导读:对于在冷却时经历固相转变的合金,比如易热裂的高强度马氏体时效钢C465由于缺乏凝固状态的化学偏析数据,难以消除热裂。本文通过添加氮化钛(TiN)颗粒,解决了激光粉末床熔合工艺下的热裂问题。凝固过程中,氮化钛促进晶粒细化,减缓低固相温度下液膜的形成。在冷却条件下,氮化钛部分溶解使得马氏体的起始温度降低,于是生成较多残余奥氏体。在随后的退火中,溶解的钛减慢了奥氏体还原动力学,而溶解的氮提高了屈服强度。拉伸变形下的材料遵循三个阶段的加工硬化行为,表明应变诱导马氏体相变。这项工作强调,除了核剂的晶粒细化能力外,在处理易发生相变的合金的热裂问题时,还需要严格检查加工过程中核剂部分溶解的影响。
高强度钢(HSS)已经得到广泛研究并在增材制造(AM)应用,如沉淀硬化不锈钢和马氏体时效钢,但最先进的高强度钢并没有被广泛接受。这种采用率差异的一个主要原因是,像许多其他合金一样,高强度钢在快速凝固过程中会出现裂纹。然而,与大多数易裂纹材料(如铝和镍合金)不同,钢在制造过程中经常经历多次相变,这使得其内部的裂纹缓解任务更加艰巨。
自2010年以来,定制高速钢因其高耐腐蚀性,受到学术界和工业界越来越多的关注。它可以在不需要保护涂层(防范有毒的镉和铬)的情况下运行,因而提供了更可持续,更环保。据研究,在不锈钢高强度钢中,C465具有最高的强度之一,比17-4 PH高出约50%,同时具有相当高的耐腐蚀性和韧性。如果利用这些特性,结合增材制造,有望实现一些新功能和应用,例如高性能汽车上的吸冲击力泡沫、带有内部冷却通道的复杂钻头、复杂的大推力船舶螺旋桨。
在本研究中,我们尝试使用激光粉末床熔合(LPBF)技术制备C465。我们的初步结果表明,该合金在激光粉末床熔合过程中极易发生热裂。增材制造合金中热裂纹(也称为热撕裂)通常因为凝固结束时,分裂诱导液膜固相温度低于周围材料。
在以往的增材制造工作中,已采用了几种方法降低热裂纹。但是对于热裂纹敏感钢,直接采这些方法仍然存在问题。因为现代高速钢(主要是马氏体时效等级)经历了多次相变。因此,通过实验手段获取凝固后的元素分配信息很复杂。阻碍了在增材制造过程中通过合金设计来消除热裂。
本文以C465合金为例,强调解决高强度马氏体时效钢的热裂问题时,需要考虑的复杂性质等重要方面。我们将首先介绍材料中热裂纹的严重性,以及几种现有热裂纹消除方法的局限性。在前驱钢原料粉末中引入钛颗粒,得到无裂纹试样。并对钛对组织和拉伸性能的影响进行了详细的研究和讨论。这项工作不仅有助于采用高强度不锈钢马氏体时效钢进行增材制造,而且还有助于任何在生产过程中经历相变的合金,如快速凝固。
华东理工大学孙彬涵等教授相关研究以“Laser powder bed fusion of crack-susceptible stainless maraging steel undergoing solid-state phase transformations”为题发表在Acta Materialia上。
链接:https://www.sciencedirect.com/science/article/pii/S1359645423008637
图1所示。C465®合金在(a) OM和(b) SEM条件下裂纹的代表性图像。(c)拉伸断裂后,这些裂纹表面光滑且呈枝晶状,表明存在热裂纹(即凝固裂纹)。(d)在BSE模式下发现均匀分布的明亮对比线和纳米级析出物。
图2所示。两热裂纹附近铸态C465合金的EBSD研究。(a)与图像质量图叠加的相图,蓝色为残余奥氏体(FCC)的分布,红色为转变马氏体(BCC)的分布。(b)与图像质量图叠加的逆极图(inverse pole figure, IPF),显示了颗粒形态及其在面外观察方向上的方向。(c)先前奥氏体晶粒重建过程中马氏体转变变体的分类。(d)图2(c)中白色实线包围的马氏体晶粒相对于母体奥氏体晶粒取向的极点图。遵循Kurdjumov-Sachs (KS)关系的理论方向用黑色圆圈标记。(e)先前重建的奥氏体IPF图,蓝色突出显示高角度晶界(HAGBs),白色箭头表示裂缝。
图3 成品C465合金的扩大EBSD研究。(a)叠加在图像质量图上的残留奥氏体晶粒。(b)在面外方向观察的奥氏体和马氏体相的IPF图。位于BCC马氏体内的FCC晶粒用黑色虚线框表示。(c)重建的奥氏体晶粒。
图 4 含热裂纹的C465合金的能谱图。钛沿裂纹富集,同时检测到铁的耗尽。其他元素如Ni、Cr、Mo等没有明显的化学偏析。
图 5 C465合金的额外增材制造,(a)使用更小的激光功率130 W和更薄的10 μm厚度,与175 W和30 μm粉末厚度的原始样品相比。(b)在保持激光加工条件不变的情况下,通过粉末混合加入1.0 wt.%的TiN颗粒。
图6 (a)纯C465和(b)掺有1 wt.% TiN颗粒的C465在不同的临界间退火温度下退火4h后的显微硬度值。
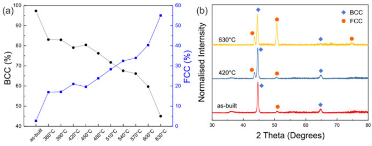
图7 . (a)面心立方(FCC)相的数量,包括保留的和还原的奥氏体,以及体心立方(BCC)或体心四边形(BCT)马氏体的体积%。(b) C465合金在铸态、420℃(峰值显微硬度)和630℃(过退火)条件下的代表性XRD谱。
图8 (a1-a4)纯C465和(b1-b4)含1 wt.% TiN的C465的IPF图分别由重建的奥氏体晶粒、在构建条件下的样品和在420℃和630℃退火后的样品组成。相应的相位图也放在相关指规数数据的下面。
图9 (a1-a3)构建的C465和(b1-b3) C465暴露于630°C后4小时(过退火条件)的扫描透射电子显微镜(STEM)。(a1)中的黄色箭头表示沉淀物的位置。
图10 (a)含1 wt.% TiN的C465和(b)含1 wt.% TiN的C465在420℃热处理4小时后的扫描透射电子显微镜(STEM)。(c)这两种条件下的平均沉淀半径和体积分数。(d)在420℃下热处理4 h后TiN析出物的能量色散x射线能谱图(EDS)。
图11. (a)纯C465合金在铸态420℃退火和630℃退火条件下的拉伸性能;(b)在铸态、420℃退火、450℃退火和630℃退火条件下,TiN含量为1wt .%的C465合金;(c)含1.5% wt.% TiN的C465合金,在铸态和450℃退火条件下。
图12. (a)利用ThermoCalc TCFE12数据库对C465合金进行Scheil-Gulliver模拟。(b)计算得到的Scheil凝固过程中元素的分配系数。
图13所示。(a) C465合金的马氏体起始温度()与Ti和N浓度的变化有关,使用ThermoCalc钢模型计算。(b)平衡条件下C465合金中FCC的摩尔分数与Ti浓度和温度的关系。(c)在含TiN量为1 wt.%的C465合金中,在420℃热处理4 h后,TiN析出物优先沿晶界/相界分布。
图14所示。(a)计算溶解氮对屈服强度的贡献,添加1 wt.% TiN的C465的屈服强度差异,Orowan-Ashby和修正的orowan模型的沉淀强化,以及取代元素的固溶体强化。(b)图11拉伸结果的加工硬化曲线。(b1)掺1wt .% TiN的C465在断口处的IPF图。(b2)相变诱发塑性(TRIP)钢典型的三阶段加工硬化行为示意图。
图15所示。TiN对C465合金显微组织和相演化影响的示意图。
附录图1。以假设的奥氏体“Fe-18Ni-1X”合金为例,研究了不同合金成分的平衡分配系数与熔化温度的关系。
综上所述,为解决在激光粉末床熔合过程中易发生相变的合金热裂问题,本文工作突出了需要考虑的潜在因素。冷却过程中的固态相变抹去了元素分布信息,而这对于解决热裂问题至关重要。基于本研究的不锈钢马氏体时效钢C465,主要结论如下:
(1)
尽管Ti元素有助于钢中所需的η-Ni3Ti强化相的形成,但在凝固过程中Ti元素有很强的分配倾向,分配系数接近0.2,这导致Ti元素沿着HAGBs分裂并形成低固相液体膜,从而引发热裂。单纯的工艺修改,如降低热量输入,不足以防止其分块或消除热裂纹。
(2)
晶粒成核剂TiN能有效减小奥氏体晶粒尺寸,从而解决C465的热裂问题。然而,与在使用过程中不经历相变的材料不同,为马氏体时效钢等相变材料选择晶粒细化剂时,除了晶粒细化能力外,还需要考虑几个额外的因素。
(3)
在冷却过程中,基体中Ti颗粒的部分溶解降低了合金的马氏体起始温度,从而产生更多的残余奥氏体。此外,在高于400℃的高温下,基体成分变化降低了平衡奥氏体含量。再加上纳米TiN的齐纳渐缩效应,奥氏体在加热过程中受到动力学限制。
(4)
TiN的引入也会影响合金的拉伸性能。在用TiN退火后,TiN颗粒部分溶解产生的溶解N有助于提高屈服强度。本研究中奥氏体稳定性较低,TiN材料发生了应变诱导马氏体相变。为了确保高后均匀伸长率,之后需要完全无裂纹的样品。
免责声明:本网站所转载的文字、图片与视频资料版权归原创作者所有,如果涉及侵权,请第一时间联系本网删除。
官方微信
《腐蚀与防护网电子期刊》征订启事
- 投稿联系:编辑部
- 电话:010-62316606
- 邮箱:fsfhzy666@163.com
- 腐蚀与防护网官方QQ群:140808414




















