导论:随着高度集成电路的不断发展,伴随着对能源效率和减轻重量的需求不断增长,材料面临着与导热性和轻量化有关的日益严峻的挑战。由于镁合金的内在机理众多,其导热系数与力学性能往往呈反比关系,成为制约镁合金应用的瓶颈。通过对提高镁合金导热系数的几种有效改性方法的研究,阐述了改性方法对镁合金力学性能的影响规律,明确了峰时效处理是同时提高镁合金导热系数和力学性能的最佳方法之一。作为最常用的镁合金,铸造合金表现出实现高导热性的巨大潜力。此外,最近的报告表明,热变形可以显著改善合金的力学性能,同时保持并可能略微提高合金的导热性。这为镁合金在要求高强度的小体积散热元件领域的应用提供了一条有意义的途径。本文首先概述了标准测试和预测方法,然后介绍了用于预测导热系数的理论模型,然后探讨了影响导热系数的主要影响因素。综述了镁合金的发展现状,重点介绍了镁合金在高导热性和高强度两方面的研究进展。最后,它提供了对该领域未来前景和挑战的见解。
Mg作为最轻的结构金属材料,具有比强度高、密度低的优点。镁合金具有优良的导热性(TC),具有开发轻质散热元件的潜力,因此,镁合金的研究在世界范围内得到广泛开展。市场反馈表明,TC值为120 W·K?1·m?1通常被认为是3C(计算机、通信和消费产品)应用的阈值。若要用作发光二极管辐射模块等领域的热元件,则更需要达到130 W·K 1·m 1。此外,当考虑到降低成本、提高能源效率和减轻重量的迫切需要时,很明显,很少有金属能满足这些苛刻的标准,如表1所示。值得注意的是,Mg及其合金具有密度低、比强度高、导热系数高的优点,室温下纯Mg合金的导热系数可达158 W·K?1·m?1。因此,近年来镁合金的导热性受到了越来越多的关注,根据Web of Science Core Collection中以“镁合金”和“导热性”为关键词检索到的近年来的出版物数量,如图1(a)所示。
表1。各种纯金属的热导率(TC)和密度。
图1所示。(a)“镁合金”和“导热系数”关键词检索到的论文数量,(b)关键词统计的网络可视化图。
不幸的是,大量的研究已经揭示了镁合金的强度和TC之间的内在权衡。这种权衡源于这样一个事实,即几乎所有主要的强化机制(例如,细晶强化、固溶强化和位错强化)都倾向于导致TC的降低,这与固溶体原子、位错和晶界作为晶格缺陷的电子散射有关。此外,织构强化引入了各向异性。因此,寻找一种既具有高强度又具有高TC的镁合金仍然是一个挑战。Mg-1.0Zn-0.9Cu合金表现出148 W·K?1·m?1的超高TC。但其抗拉屈服强度(TYS)、极限抗拉强度(UTS)和断裂伸长率(EL)分别仅为55 MPa、176 MPa和13.9%,仅略优于纯Mg。而峰时效Mg-2.0Gd-2.0Nd-2.0Y-1.0Ho-1.0Er-0.5Zn-0.4Zr合金,虽然表现出较高的力学性能(TYS: 215 MPa, UTS: 306 MPa, EL: 5.7%),但其相对较低的TC为53 W·K?1·m?1。
高TC允许温度均匀分布和减少热应力,从而延长导热材料的使用寿命。此外,增强的机械性能使这些材料适合生产具有更严格强度要求的散热部件。因此,该领域的研究人员一直致力于开发既具有高TC又具有优异机械性能的镁合金。如图1(b)所示,镁合金热变形的最新研究趋势主要集中在“相组成”、“溶质原子”、“热处理”、“挤压”、“力学性能”等相关领域。然而,近年来“抗拉强度”、“力学性能”等关键词呈现上升趋势,这表明研究人员越来越多地将重点转向开发“高强度”与“高导热性”相结合的高性能镁合金,如图1(b)所示。本文介绍了镁合金的几种常用改性方法,包括热处理、热变形和合金化法。探讨了这些方法对复合材料性能的内在影响以及对复合材料力学性能的影响。此外,它突出了应用模拟预测工具在追求高性能镁合金方面的巨大研究潜力。最终目标是为高性能镁合金的发展铺平道路。
重庆大学谭军教授等人在这篇综述中,首先概述了常用的测试和预测方法,然后是用于预测导热系数的理论模型。然后讨论了影响导热系数的主要因素,包括合金化(溶质原子、第二相、价态)和变形(织构、晶粒尺寸、位错密度)的影响,以及服务温度和热处理(固溶处理、时效处理、退火处理)等考虑因素。总结了镁合金的发展现状,强调追求高导热性和高强度相结合的合金。内容总结了对该领域未来前景和挑战的见解。
相关研究成果以“Recent advancements in thermal conductivity of magnesium alloys”发表在 Journal of Magnesium and Alloys上。
链接:https://www.sciencedirect.com/science/article/pii/S2213956724000811?via%3Dihub
表2。不同纯金属的比热容。
表3。理想Mg晶体和某些Mg合金的晶格常数及其TC(*表示从相应文献中的图像获得的数据)。
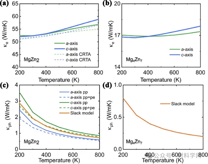
图2所示。(a, b) MgZn2和(b, d) Mg4Zn7的电子导热系数和(c, d)声子导热系数。
图3所示。(a)固体传热示意图[76],(b)晶格中Zn原子在传热过程中对电子和声子的散射。
图4所示。研究了6种二元镁合金在铸态和固态以及(a-f) Mg- al、Mg- zr、Mg- mn、Mg- ca、Mg- zn和Mg- sn合金的导热系数和电导率。
图5所示。(a) Mg-La相图,(b)不同挤压温度下Mg-La- zn - zr合金的TC和热扩散系数。
图6所示。(a-c)组织,(d)织构,(e)挤压态Mg-5.0Zn-1.1Mn合金的力学性能和导热系数。
图7所示。(a)晶粒尺寸对纯Mg室温和低温导热系数的影响,以及(b-f)相应的显微组织。
图8所示。热导率受(a) Burgers矢量和(b)位错类型的影响。
图9所示。挤压参数对Mg-5.6Zn-1.8Yb-0.3Zr合金组织的影响
表4。变形参数对镁合金室温导热系数的影响(*表示从相应文献中的图像获得的数据)。
图10所示。(a)室温~ 300℃范围内Mg-3.2Al-4.4La-0.4Nd和AE44合金的热扩散系数,(b)比热和(c)导热系数。
图11所示。(a) Mg- al, (b) Mg- zn, (c) Mg- mn合金在0-300 K温度范围内的导热系数随温度的变化。
图12所示。498k时效(a) 4h, (b) 24h, (c) 300h的Mg-12.0Gd合金基体与相界面;(d)单元胞体积与导热系数的关系。
图13所示。三种Mg-Zn-La合金在200°C时效(a-c) 3或5 h, (e-g) 20 h的HAADF图像,以及(d)基体和(h)第二相Zn原子浓度。
图14所示。近年来高性能(a)铸造镁合金和(b)变形镁合金的发展现状:蓝点为无re镁合金,黄点为添加re镁合金。
在镁合金发展的新形势下,研究人员已经从单纯追求高导热系数(TC)转向追求既能提高机械强度又能提高TC的高性能镁合金,这使得研究人员在合金元素类型和添加量的选择以及热处理工艺参数的制定上更加谨慎。这种转变使镁合金能够满足各种应用领域对增强强度不断增长的需求。然而,强度和TC之间的内在权衡对开发这种高性能合金提出了重大挑战。这导致了高强度、高导热镁合金发展的瓶颈。近年来,研究人员通过优化合金元素的种类和用量、探索更合适的热处理工艺参数和热挤压方法,不断尝试制备导热性能更好、力学性能更平衡的新型镁合金。在目前的研究中,铸造镁合金的性能主要集中在120 W·K?1·m?1和220 MPa,而挤压镁合金在130 W·K?1·m?1和330 MPa左右的性能已经值得关注。
本文对合金体系的优化、热处理和热变形进行了综述。本文综述了高性能镁合金的最新研究进展,旨在为其今后的发展提供有价值的指导。建议提出以下意见:
(1)在选择合金元素和寻求最佳添加量时,宜选择原子半径和价态与Mg相近、在所需的试验温度下在Mg基体中的固溶度较低的元素。当合并多种元素时,它们的原子比例应该理想地与预期相的形成一致。
(2)固溶处理总体上降低TC,时效处理总体上提高TC,但也有个别例外。随着时效时间的延长,TC逐渐增大。然而,在优化TC和保持所需的机械性能之间取得平衡是至关重要的,因为仅仅延长老化时间可能是不够的。
(3)热变形在一定程度上提高了合金的TC,但由于变形引起的织构引入了各向异性。然而,显著改善的机械性能使其有足够的潜力制造小型、高强度、散热的镁合金部件。
(4)高温合金的研究主要集中在室温,对高温高温合金和高温力学性能的研究存在较大空白,值得深入研究。
(5)目前对导热镁合金的研究主要集中在铸态合金上,通过复合材料、增材制造和SPD方法(如等通道角挤压)探索导热性能与力学性能平衡较好的导热镁合金还存在明显的空白。
(6)在高性能镁合金领域,普遍采用的方法是通过实验收集数据,然后推导出潜在的模式。遗憾的是,理论预测工具,如第一性原理分析和分子动力学模拟,可以为实验提供有价值的指导,在这一领域明显缺乏。
免责声明:本网站所转载的文字、图片与视频资料版权归原创作者所有,如果涉及侵权,请第一时间联系本网删除。
官方微信
《腐蚀与防护网电子期刊》征订启事
- 投稿联系:编辑部
- 电话:010-62316606
- 邮箱:fsfhzy666@163.com
- 腐蚀与防护网官方QQ群:140808414




















