用于晶圆切割和背面研磨的UV诱导可剥离丙烯酸胶粘剂(UIPA)需要保持压敏胶(PSA)的特性,以提供与晶圆的足够粘合强度,防止晶圆在切割过程中松动、移位和脱落。同时,UV固化处理后,剥离强度(PS)应能迅速降低,以方便芯片拾取,并避免裂纹和污染。然而,在UV固化前提高剥离强度,而在UV照射后抑制其强度,平衡这些相互矛盾的要求是一个巨大的挑战。重要的是,在剥离UV固化的UIPA后,芯片上小分子迁移造成的残留物似乎不可避免,这降低了晶圆切割过程的可靠性和成功率。
受半导体加工行业快速发展启发,UIPA的改性引起了特别关注,其主要由UV敏感丙烯酸树脂、稀释剂、交联剂和光引发剂组成。在近期研究中,通过引入多官能团单体或低聚物、利用体积收缩构建界面微孔、采用具有光敏或双固化官能侧基的低聚物构建半或全互穿网络(IPN)、利用可逆光交联、光致相变或光触发降解,以及通过可聚合引发剂将引发剂引入聚合物链的侧基,取得了进展。然而,除了少数基于种类极为有限的商用可聚合光引发剂(PPI)的研究外,针对UIPA应用的光引发剂(PI)设计工作相对较少。尽管关于PPI或大分子光引发剂(MPI)的合成及其在各个领域的应用报道众多,但PPI的性能测试通常只涉及与不同官能化丙烯酸单体的光聚合,其中系统中没有聚合物或大分子成分。因此,PPI与单体的混合体系无法提供压敏性和粘合强度,这仍无法与UV诱导可剥离胶粘剂的应用相匹配。此外,在实际应用中,PI和低聚物的合成及提纯步骤繁多,也会增加成本。
近期,北京化工大学郭隆海/邱腾团队成功制备了一种具有高粘附强度、低表面残留的UV诱导可剥离丙烯酸胶粘剂,适用于晶圆切割。
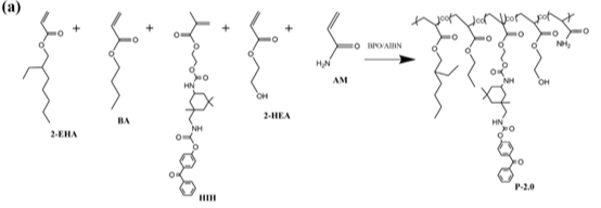
通过对异佛尔酮二异氰酸酯、4-羟基二苯甲酮(4-HBP)和甲基丙烯酸羟乙酯(HEMA)进行加成反应,获得HIH混合物;然后将其加入到丙烯酸单体的自由基聚合反应中,制得H-PA 树脂;最后添加交联剂和活性稀释剂到H-PA树脂中,制得UIPA。 该系统的180°剥离强度高达6.96N/25mm,经紫外线固化后降至0.49N/25mm,表明剥离能力增强。与未改性系统相比,分离后芯片表面仅观察到三分之一的小残留物。与商业PPI相比,HIH的合成过程要简单得多,无需繁琐的纯化步骤。因此,本研究为设计具有高性能、低成本的 UIPA 提供了一种改性策略。 HIH的合成 HIH的合成。 合成路线 丙烯酸共聚物胶粘剂合成路线。 数据来源与出处 相关研究成果以“The photosensitive groups bearing polyacrylate and UV-induced peelable adhesive with low surface residues”为标题发表在《Progress in Organic Coatings》上。
免责声明:本网站所转载的文字、图片与视频资料版权归原创作者所有,如果涉及侵权,请第一时间联系本网删除。
官方微信
《腐蚀与防护网电子期刊》征订启事
- 投稿联系:编辑部
- 电话:010-62316606
- 邮箱:fsfhzy666@163.com
- 腐蚀与防护网官方QQ群:140808414






