导读:通过共格纳米沉淀物进行沉淀强化成为为低温应用设计高性能材料的理想策略。通常,不连续沉淀 (DP) 被认为是影响材料强度和韧性的有害因素,许多方法旨在抑制 DP 行为。然而,在这项工作中,我们利用 DP 在完全再结晶 (CoCrNi) 中开发了异质结构94铝3钛3中等熵合金,在 -173 °C 下具有 1750 MPa 的超高抗拉强度和 34% 的显著延展性。 这种卓越的机械性能分别归因于细小和密集的可剪切纳米沉淀物的存在,以及由优化和显著的 DP 行为诱导的高比例细晶粒。原位高温电子背散射衍射 (EBSD) 和元素分布分析表明,异质晶粒的形成归因于晶界 DP 反应前沿化学扩散提供的驱动力,导致扩散诱导的再结晶。此外,低温下令人印象深刻的应变硬化率归因于三个关键因素:首先,DP 诱导的异质晶粒导致强烈的应变分配行为,从而导致强烈的非均质变形诱导 (HDI) 应力。其次,由可剪切纳米沉淀物诱导的强动态滑移细化机制有助于新滑移带的持续生成和位错积累。第三,高流动应力、HDI 效应和剪切机制共同导致不寻常的堆叠故障和纳米孪晶,通过减小它们的平均自由程来阻碍位错运动。总体而言,合理的 DP 行为为恶劣环境应用下的沉淀强化合金的设计提供了一条新的途径。
近年来,对关键部件在极端低温环境下服役可靠性的需求,促使研究人员更加关注高性能材料的开发。值得注意的是,新兴的面心立方 (FCC) 中/高熵合金 (MEA/HEA)因其在低温下独特的机械响应而受到广泛关注。其中,CoCrNi MEA 因其在低温下良好的断裂韧性而被广泛报道。不幸的是,三元 CoCrNi MEA 的屈服强度不足极大地限制了其作为高强度结构材料的应用。因此,人们为提高 CoCrNi MEA 的机械性能做出了相当大的努力,包括降低堆叠故障能(SFE)、析出强化、晶粒异质性等。在这些方法中,添加Al和Ti在CoCrNi基MEA中引入相干沉淀物已被证明是最有效的策略之一,它可以在不显著牺牲延展性的情况下达到超高强度。
广泛的研究表明,添加Al和Ti的MEA/HEAs表现出两种不同类型的沉淀行为:球形连续沉淀(CP)和棒状不连续沉淀(DP)。CP 和 DP 通常同时发生并相互竞争。它们受时效处理和晶粒尺寸的影响很大[13],这在Al-Li、钢、Cu-Ni-Si合金等中被广泛报道。一方面,CP 颗粒通常在颗粒内部均匀成核,并通过整体扩散生长。相比之下,DP 与晶界 (GB) 偏析有关,后者异质性地从 GB 开始,并通过晶界扩散增长。因此,DP 的生长通常与 GB 的运动有关。鉴于两种降水行为的显著差异,全面理解降水强化MEA中CP和DP行为的竞争机制至关重要。另一方面,由于相干沉淀物具有出色的强化效果,可以显著提高材料的屈服强度。有大量文献报道,CP 主要负责沉淀强度,而 DP 棒通常对金属的机械性能有害,尤其是强度 。然而,据报道,DP 还具有诱导晶粒细化的能力,这是高屈服强度的来源。一般来说,沉淀强化机制的关键方面是沉淀的大小和分布,沉淀应该很小且分布均匀。因此,有效利用 DP 实现卓越的机械性能仍然是一个值得进一步研究的话题。
此外,据报道,Al 和 Ti 的添加增加了变形孪生 (DT) 的临界分辨剪切应力,从而抑制了室温下 CoCrNi 基合金中 DT 的形成。即使在低温下,DT 的发生也显着减少,这可能对应变硬化行为产生深远影响。因此,如何纵整体析出行为对于在低温下 CoCrNi 基合金的卓越应变硬化能力至关重要。众所周知,异质结构 (HGS) 也已成为研究热点,并已被证明是一种在不严重损害延展性的情况下提高强度的有效方法。例如,通过冷轧和退火在 CoCrNi 合金中制备了具有不同晶粒尺寸的三能级 HGS,从而获得了高屈服强度和均匀应变,在室温下分别超过 1 GPa 和 22%。这些结构异质性导致域之间发生应力/应变分配,应变梯度应产生几何必要的位错 (GND) 以保持不同区域的变形连续性。GNDs的积累将产生异质变形诱导(HDI)应力,从而延缓塑性不稳定和颈缩的发生。通过在严重变形的样品中引入晶粒和位错的异质分布,应用了各种技术,如高压扭转、超声表面轧制工艺和短时退火来构建 HGS。然而,通过简单热处理产生异质结构的机制以及它们对低温下机械性能影响的理解仍未得到充分探索。如前所述,DP 行为可以在老化过程中诱导新形成的 FG,这为在完全再结晶材料中构建 HGS 提供了一种潜在的方法。与严重塑性变形产生的 GB 不同,这些 GB(由 DP 行为诱导)更稳定,即使在固溶处理后也能保留在基质中 [20]。然而,DP 行为也可能通过显著阻碍位错运动 [18] 导致 GB 沉淀物的形成和局部应力集中,这可能是使材料在低温下脆化的损伤促进因素。
受上述分析所得见解的启发,我们的目标是通过控制沉淀行为来开发低温下的高性能 CoCrNi MEA。通过添加 Al 和 Ti 元素,结合冷轧和热处理工艺,我们成功制备了一种以双尺度晶粒和双型沉淀物为特征的异质结构 MEA。特别是,进行了原位电子背散射衍射 (EBSD) 研究,以阐明 FGs 的形成机制并研究非均质晶粒内的变形行为。进行了比较实验以量化和解释微观结构差异的来源。此外,我们研究了变形子结构与应变硬化能力之间的相关性,并探讨了尺寸依赖性沉淀强化和硬化机制的基本影响。因此,对 DP 在低温下诱导的优异机械性能提供了新的见解,这可以广泛适用于包含 DP 行为的材料。
有关此课题,华东理工大学等学者进行了深入研究,相关研究成果以“Discontinuous precipitation enables an exceptional cryogenic strength-strain hardening synergy in a heterostructured medium entropy alloy”发表在Acta Materialia上
链接:https://www.sciencedirect.com/science/article/abs/pii/S1359645425002460
图1.不同热处理膜电极的制备工艺和微观结构(a) MEA 的热机械加工路线示意图。(b) MEA-AT-700 和 MEA-AT-900 的实验中子衍射图和 Rietveld 精修结果。实验曲线和模拟曲线拟合良好。(c1-和1) MEA-SS 、MEA-AT-700 和 MEA-AT-900 的 IPF 与各自的晶粒尺寸分布结果显示,3 个样品的晶粒结构和尺寸存在明显差异。(c2-和2) 分别为 MEA-SS、MEA-AT-700 和 MEA-AT-900 的 ECCI 图像。只能在 MEA-AT-900 样品的 FG 边界处观察到大尺寸的条状沉淀物。(f1) 和 (f2) FGs 的 EBSD IPF 图与带状对比图像叠加,显示了 FG 区域的分数。(f3) 纳米压痕硬度试验的结果,压痕点用 (f1) 和 (f2).
图 2.TEM 和 STEM-EDX 图像显示 MEA-AT-700 中的沉淀物。(一个1) 和 (b1) MEA-AT-700 中 CG 和 FG 的暗场 TEM (DF-TEM) 图像。(一个2) 和 (b2) L1 区域的 IFFT 图像2纳米沉淀物(由 FFT 图像确认),取自光斑的选定区域电子衍射图谱(由 (a1) 和 (b1).纳米沉淀物的一些区域用蓝色虚线和线条标记。(一个3) 和 (b3) 还给出了沉淀物的 STEM-EDX 元素映射(以 Ni 为例)和沉淀物面积等效直径的分布图,说明了沉淀物的小尺寸。(c1) 和 (d1) MEA-AT-900 中 CG 和 FG 的 DF-TEM 图像以及相应的选定区域电子衍射 (SAED) 图谱,证实了 L1 的存在2沉淀。(c2) 和 (d2) 还给出了沉淀物的 STEM-EDX 元素映射(以 Ni 为例)和沉淀物面积等效直径的分布图,说明了沉淀物的尺寸比 MEA-AT-700 中的沉淀物更大。
图 3.MEA-SS、MEA-AT-700 和 MEA-AT-900 在室温和低温下的机械性能。(a) (CoCrNi) 的硬度测试结果94到3钛3在 700 °C 下经历了不同的老化时间。 随着时效时间的增加,硬度迅速上升,并在 3 小时左右达到峰值。(b) 和 (c) MEA-SS、MEA-AT-700 和 MEA-AT-900 在室温和低温下的工程应力-应变曲线。(d) YS、UTS 和从环境温度到低温的总伸长率增加的统计结果。(e) MEA-AT-700 和 MEA-AT-900 在不同温度下对应的应变硬化曲线。(f) 目前的 MEA 与其他材料之间的机械性能比较,用于潜在的低温应用,数据引用可在补充表 1 中找到。
图 4.低温变形过程中 MEA-AT-700 中典型 FG 和 CG 的 Schmid 因子值和 KAM 值的变化。(a) 随机选择的 CG 晶粒和 FG 晶粒在不同菌株 (0%、4%、15% 和 30%) 下的形貌及其 IPF 图、KAM 图和 Schmid 图。(b) 所选 FG 和 CG 的纵横比的演变。(c) 和 (d) 通过统计大量 FG 和 CG 获得的平均 KAM 值和 Schmid 因子值的演变。
图 5.低温变形过程中 MEA-AT-700 和 MEA-AT-900 的原位 EBSD 结果。(一个1-一个4) 和 (d1-d4) 两个样本的 IPF。随着变形程度的增加,晶粒表现出明显的变形。(乙1-b4) 和 (c1-c4) 两个样本的 GND 分布图。图像显示,随着应变的增加,GND 的密度呈异质分布。更多的 GND 位于 FG 区域中,例如区域 1 由 b 中的红色虚线循环突出显示1-b4.
图 6.MEA-AT-700 和 MEA-AT-900 在低温下具有 4% 应变的典型变形结构。(a) 和 (c) 明场 TEM (BF-TEM) 图像显示了 MEA-AT-700 在 CP 区和 DP 区的位错平面滑移特性。(b) HR-TEM 及其相应的 FFT 图谱和右侧的 IFFT 图像显示了 CP 区域的剪切机制。Ti 的 STEM-EDX 元素映射以及 (c) 右侧的 DF-TEM 也显示了 DP 区域的剪切行为。(d) BF-TEM 图像显示了 MEA-AT-900 中的高密度弯曲位错和位错缠结。(e) 和 (f) DF-TEM 和 BF-TEM 图像以及 Ti 的 STEM-EDX 元素映射以及放大的 BF-TEM 图像显示了 CP 和 DP 区域的 Orowan 机制。
图 7 .MEA-AT-700 和 MEA-AT-900 的典型变形结构在低温下具有 15% 的应变和 30% 的应变。(一个1-2) BF-TEM 图像显示 SB 和一些 SF 表明平面滑移特性。(乙1-2) BF-TEM 图像显示 SF 的存在和沉淀物周围的位错环。(c1) BF-TEM 图像显示了 MEA-AT-700 中的 SF 束,SAED 模式进一步证实了 SF 的特性和纳米孪生 (NT) 的存在。(c2) HR-TEM 和放大图像显示了 MEA-AT-700 中的 SF 束和 NT。SF 和 NT 的相关 FFT 模式见补充图 S6。(d1) 通过叠加 BF-TEM 和相应的 STEM-EDX 图获得的图像,显示沉淀物周围存在高密度弯曲位错,表明 Orowan 机制诱导显着的位错交叉滑移。(d2) HR-TEM 和插入 FFT 图像证实了低密度 SF 的存在。
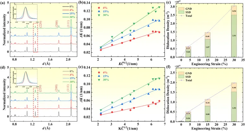
图 8.MEA-AT-700 和 MEA-AT-900 样品在低温下在不同应变下变形的中子衍射分析。
图 9.异质晶粒结构的形成机理:(a-c) 经历不同老化过程的样品的 IPF 图像,显示不同的 FGs 分数。三个样品的固溶处理与 MEA-SS 相似。(d) (CoCrNi) 的平衡相图94到3钛3使用 Thermo-Calc 软件计算。它显示了平衡相的摩尔分数随老化温度的变化。原位900 °C 下 MEA-SS 时效的 EBSD 实验:(e1-克1) IPF 图像显示晶粒尺寸分布随时效时间的增加而演变。(e2-克2) 放大的 IPF 和在 (e 中标记的区域的相应 GND 映射1-克1).(h) 元素分数与距离曲线以及通过 STEM-EDX 获得的结果跨不同边界的结果,以 Ni 为例。(i) FG 形成的示意图。
图 10.沉淀强化的示意图以及屈服强度和流应力的计算。(a) 示意图描述了沉淀物剪切应力和 Orowan 位错循环应力随老化温度的变化。(b) 不同强化机制对 YS 的贡献以及计算值与实验值的比较。(c) 异质材料中三个不同部分(FGs、常规 CGs 和 HBAR)的面积分数示意图。
在目前的工作中,我们证明了 DP(非连续沉淀)可以有效地用于在完全再结晶的材料中设计异质结构。通过仔细控制 DP 行为,我们成功地制造了异质 (CoCrNi)94到3钛3MEA 在低温下具有高强度和应变硬化的显着组合。研究了 FGs 的形成机制,并系统讨论了低温下优异应变硬化行为的起源。这项工作的主要发现如下:
1. FGs的形成机理:DP反应前沿跨GBs的扩散为再结晶提供了化学驱动力,从而导致DIR现象,导致FGs的形成。同时,GB 密度的增加和 GB 的移动进一步促进了 DP 反应。因此,GB 迁移和 DP 沉淀在老化过程中相互促进,有助于形成新形成的细粒。
2. 克服低温下的强度-延展性权衡:尽管通常认为老化过程中的 DP 不利于材料的强度和韧性,但 MEA-AT-700 的 UTS 和延展性产物超过了大多数 FCC 材料,可用于类似 YS 级别的潜在低温应用。导致高屈服强度的主要因素有两个:首先,通过热力学计算,700 °C 是最佳老化温度,它可以带来致密而细小的连贯沉淀物,提供足够的沉淀强化。其次,在 700 °C 下老化的剧烈 DP 行为诱导的高馏分 FG 有助于高晶界强化。与 MEA-AT-900 相比,沉淀剪切机制和令人印象深刻的应变硬化有助于 MEA-AT-700 获得更高的 UTS 和相当大的延展性。
3. 低温下卓越的应变硬化:一方面,我们利用 DP 行为引入晶粒尺寸异质性,从而产生明显的、与温度相关的 HDI 效应,从而显着增强应变硬化能力。另一方面,精细 L1 引起的“滑移面柔化”效应2沉淀导致增强的动态滑移细化机制。以上两个因素,以及 MEA-AT-700 中不常见的 SFs/NTs 导致低温下的高 SHR。因此,仔细控制 DP 行为策略有可能用于改善低温应用中沉淀增强材料的机械性能。
免责声明:本网站所转载的文字、图片与视频资料版权归原创作者所有,如果涉及侵权,请第一时间联系本网删除。
官方微信
《腐蚀与防护网电子期刊》征订启事
- 投稿联系:编辑部
- 电话:010-62316606
- 邮箱:fsfhzy666@163.com
- 腐蚀与防护网官方QQ群:140808414














