导读:大多数难熔高熵合金(RHEAs) 在受到拉伸载荷时容易发生脆性断裂。TiZrHfNb RHEA 及其衍生物具有良好的拉伸延展性,但仍存在屈服强度低的问题。在这项研究中,我们提出了一种氧-氮协同效应 (ONSE) 来增强 TiZrHfNb RHEA。氧原子产生局部化学有序 (LCO),接种更多的位错成核位点,促进位错倍增并确保均匀变形。氮原子会引起晶格畸变,阻碍位错运动,并产生显着的固溶体强化效应。ONSE 的引入导致高密度移动位错分布在整个合金中,而传统观点认为位错仅限于 LCO 的窄滑带。模型合金 (TiZrHfNb)98N1.5O0.5(at. %) 由 ONSE 设计的屈服强度显著提高达到 1412.9 ± 13.5 MPa,与 TiZrHfNb RHEA 相比提高了 92%,同时保持了 10% 的断裂伸长率。我们的强化方法为提高其他体心立方 (BCC) RHEA 的强度提供了一种新的选择。
难熔高熵合金(RHEA) 包括 W、Ta、Mo、Nb 和 Hf 等难熔元素,在高温下表现出优异的抗软化性和相稳定性,使其成为航空航天、核反应堆和其他高应力应用的有希望的候选者。然而,RHEA 仍然面临重大挑战,主要是由于其强度低或固有的脆性。TiZrHfNb RHEA 以其稳定的体心立方 (BCC)结构而闻名,因其卓越的拉伸延展性而受到关注,但在1 GPa 以下的屈服强度较低。提高 TiZrHfNb RHEA 的屈服强度仍然是该领域的重大挑战。
鉴于 RHEA 固有的高熔点、缓慢的原子扩散效应和明显的晶格畸变特性,这些系统本身会产生多尺度化学成分波动,从而产生局部应变梯度。这种化学异质性通过溶质相互作用阻力和弹性模量失配效应深刻影响位错动力学,最终控制塑性变形机制。Bu 等人使用原位透射电子显微镜 (TEM) 观察到 TiZrHfNb RHEA 中局部化学波动诱导的位错钉扎。Pozuelo 等人证明,化学成分确实是 NbMoTaW RHEA 中屈服强度的最佳定量预测因子。富 W 微柱区域的屈服强度 (∼ 1500 MPa) 比富含 Nb 的区域 (∼ 700 MPa) 高 2.1 倍。因此,可以通过调制原子半径差、电负性差和混合焓来增强合金的成分异质性,这种可控的成分调制可以作为一种有效的强化策略。
基于对 RHEA 固有局部化学波动的研究,故意掺杂小尺寸间隙原子以设计局部化学有序 (LCO) 为克服合金中的强度-延展性权衡提供了一种新方法。这些间隙原子通常以两种形式存在于晶体结构中:局部排序和随机分布。不同形式的分布对合金性能有不同的影响。Lei 等人介绍了 2.0 at.% 氮原子转化为 TiZrHfNb RHEA,没有形成显着的有序结构。屈服强度提高了 73.3 %,但以延展性为代价。相比之下,引入等比例的氧原子形成了基于 (Ti, Zr, O) 的 LCO,这导致合金的延展性提高了 95.2%。然而,屈服强度的提高不如氮气显着。LCO 的存在对延展性有显着的积极影响,因为 LCO -位错耦合增加了拉伸变形过程中的局部应变。这种机制促进了位错相互作用和倍增,从而提高了可塑性。然而,它对强度增强的影响相对有限。
为了解决单一类型间隙原子掺杂策略的固有局限性,我们创新性地提出了氧氮协同效应(ONSE) 并将其成功应用于 TiZrHfNb RHEA。实验结果证实,氧原子形成 LCO 结构,为滑平面上的位错提供低能成核位点,进而促进位错倍增。同时,氮原子诱导的强晶格畸变效应有效抑制了长距离位错滑移,从而提高了强度。
链接:https://www.sciencedirect.com/science/article/pii/S1359645425005166
图1.晶粒尺寸尺度上合金的微观结构。(a) NO-0, (b) NO-2 合金的背向散射 EPMA 图像。(c) NO-0, (d) NO-2 合金的 EBSD IPF 分布图。(e) NO-0, (f) NO-2 合金的 EBSD 相图。
图2.NO-0 和 NO-2 合金的机械性能。(a) NO-0 和 NO-2 合金的真实应力-应变和 WHR 曲线。(b) NO-2 合金与其他代表性 RHEA 的屈服强度和伸长率比较
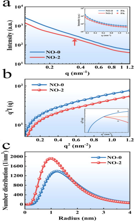
图3.(a) SAXS 图,插图表示球形颗粒尺寸分布模型的拟合曲线。(b) Porod 图,插图表示正 (+) 和负数 (-) 偏差。(c) NO-0 和 NO-2 合金中 LCO 的尺寸分布图。
图4NO-2 合金的 AC-TEM 图像。(a) STEM-BF 图像。(a) 中的插图是相应的选定区域电子衍射 (SAED) 图样。(b) 沿 [111] 的 STEM-HAADF 图像BCCZone 轴。(c) [111] 的相应 STEM-HAADF 图像BCC具有不同调整对比度的区域轴。(d) STEM-ABF 图像。插图显示了区域 B 的放大图。(e) 沿 [111] 投影的晶格中间隙原子的占用率BCCZone 轴。(f) (d) 中区域 A 的放大部分视图。
图5.来自 NO-2 RHEA 样品分析的 APT 三维重建。(a) 随机数据集。(b) (a) 中黑色矩形框内的原子团簇。(c) 组成元素的三维分布。
图6.NO-2 合金在不同真实应变下的典型 TEM 图像
本研究提出了一种创新的氧氮协同效应,可显着提高 RHEA 的屈服强度,正如它在 (TiZrHfNb) 中的实施所证明的那样98N1.5O0.5瑞亚。获得了氮/氧固溶强化和有序氧管道化的协同效应。从这项研究中得出了几个关键结论:
(1)该研究揭示了 ONSE 诱导的独特原子分布模式。在具有单相 BCC 结构的铸态 NO-2 合金中,氧原子在富含 (Ti, Zr) 的区域有序,优先占据八面体间隙位点并形成高密度 LCO 结构 (1920.71 nm-3),直径范围为 1.5 至 3.2 nm。相比之下,氮原子表现出随机分布,从而建立了有序无序耦合机制。
(2)PALS 证明了 ONSE 与合金内部缺陷演变之间的相关性。与 NO-0 合金相比,其特性寿命 (τ2) 在 NO-2 合金中显着缩短。这种减少可能是由于空位型缺陷捕获了间隙原子。此外,间隙原子的引入降低了空位形成能量,导致空位浓度增加。
(3)ONSE 对位位行为产生双重调节作用。LCO 区域为滑移面上的位错提供低能势垒成核位点,从而促进位错增殖。断裂后,NO-2 合金的位错密度约为 NO-0 合金的两倍。间隙溶质原子引起的强烈晶格畸变阻碍了位错的长距离运动,从而导致强度增强。
(4)NO-2 合金在强度和延展性之间表现出显着的协同作用。屈服强度达到 1412.9 ± 13.5 MPa,比 NO-0 RHEA 提高了 92%,同时保持了 10% 的断裂伸长率。这种改进可归因于间隙原子的固溶体强化效应和 LCO 解离成随机溶液时的强晶格畸变效应。
(5)不同的合金体系在容纳间隙原子的能力方面表现出显着差异,这可能导致氧/氮的溶解度窗口变窄,从而导致元素偏析或有序结构不稳定。因此,有必要根据元素间的相互作用特性合理选择和优化基体组成,以开发更适合 ONSE 的合金体系。
免责声明:本网站所转载的文字、图片与视频资料版权归原创作者所有,如果涉及侵权,请第一时间联系本网删除。
官方微信
《腐蚀与防护网电子期刊》征订启事
- 投稿联系:编辑部
- 电话:010-62316606
- 邮箱:fsfhzy666@163.com
- 腐蚀与防护网官方QQ群:140808414










