验和理论计算的热导值与温度的函数;
(d) AgBi3S5的声子态密度,图中双峰来源于Ag和Bi,表明具有双rattler振动;
图5.图4a中关于Z-Γ-X处的声子色散拓展图

在rattle模式中的Z1处,中心层的两个Bi原子大幅振动而其他Bi原子振幅较小,相似在X1处,两个Ag原子振动强烈,其他位置相对稳定。研究表明Ag和Bi原子在低频率的双rattling振动模式中抑制了AgBi3S5的晶格热导。
【小结】
本文提出了由低成本、无毒窄带隙半导体材料AgBi3S5,通过进一步电子掺杂,得到的AgBi3S5材料具有高ZT值,低热传导性能等优点。通过异价离子掺杂优化调整电导性能,同时基于本征材料的低热导特性,研究人员制得了高性能的热电材料AgBi3S5。本研究展示了一种独特的AgBi3S5双rattling声子振动模式,该模型主要与AgBi3S5中的Ag和Bi原子有关,从而引起了超高的Grüneisen参数和较低的热传导特性。本工作旨在开发具有独特的电子或声子传导特性的高性能热电材料,为以后的热电材料研究提供了一个新的研究策略。
【通讯作者简介】
Mercouri G. Kanatzidis教授是美国西北大学资深教授,在热电领域造诣颇深,研究方向为热电材料、金属硫属化合物、无机固体化学和生物无机化学等;目前在Science,Nature等杂志上发表论文1000余篇,被引用次数超过41300多次,H因子为93。
更多关于材料方面、材料腐蚀控制、材料科普等方面的国内外最新动态,我们网站会不断更新。希望大家一直关注中国腐蚀与防护网http://www.ecorr.org
责任编辑:殷鹏飞
投稿联系:编辑部
电话:010-62313558-806
中国腐蚀与防护网官方 QQ群:140808414
免责声明:本网站所转载的文字、图片与视频资料版权归原创作者所有,如果涉及侵权,请第一时间联系本网删除。
官方微信
《中国腐蚀与防护网电子期刊》征订启事
- 投稿联系:编辑部
- 电话:010-62316606-806
- 邮箱:fsfhzy666@163.com
- 中国腐蚀与防护网官方QQ群:140808414



