导读:激光粉末床熔化( LPBF )制备的Co Cr Mo ( CCM )合金通常具有较低的延展性。在本研究中,针对LPBF制备的CCM合金,提出了一种新的残余应力定制的高堆垛层错( SF )塑性变形模式,在制备态下具有优异的延展性(~14.5 % )。精细的微观结构表征表明,较低的初始残余应力导致了较高的层错概率,产生了大量的SFs来维持塑性变形。这种大变形断裂活动缓解了高残余应力水平CCM合金FCC / HCP相之间的应变局部化。进一步的低温退火处理验证了上述理论,并将延展性提高到了21.4 %,抗拉强度达到了1181 MPa。本研究表明,通过调节LPBF制备CCM合金的内部残余应力和堆垛层错,可以显著提高合金的延展性。
CoCrMo ( CCM )合金通常由面心立方( FCC )和密排六方( HCP )双相结构组成,具有良好的生物相容性和优异的高温力学性能,已被成功用作骨科植入物和航空航天发动机部件。激光粉末床熔覆( LPBF )技术作为目前主流的增材制造( AM )技术之一,能够以最小的工装成本和材料损耗生产复杂几何形状的金属零件。先前的研究表明,与传统制备的CCM合金相比,LPBF制备的CCM合金具有更高的屈服强度。其强化机制归因于独特的微观结构,包括高密度的晶格缺陷、HCP相结构和生成的析出相。然而,HCP相的存在同时导致了微裂纹的形核和扩展,这是由于FCC / HCP相界面的高应变局域化倾向,最终导致了LPBF制备CCM合金的过早失效。尽管人们一直致力于通过采用新的扫描策略、调整化学成分和进行后期热处理等方法来调控FCC / HCP相结构,但迄今为止,人们仍在不断探索如何打破低压铸造CCM合金的强度和塑性困境。
在本研究中,我们报道了一种新的策略来有效地提高LPBF制备CCM合金的延展性而不降低其屈服强度。通过调节施加的激光工艺参数,低残余应力水平的LPBF制备的CCM合金在高残余应力状态下表现出广泛的晶格错动以维持大的塑性变形,而不是大量的位错增殖和积累,从而导致严重的应力集中和过早的失效。后热处理研究验证了上述发现,并进一步将延展性延长至20 %以上,抗拉强度高达1181 MPa。本研究有望为未来LPBF制备高性能CCM合金的激光工艺参数开发和相关的热处理工艺优化提供参考。
苏州大学机电工程学院的贾庆波教授团队对此进行了研究,相关研究成果以题为“Ductility enhancement of additively manufactured CoCrMo alloy via residual stress tailored high stacking fault probability”发表在期刊Scripta Materialia上。
链接:https://www.sciencedirect.com/science/article/abs/pii/S1359646223003494
图1 . LPBF制备的LED ( a-e )和HED ( f-j )样品的微观结构表征。( a ) ( f ) IPF着色图,( b ) ( g )相分布图,( c ) ( h )插入取向差角分布的KAM图,( d ) ( i ) SFs的TEM照片,( e ) ( j )纳米析出相的STEM照片。
图2 . LPBF制备的LED和HED样品的拉伸性能。( a )插入式拉伸试样的工程应力-应变曲线示意图,( b )插入式真应力-应变曲线对应的应变硬化率曲线,( c )屈服强度-拉伸伸长率和( d )极限抗拉强度-拉伸伸长率图,以便与文献数据进行比较。
图3 . LPBF制备的LED和HED样品的拉伸变形行为表征。( a )断裂LED样品的晶格缺陷的BF TEM照片,( b )放大图( a ),( c )对应的选区电子衍射( SAED )花样,( d-f )不同拉伸应变下HED样品中SFs的演变,( g )和( h )分别是( b ) HED样品在6 %应变后的HRTEM照片,( i ) HED样品在14.5 %应变后的放大图( f )。不同应变水平下LPBF制备的HED和LED样品的( j ) HCP相含量、( k )位错密度和( l ) SF概率和平均SF距离演化的XRD分析。
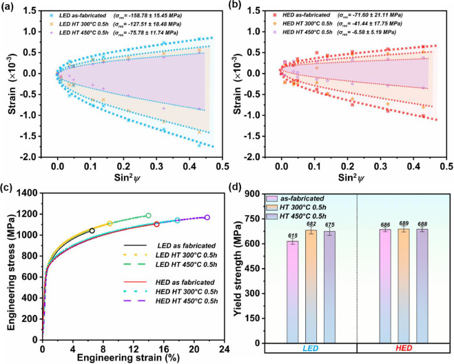
图4 .研究了LED和HED样品在热处理过程中的残余应力和拉伸性能演变。椭圆拟合曲线显示了( a ) LED和( b ) HED样品在不同热处理后的残余应力变化,( c ) LPBF制备的LED和HED样品在不同热处理条件下的工程应力-应变曲线和( d )屈服强度值。
综上所述,高残余应力引起的晶格畸变对LPBF制备CCM合金的变形模式选择和力学性能具有重要影响。通过降低LPBF制备CCM合金的本征残余应力,成功激活了SF介导的变形机制。由此产生的较低的初始晶格应变导致了较高的SF概率,有效地维持了塑性变形,并通过大量变形SF的扩散和传播来延缓断裂。后消应力处理研究验证了上述观察,并进一步将合金的延展性提高到了21.4 %,抗拉强度提高到了1181 MPa。本研究采用的内部残余应力调控策略为提升工艺参数,更重要的是为LPBF制备高性能CCM合金的后热处理开发提供了新的思路。由于经历不同的热循环和积累不同的残余应力,试样的成形方向是否能对合金的延展性产生类似的影响值得怀疑,然而,相关的微观组织(如晶粒结构)的不均匀性也会影响LPBFed CCM合金的力学性能。这超出了目前的研究范围,将在未来进行研究。
免责声明:本网站所转载的文字、图片与视频资料版权归原创作者所有,如果涉及侵权,请第一时间联系本网删除。
官方微信
《腐蚀与防护网电子期刊》征订启事
- 投稿联系:编辑部
- 电话:010-62316606
- 邮箱:fsfhzy666@163.com
- 腐蚀与防护网官方QQ群:140808414








