哈尔滨工程大学佟运祥教授研究团队JMST:高Hf含量超高温NiTiHf形状记忆合金
2025-05-19 17:26:50
作者:材料科学和技术 来源:材料科学和技术
分享至:
第一作者:Aleksandr Shuitsev
通讯作者:佟运祥,Aleksandr Shuitsev
通讯单位:哈尔滨工程大学材料科学与化学工程学院
黑龙江先进纳米材料联合实验室(国际合作)
DOI: 10.1016/j.jmst.2024.05.022
本文报道了高Hf含量NiTiHf超高温形状记忆合金中的马氏体结构与形状记忆特性。结果表明,NiTiHf合金在加热时经历可逆的B2-B19′一步马氏体相变,相变温度可高达750 °C,未发现 B33 结构马氏体;尽管高温环境有利于蠕变发生,但该合金仍表现出可观的形状恢复应变,并且能够在高达800 °C 的温度下实现有效输出。上述结果有望为合金在航空航天领域应用提供参考。
航空航天业的发展对具有独特性能的新型材料提出了迫切需求,例如:形状记忆合金。NiTiHf形状记忆合金凭借低成本和高相变温度、高尺寸稳定性和高的输出功有望拓展其在航天领域新的应用。目前关于超高温NiTiHf形状记忆合金的研究少有报道。首先,对于Hf含量大于25 at%合金中马氏体结构存在一定争议;其次,对高Hf含量NiTiHf 形状记忆合金的应变恢复性能尚未进行系统研究,有待进一步完善。因此,高Hf含量的 NiTiHf 形状记忆合金的相关研究对于进一步拓宽NiTiHf合金的应用范围具有重要意义。
本文对高Hf含量的NiTiHf形状记忆合金进行研究,创新点如下:
(a)NiTiHf合金表现出B2-B19′一步马氏体相变;
(b)NiTiHf合金在∼800 °C以下表现出明显的形状记忆行为;
(c)可恢复应变和输出功随相变温度的增加而降低;高温下合金表现出明显的蠕变过程。
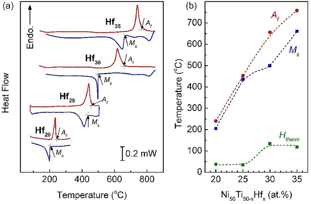
首先,通过DSC分析高Hf含量Ni50Ti50-xHfx(x=25,30,35 at.%)合金的相变行为,结果如图1所示。图1 (a) 表明,所有样品在加热和冷却时均表现出一步相变,且相变温度随Hf含量的增加向高温区移动。由图1 (b)可以看出,马氏体相变开始 (Ms) 和逆相变结束温度(Af)分别从Hf20的204.9 °C和240.4 °C 增加至Hf35的661.1 °C和758.0 °C;Hf20和Hf25合金的相变热滞后 (Af-Ms) 为35-40 °C,而Hf30和Hf35合金的热滞后范围超过100 ℃。热滞后的大小一般与相变前后两相的晶格相容性有关。相比之下,本文所研究合金的相变温度略高于先前报道的高Hf含量超高温NiTiHf形状记忆合金,但是相变滞后明显较低。
图1 NiTiHf 合金的 (a) DSC曲线和 (b) 转变温度与 Hf 含量的关系
为了进一步获得合金的微观组织及相组成,通过XRD、SEM和TEM对合金进行了系统分析,结果如图2所示。通过XRD分析结果可知,所有样品的衍射峰均对应于单斜结构的B19′马氏体相,只在Hf25合金发现一个衍射峰,推测可能是残余的B2相。由表1可知,所有晶格参数都随着Hf含量的增加而增加。本研究中并未发现先前报道的B33结构的马氏体,这可能是由于熔炼铸锭的成分不均匀导致。由SEM图可知,合金中出现两相之间夹杂的HfO2以及深灰色的(Ti,Hf)4Ni2O型相,但第二相的最大体积分数不超过 1%。通过TEM分析可知,马氏体变体都与 (011) I型孪晶有关,而变体的亚结构均为 (001) 复合孪晶。
图2 (a) XRD图谱 (d-e) SEM图 (e-g) TEM图像
表 1马氏体相的晶格参数和NiTiHf合金的显微硬度
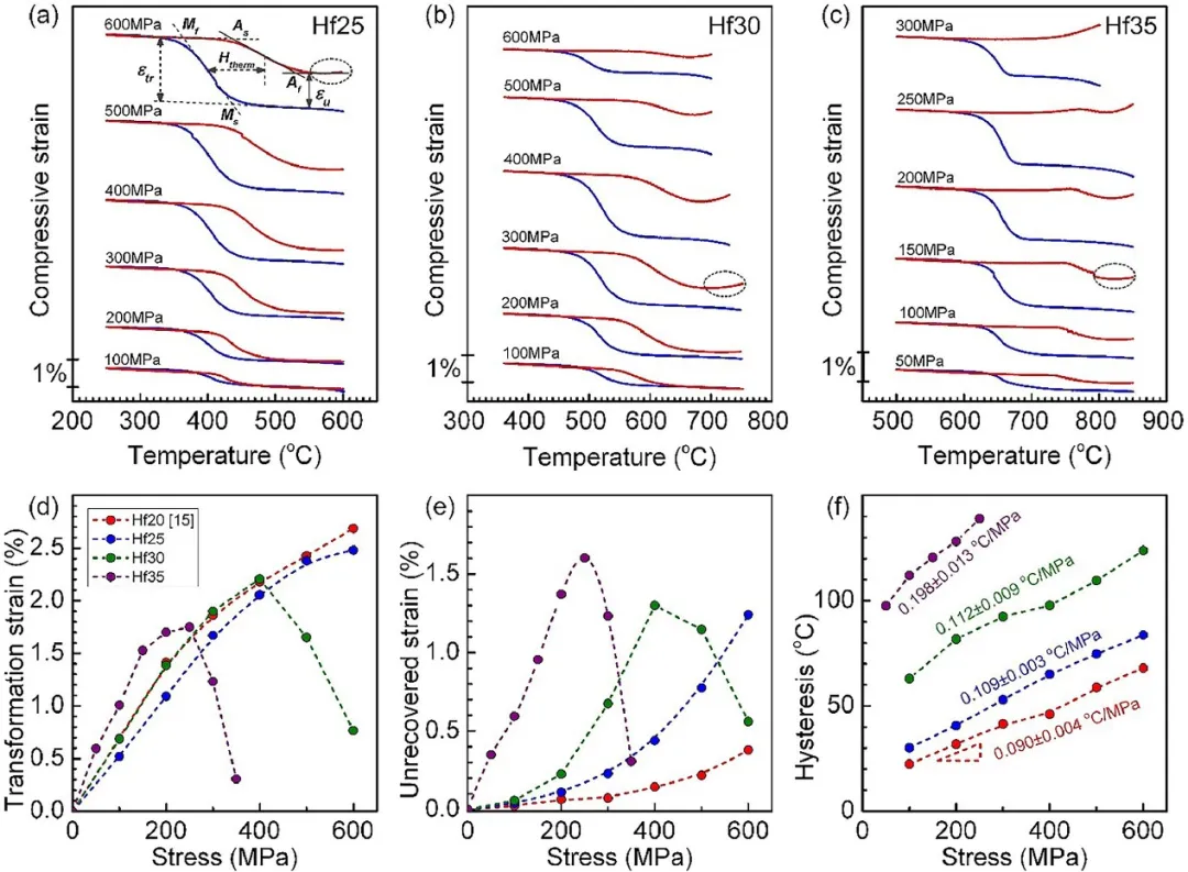
图3 (a-c) 为NiTiHf合金在恒定压应力下的应变-温度曲线。结果表明,较高的相变温度和外加应力共同导致了高温母相的蠕变/塑性变形行为。Hf25合金在600 MPa恒应力下在∼590 °C处开始变形,Hf30合金在300 MPa下在∼680 °C处开始变形,Hf35 合金在150 MPa下在∼820 °C处开始。然而NiTiHf 超高温形状记忆合金仍然表现出应变恢复行为。通过分析相变应变与所加应力之间的关系曲线(图3 (d) ) 可知,Hf25合金的相变应变随着压应力的增加而增加,在600 MPa时最高可达2.48%。Hf30和Hf35合金的相变应变随施加的应力增加先增加,达到一定最大值后减小:Hf30合金在400 MPa时达到2.21%,而Hf35在250 MPa时达到1.75%。不可恢复应变() 随施加应力的变化规律如图3 (e) 所示,Hf25合金在 600 MPa时的最大不可恢复应变 () 为1.24%,Hf30在400 MP时为1.30%,Hf35在250 MPa时为1.60%,Hf30和Hf35合金在高于400 MPa和250 MPa的应力下,不可恢复应变明显降低,这是由于合金的相变应变减小所致。本文研究了合金的热滞后与所加应力的关系(图3 (f) )。结果表明,热滞后随应力的增加而增大;在同应力水平下,Hf含量越高,滞后也越大。在100 MPa应力水平下,Hf25、Hf30 和 Hf35 合金的滞后分别为30 °C、63 °C和112 °C,且热滞后增大的速率从Hf25的0.109±0.003 °C/MPa变为Hf35的0.198±0.013 °C/MPa。通常认为,形状记忆合金中的滞后与木箱和马氏体之间的晶格相容性有关,较高的相容性导致较低的滞后。因此,Hf含量的增加导致木箱和马氏体之间的相容性下降。然 而,NiTiHf合金的热滞后行为仍然具有异常现象且相当复杂,仍需进一步研究。
图3 (a) Hf25 (b) Hf30 和 (c) Hf35合金在不同压应力下的应变-温度曲线 (d) 相变应变总结 (εtr) (e) 不可恢复应变总结 (εu) 和 (f) 压缩热循环期间的滞后
最后,本文对所研究合金的功输出数据与其它NiTiHf基合金进行了比较,结果如图4所示。可以看出,Hf25合金在530 ℃时输出功为8.0 J∙cm-3,Hf30合金在650 ℃时的输出功为3.7 J∙cm-3,而Hf35合金在810 ℃时的输出功为0.9 J∙cm-3。
图4 所研究合金的输出功与其它NiTiHf基合金的输出功对比图
本文系统研究了高Hf含量NiTiHf超高温形状记忆合金的显微组织与形状记忆行为,得出如下结论:
(a)NiTiHf合金表现出B2-B19′一步马氏体相变;
(b)NiTiHf合金在∼800 °C以下表现出明显的形状记忆行为;
(c)可恢复应变和输出功随着相变温度的增加而降低;
(d)高温下表现出明显的蠕变过程。
针对高温蠕变问题,可以借鉴Ni基高温合金的相关研究经验,例如通过物理冶金方法(固溶强化、沉淀硬化等)结合定向结晶等,抑制高温蠕变对NiTiHf超高温形状记忆合金应变恢复性能的不利影响。
佟运祥,博士,哈尔滨工程大学教授、博士生导师。主持国家重点研发计划、国家自然科学基金、教育部博士点基金等科研项目20余项。近年来在Acta Mater、Scripta Mater、JMST、Mater Sci Eng A、Mater Lett等期刊上发表SCI收录论文100余篇。社会兼职包括美国材料信息学会会员、中国生物材料委员会会员、黑龙江生物医学工程学会会员,中国有色金属学报中英文版青年编委等。研究方向主要集中在Ti基形状记忆合金及其智能结构、增材制造金属材料、大塑性变形制备超细晶金属材料研究。Aleksandr Shuitsev,俄罗斯籍,现为哈尔滨工程大学材料科学与化学工程学院副教授,主持国家自然科学基金2项。研究方向主要集中在高温形状记忆合金、析出强化、大塑性变形制备超细晶金属材料等,在材料科学、物理冶金和凝聚态物理领域有丰富的经验。近年来在Scripta Mater、JMST、Mater Sci Eng A、Mater Lett等期刊上发表SCI论文20余篇。
A.V. Shuitcev, Q.Z. Li, M.G. Khomutov, L Li, Y.X. Tong, Ultra-high temperature shape memory in high-Hf content NiTiHf alloys, J. Mater. Sci. Technol. 209 (2025) 124-127.
免责声明:本网站所转载的文字、图片与视频资料版权归原创作者所有,如果涉及侵权,请第一时间联系本网删除。