大块金属玻璃原子长程无序,表现出优异的力学性能,如高强度、高硬度、大弹性等,是一种很有前景的结构材料。然而当温度远低于玻璃转变温度时,大块金属玻璃塑性应变高度集中在狭窄的剪切带。剪切带的快速不稳定传播导致了灾难性破坏,使得金属玻璃一般表现为零拉伸塑性和低韧性,严重阻碍了其实际应用。为了促进剪切带的增殖并抑制剪切带的扩展,金属玻璃复合材料已被广泛探索并开发。在各种合金体系中,具有β-Ti/Zr枝晶的Ti/Zr基金属玻璃复合材料引起了广泛的研究兴趣。室温和液氮温度之间的低温热循环是一种改变金属玻璃和复合材料结构和能量状态的简单方法,诱导玻璃相的年轻化。年轻化诱导金属玻璃和复合材料塑性和韧性的提高,但相反的老化过程往往导致脆性。因此,年轻化为调节玻璃基体的能态和力学性能提供了新思路。目前,低温热循环年轻化的基本机制及其对力学性能的影响仍远未被充分了解,迫切需要系统研究低温热循环对金属玻璃复合材料冲击韧性的影响。
基于此,中科院金属所的研究团队系统地研究了低温热循环对含β-Ti枝晶Ti基金属玻璃复合材料组织和冲击韧性的影响。研究发现,低温热循环引起玻璃基体能量态的非单调演化,进而影响金属玻璃复合材料的冲击韧性。相关论文以题为“Non-monotonic influence of cryogenic thermal cycling on rejuvenation and impact toughness of Ti-based bulk metallic glass composites”发表在Scripta Materialia上。
论文链接:
https://www.sciencedirect.com/science/article/pii/S1359646223000659
图1(a)铸态和低温热循环处理的金属玻璃复合材料的XRD图谱;(b)和(c) EBSD彩色图,(d)和(e) KAM图,(f)和(g) TEM显微图。
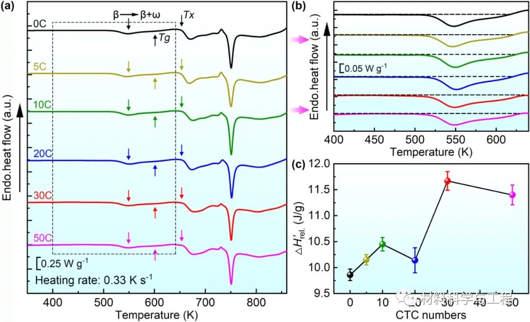
图2 (a)不同低温热循环处理的金属玻璃复合材料的DSC图谱;(b)在Tg之前的局部放大图;(c)弛豫焓随循环次数的演化。
图3(a) 铸态和低温热循环处理的金属玻璃复合材料在298 K时的冲击韧性;(b)和(c)主裂纹旁边区域的SEM显微图,(d)和(e) KAM图,(f)和(g) TEM显微图。
图4 低温热循环处理机制示意图。
在本研究中,研究人员系统研究了低温热循环处理对含β-Ti枝晶Ti基金属玻璃复合材料结构演化和冲击韧性的影响。结果表明,低温热循环处理的加入并没有改变β-Ti枝晶的微观结构,但随着循环次数的增加,玻璃基体的结构演化由年轻化和老化交替主导,形成非单调的年轻化。玻璃基体的非单调年轻化行为对金属玻璃复合材料冲击韧性影响十分明显。298 K时玻璃基体和枝晶的协同增韧作用由更活化的状态引起,金属玻璃复合材料的冲击韧性变化趋势与玻璃基体能量态的非单调变化趋势相同。但是在77 K时由于玻璃基体的韧性降低,玻璃基体的固有韧性决定了金属玻璃复合材料的韧性,韧性变化趋势与玻璃基体的非单调年轻化相反。这些发现阐明了低温热循环过程中年轻化和老化的变化及其对冲击韧性的影响。
免责声明:本网站所转载的文字、图片与视频资料版权归原创作者所有,如果涉及侵权,请第一时间联系本网删除。
官方微信
《腐蚀与防护网电子期刊》征订启事
- 投稿联系:编辑部
- 电话:010-62316606-806
- 邮箱:fsfhzy666@163.com
- 腐蚀与防护网官方QQ群:140808414








