北京科技大学《JMST》:屈服377 MPa,延伸率为8 %!引入双峰晶粒结构实现Cu合金强度-塑性权衡!
2023-08-23 16:51:42 作者: 材料学网 来源: 材料学网 分享至:

 

导读:弥散强化铜合金可以获得超高强度,但通常以牺牲延展性为代价。本研究通过引入双峰晶粒结构,实现了一种克服Cu合金强度-塑性权衡的策略。采用机械合金化结合放电等离子烧结技术成功制备了Ta含量仅为0.5 at .%Cu - Ta合金。采用一步球磨法和两步球磨法制备的样品分别命名为Cu - Ta ()Cu - Ta ()。显微组织表征表明,Cu - Ta合金中获得了超细等轴晶,且Ta析出相均匀弥散分布。在Cu - Ta ()中获得了屈服强度为377 MPa,延伸率为8 %的高强度。通过两步球磨法成功地在Cu - Ta ()中引入了由细晶区和粗晶区组成的双峰晶粒结构,屈服强度( 463 MPa )和延伸率(~15 % )均得到了显著的协同增强。随着退火时间的增加,Cu-Ta ()Cu - Ta ()的硬度值几乎保持不变,Cu-Ta ()Cu - Ta的软化温度也基本保持不变。这表明Cu - 0.5 at.% Ta合金具有优异的热稳定性和优异的抗软化性能。具有半共格结构的Ta纳米团簇在增强合金的强度和组织稳定性方面起着至关重要的作用。双峰结构有利于背应力强化的激活和微裂纹的萌生和扩展,从而获得强度和延伸率的非凡组合。本研究为制备具有高强度、高延伸率、优异热稳定性和抗软化性能的弥散强化Cu合金提供了新的途径,在未来聚变堆领域具有潜在的应用价值。

铜基合金因其超高的强度和优异的导热性能,被选为聚变堆高热流密度应用部件的可行候选材料,尤其是沉淀强化铜( PS-Cu )合金和弥散强化铜( DS-Cu )合金。随着聚变堆的发展,与国际热核反应堆( ITER )的热负荷( 10MW / m2 )相比,示范堆( DEMO )的热沉材料必须在更高的热负荷下服役。同时,为了安全运行,对其力学性能提出了更高的要求,如更高的强度和热稳定性。未来聚变反应堆有必要开发在高温条件下服役的新型铜合金。近年来,难混溶Cu - Ta合金由于具有高的机械强度、优异的热稳定性和低的蠕变速率等前所未有的性能而备受关注。Darling等人采用高能低温机械合金化结合等通道转角挤压制备了纳米晶Cu - 10at.% Ta合金,并且发现从原子尺度的共格团簇到达到几个纳米的非共格团簇的Ta析出物在超常的微结构稳定性中起着有利的作用。Ta纳米团簇也被认为是重要的增强体,在Cu - Ta合金的强度贡献中占主导地位。最近,斯里尼瓦桑等报道了Cu - Ta合金的拉伸力学性能,对于Cu - 1 at.% Ta合金,当Ta含量超过5 at.%时,合金变脆,抗拉强度接近500 MPa,延伸率接近10 %在以往的研究中,Cu - Ta合金大多采用高能深冷机械合金化结合等通道转角挤压的方法制备,工艺相对复杂。此外,Ta的含量高,价格昂贵。这些问题成为发展Cu - Ta合金大批量生产面临的主要挑战。因此,在保持较高的强度和良好的组织稳定性的前提下,为了降低成本,有必要降低Ta含量,有效简化Cu - Ta合金的制备和加工工艺。

机械合金化由于具有高能量使CuTa之间形成更高的亚稳固溶体的能力,已被证实是制备Cu - Ta合金体系的一种简单有效的方法。同时,在机械合金化过程中可以有效细化晶粒,显著提高位错密度。值得注意的是,即使在接近CuTm的温度下,Ta原子在Cu晶格内的扩散也非常缓慢,Ta原子倾向于在晶界处偏聚,这导致Cu - Ta合金的脆性增加,性能恶化。为保证服役过程中的安全运行,采取有效措施提高Cu合金的力学性能,尤其是延展性是极为必要的。一些旨在打破铜合金强塑折衷惯例的工作已经开展。张教授等人在Cu - 2.03 wt.% Al2O3合金中引入极少量的Ti来改善Al2O3 / Cu界面结合和基体晶粒组织,延伸率从- 5.7 % ( Cu-2.03 wt . % Al2O3合金)提高到- 9.3 %( Cu-2.03 wt . % Al2O3合金)至△9.3 % ( Cu-2.03 wt . % Al2O3-0.2 wt . % Ti合金)。周教授等人采用不同尺寸和数量的不锈钢球球磨制备了Cu - 5 vol . % Al2O3合金,获得了7.5 %的延伸率。迄今为止,报道最多的DS - Cu合金的延展性仍然较低,因此有必要进一步探索提高Cu合金延展性的新方法,以获得强度和延伸率的优异组合。

北京科技大学常永勤教授团队对此进行了研究,设计并制备了Ta含量仅为0.5 at . %Cu - Ta合金,采用常规机械合金化和放电等离子烧结( SPS )结合热轧工艺制备。此外,通过两步球磨法的新型机械合金化方法,在Cu - 0.5 at . % Ta合金中成功引入了双峰晶粒结构。详细研究了其微观结构、力学性能、热稳定性和抗软化性能,并对相关机理进行了探讨。关研究成果以题为“Enhanced mechanical property by introducing bimodal grains structures in Cu-Ta alloys fabricated by mechanical alloying”发表在期刊Journal of Materials Science & Technology上。

 

链接:

https://www.sciencedirect.com/science/article/pii/S1005030223006643

1 . Cu-Ta ()Cu - Ta ()的制备工艺。

 

2 . Cu-Ta (Ⅰ)Cu - Ta (Ⅱ)XRD图谱。

 

3 . Cu-Ta (Ⅰ)EBSD结果:( a )反极图,( b ) HGBsLGBs的比例,( c )平均晶粒尺寸的统计结果。

 

4 . Cu-Ta (Ⅱ)EBSD结果:( a )反极图,( b ) HGBsLGBs的比例,( c )细晶和( d )粗晶的平均晶粒尺寸的统计结果。

 

5 . ( a ~ c ) Cu-Ta (Ⅰ)微观结构的TEM照片,( d ) CuTaOC元素的HAADF - STEM照片和相应的EDS元素分布图。

 

6 . ( a , d) Ta纳米团簇的高分辨TEM图像(黄色方框所围区域的(插图为快速傅里叶变换( FFT )图像)HRTEM图像中黄色方框区域的( b , e)反快速傅里叶变换( IFFT )图像,( c ) Ta纳米团簇和( f ) Ta颗粒的统计结果。

 

7 . ( a ~ c ) Cu-Ta (Ⅱ)中的粗晶区和细晶区,( d )细晶区和( e )粗晶区中Ta析出相的弥散,( f )细晶区中弥散分布的位错胞。

 

8 . ( a ) Cu-Ta (Ⅰ)Cu - Ta (Ⅱ)的硬度和( b )工程拉伸应力-应变曲线。

 

9Cu-Ta (Ⅱ)在塑性变形过程中的微观组织演变图。

 

10 . ( a , b) Cu-Ta (Ⅰ)( cd) Cu-Ta (Ⅱ)拉伸试样断口形貌。

 

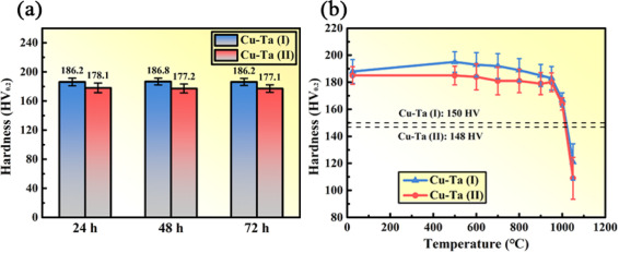
11 . ( a ) 450℃Cu - Ta (Ⅰ)Cu - Ta (Ⅱ)的硬度随退火时间的变化,( b ) Cu-Ta (Ⅰ)Cu - Ta (Ⅱ)的硬度随退火温度的变化。

 

12。总结了( a )以机械合金化为主制备的DS - Cu合金的UTSEL的其他研究,( b )以机械合金化为主制备的不混溶Cu合金的维氏硬度和软化温度的其他研究。

4 .结论

采用机械合金化+放电等离子烧结+热轧的方法制备了Cu - 0.5 at.% Ta合金。同时,本工作采用了一种新型的机械合金化方法- -两步球磨法。得出的主要结论如下:

( 1 )采用两步球磨法制备弥散强化Cu合金,在Cu - Ta合金中成功引入由细晶区和粗晶区组成的双峰晶粒结构。

( 2 )高密度弥散分布的Ta析出相均匀分布在Cu基体中,包括Ta纳米团簇和粗大的Ta纳米颗粒。具有半共格结构的Ta纳米团簇在提高合金的强度和组织稳定性方面起着至关重要的作用。

( 3 )双态晶粒结构在抑制微裂纹萌生和扩展方面发挥了重要作用,同时激发了背应力的作用,最终在Cu - Ta (Ⅱ)中实现了强度( 463 MPa)和延展性( 15 %EL)的协同提高,相比于Cu - Ta (Ⅰ) ( 377 MPa , EL8 %)显著提高。

( 4 )Cu-0.5 at . % Ta合金表现出优异的热稳定性,随着退火时间的增加,硬度值几乎保持不变Cu-Ta (Ⅰ)Cu - Ta (Ⅱ)的软化温度分别达到10181013℃,分别达到纯Cu ( 1083℃)93.9 %93.5 % Tm

( 5 )Cu-0.5 at . % Ta合金具有优异的强度和塑性,以及优异的热稳定性和抗软化性,在未来聚变堆领域具有潜在的应用价值。

免责声明:本网站所转载的文字、图片与视频资料版权归原创作者所有,如果涉及侵权,请第一时间联系本网删除。

    标签:
相关文章
无相关信息