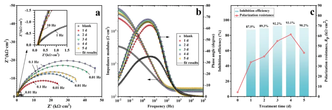
缓蚀和封护是青铜文物保护处理的重要环节,长期以来,青铜文物缓蚀、封护材料研发工作聚焦于提升缓蚀、封护材料的长期防护性能,却往往忽略了其可逆性问题,这导致很多具有优异性能的缓蚀、封护新材料在文物保护具体实践中难以落地使用。需要注意的是,尽管缓蚀、封护材料的使用可有效延缓青铜文物腐蚀劣化,但却也不可避免地会向器物本体引入外来物质,对器物中蕴含的考古信息造成干扰。由此,寻找最小干预原则和最佳保护效果之间的平衡是文物保护研究需要关注的重点问题。 针对上述问题,中国科学院大学研究团队基于青铜文物光致腐蚀机理相关前期研究成果,提出了一种基于光致钝化机制的青铜文物腐蚀防护新策略,可通过紫外光照射促进青铜表面锈层中致密SnO2钝化膜的形成,从而显著抑制青铜基体腐蚀。基于光致钝化机制对带锈青铜样品进行缓蚀处理的缓蚀效率可达93%,与常见青铜文物有机缓蚀剂效果相当。值得注意的是,该过程仅需光照等参与,形成SnO2钝化膜所需的Sn元素来源于器物本体,不会向器物本体引入外来物质,且钝化膜厚度仅为几十纳米,对锈层成分无明显影响,最大程度满足了文物保护的最小干预原则。总而言之,这项研究一定程度上解决了青铜文物保护工作中最优保护效果和最小干预原则不可兼得的矛盾问题,为青铜文物腐蚀防护技术的研发提供了新思路。相关研究成果,近期以Photo-induced passivation: A new corrosion mitigation strategy for bronze artefacts为题发表于材料腐蚀领域国际顶级学术期刊Corrosion Science。 图1 不同锡含量铸态Cu-Sn-Pb合金在避光及紫外光照射下的极化电阻变化规律 (a) Cu5Sn, (b) Cu10Sn, (c) Cu15Sn, (d) Cu20Sn 图2 低锡青铜光致腐蚀机理示意图 图3 高锡青铜光致腐蚀机理示意图 图4 光致钝化处理对带锈青铜样品的缓蚀效果 来源:中国科学院大学人文学院 原文链接: https://authors.elsevier.com/a/1jf23,Fwi-ST9
免责声明:本网站所转载的文字、图片与视频资料版权归原创作者所有,如果涉及侵权,请第一时间联系本网删除。
官方微信
《腐蚀与防护网电子期刊》征订启事
- 投稿联系:编辑部
- 电话:010-62316606
- 邮箱:fsfhzy666@163.com
- 腐蚀与防护网官方QQ群:140808414







