在金属与合金中,溶质原子在晶界处的偏聚通常会导致界面内聚力下降,引发脆化,这被认为是实现高强度同时保持良好延展性的主要障碍。传统的合金设计理念普遍认为,只有浓度较低的溶质元素才倾向于在晶界偏聚。然而,该研究团队通过巧妙的成分与工艺设计,成功实现了主要组元——溶剂Fe原子在低角度晶界的选择性富集,并利用这一现象显著提升了合金的塑性变形能力,从而打破了“高强度必伴随低延性”的经典困局。
2025年12月,材料领域国际期刊《Acta Materialia》上在线发表了题为“Solvent-enriched interface enables ductility in an ultrastrong alloy”的研究论文。该项研究颠覆了传统认知,在铁基合金中实现了溶剂元素Fe在低角度晶界(LAGBs)的优先富集,并借此设计出一种兼具超高强度(~1.74 GPa屈服强度)与优异延展性(~26.2%均匀伸长率)的奥氏体合金,为发展下一代超强韧结构材料提供了全新的设计策略。通讯作者为湖南大学的石芸竹老师和雷智锋教授、德国马普所韩六六博士以及北京科技大学的吕昭平院士。
文章链接:
https://doi.org/10.1016/j.actamat.2025.121829
【核心内容】
研究团队设计并制备了成分为Fe-33Ni-6Al-1.5Ta-1.5Ti-0.2C-0.05B (at.%)的合金,通过“固溶处理+深度冷轧+时效处理(CRA状态)”的工艺路径,在合金中同步引入了高密度共格L12纳米沉淀相、高位错密度以及丰富的低角度晶界网络,溶剂Fe原子在热力学驱动力和由冷轧引入的快速扩散通道(位错与LAGBs)共同作用下,优先在LAGBs处富集,形成厚度约2 nm的富Fe层。
图形摘要
【研究成果】
① 发现并证实独特的“溶剂富集界面”现象
纳米析出相中富集Ni、Al、Ta、Ti等元素,而Fe在基体及LAGBs处有富集趋势,在LAGBs处,Fe的原子浓度从基体的约60 at.%升高至约70 at.%,而Ni则相对贫化,直接证实了“溶剂富集”这一反常规现象。
CRA合金中纳米析出相、低角度晶界及元素分布的微观结构表征
原子探针层析技术揭示低角度晶界处的溶剂Fe富集
② 实现超高强度与优异延展性的完美协同
力学性能测试表明,CRA状态的合金屈服强度高达1737 MPa,同时均匀伸长率达到26.2%,其加工硬化曲线呈现独特的多阶段特征,表明变形过程中存在复杂的变形机制,该合金的强塑组合远超众多已知的高强钢、高熵合金等先进材料。
溶质富集合金的优异力学性能 (CRA合金的室温拉伸性能对比及与典型合金的强度-塑性协同比较)
③ 揭示由界面化学调控引发的“变形诱导相变”增韧机制
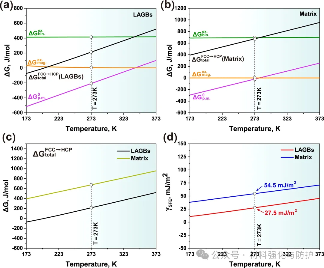
LAGBs处因Fe富集导致堆垛层错能降低,相较于基体的54.5 mJ/m²降至27.5 mJ/m²,因此该区域的奥氏体稳定性下降,马氏体相变首先在LAGBs处被激活,并随应变增加持续进行,在断裂时马氏体体积分数可达40%,这种由溶剂富集界面触发并持续的相变(TRIP效应),提供了额外的加工硬化能力。
基于热力学计算的晶界与基体相稳定性及层错能评估
CRA合金变形过程中的微观结构演变(形变诱导马氏体相变)
原位同步辐射X射线衍射揭示的CRA合金间接马氏体相变演化
④ 定量解析实现超高强度的多尺度强化机制
除了独特的增韧界面,合金的超高强度源于多种强化机制的协同贡献,微观结构表征证实了高密度、共格的L12纳米沉淀相与高位错密度的存在,沉淀强化(贡献~519 MPa)和位错强化(贡献~704 MPa)是屈服强度的主要来源,而晶界强化和固溶强化的贡献相对较小。
CRA合金超高屈服强度的各强化机制贡献分解
【总结与展望】
团队通过“溶剂富集界面”设计,成功开发出一种强度与延性协同提升的超高性能铁基合金,这项工作不仅挑战了关于晶界偏聚的传统理论,更重要的是,它揭示了一条通过主动调控溶剂元素在缺陷界面分布来实现材料强韧化的全新途径。
免责声明:本网站所转载的文字、图片与视频资料版权归原创作者所有,如果涉及侵权,请第一时间联系本网删除。
官方微信
《腐蚀与防护网电子期刊》征订启事
- 投稿联系:编辑部
- 电话:010-62316606
- 邮箱:fsfhzy666@163.com
- 腐蚀与防护网官方QQ群:140808415












