近日,上海大学任忠鸣教授团队在增材制造镍基单晶高温合金领域取得新突破。相关成果在增材制造顶级期刊《Additive Manufacturing》(IF=11.632)上以“Microstructure characteristics of a René N5 Ni-based single-crystal superalloy prepared by laser-directed energy deposition”为题发表,其中通讯作者为上海大学的王江教授、陈超越副教授,上海大学为唯一通讯单位,英国伦敦大学玛利皇后学院的C. Panwisawas副教授以及西班牙加泰罗尼亚理工大学的鹿旭飞博士为共同作者。
全文链接:https://www.sciencedirect.com/science/article/pii/S2214860422007527
镍基单晶高温合金(Nickel-based single crystal superalloy, SX)因其消除了晶界,展现出了较高的抗蠕变和疲劳性能和热腐蚀性能等优异的高温力学性能,被广泛应用于现代航空发动机和燃气轮机的涡轮叶片的制造。目前,镍基单晶高温合金构件仍主要通过定向凝固工艺制造,存在生产周期长、元素偏析严重、组织不均匀等因素。如何制备超细化枝晶结构和均质化组织的镍基单晶高温合金依旧是业界的难题。增材制造的出现为镍基单晶高温合金的制备提供了新思路,目前增材制造镍基单晶高温合金的研究重点主要集中在外延生长和开裂机理上,但对于组织和性能的研究却相对较少。
该团队采用定向能量沉积(Laser-directed energy deposition, L-DED)制备René N5镍基单晶高温合金的显微组织和力学性能,在不同激光功率下外延生长获得了低角晶界(Low-angle grain boundary, LAGB)分数高于98.5%的无裂纹单晶高温合金,并与铸态样品进行的对比。该团队研究发现,采用平顶激光束的平熔线可以抑制L-DED过程中杂散晶粒和高角度晶界(High-angle grain boundary, HAGB)的形成。显微组织观察表明,L-DED SX合金的一次枝晶臂间距(Primary dendrite arm spacing, PDAS)随激光功率的增加而增加,枝晶高度细化,PDAS约为20 ~ 30 μm,明显低于铸态样品(~350 μm)。
Re、W、Ta等难熔元素的偏析随着激光功率的增大而增大,1100W和1300W激光功率下SX试样的元素偏析较铸态试样低。在不同薄壁相同高度处,W、Re、Ta等难熔元素的偏析随激光功率的增大而明显加重。难熔元素的原子半径大,扩散速率低。不同薄壁相同高度处W、Re、Ta偏析明显加剧,Co、Cr、Al偏析变化不明显。在凝固过程中,Al和Ta作为γ′相的主要形成元素聚集在枝晶间区,导致析出的γ′相尺寸更大。由于枝晶间区γ′相的生长驱动力大于枝晶区,导致枝晶间区γ′相的生长速度更快。同时,枝晶间凝固时间较长,导致枝晶间区γ′相生长时间较长,从而使得枝晶间区γ′相的平均尺寸大于核心枝晶的平均尺寸。此外,Re在枝晶核心处聚集,延缓了γ′相的生长,使枝晶区域的γ′相更加均匀地靠近正方形。
图1 L-DED SX高温合金的显微组织,其中BD代表成形方向: (a)为树枝状组织,局部放大(b-d)为树枝状组织;下标1、2、3分别表示在1100W、1300W、1500W激光功率下成形的SX试样
图2 L-DED SX高温合金的晶体取向行为,其中LD、TD、BD分别代表激光行进方向、横向和成形方向:(a-c)不同高度的EBSD取向; (d-f) EBSD GB(晶界图):(a, d) N5-1100; (b, e) N5-1300; (c, f) N5-1500
SX样品在枝晶核心处呈均匀的方形γ′相,平均尺寸为79~101 nm,体积分数为57 ~ 68%。所有样品的枝晶核和枝晶间区γ′相的形态和尺寸均有明显差异。枝晶区γ′相的尺寸明显小于枝晶间区。根据扫描电镜观察,沉积态试样枝晶核心和枝晶间γ′相平均体积分数分别为62.8%和68.5%,略高于铸态试样的60.3%。与铸态试样相比,L-DED试样中的碳化物呈现不连续、细化分布均匀分布。由于沉积态试样中PDAS较小,凝固过程中留给碳化物的生长空间较小。铸态试样的PDAS远大于沉积态试样的PDAS,为碳化物留下了更多的生长空间,使铸态试样的碳化物呈鱼骨状,而L-DED过程中较高的冷却速率和较短的凝固时间也显著地导致了沉积态试样的碳化物尺寸小于铸态试样。
图3 γ′相的SEM图像:(a) 1100W的枝晶区; (b) 1300W的枝晶区; (c) 1500W的枝晶区; (d)定向凝固的枝晶区; (e) 1100W的枝晶间区; (f) 1300W的枝晶间区; (g) 1500w的枝晶间区; (h)定向凝固的枝晶间区
图4 扫描电镜观察到的碳化物图像: (a) 1100w; (b) 1300w; (c) 1500w; (d)定向凝固时碳化物的SEM图像
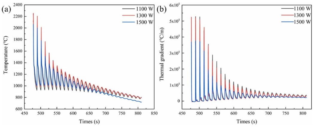
为了进一步揭示不同激光功率下的组织演化行为,本文开展L-DED过程的温度演化数值模拟模拟研究。由于激光定向能量沉积是逐层堆积的过程,因此在成形初期可以获得最大的温度梯度。随着沉积层高度的增加,热量在沉积层内积聚。因此,熔池边界温度的升高和凝固前沿温度梯度的降低导致一次枝晶间距值增大。其次,由于前期竞争生长淘汰取向差较大的柱状晶,也导致一次枝晶间距增大。随着激光功率从1100 W增加到1500 W,热梯度值从5.27×105℃/m减小到3.77×105℃/m。SX高温合金在激光功率最高的1500 W时,由于热积累严重,其热梯度最小。当沉积层高度达到10 mm后,激光能量的输入和与周围环境基板的传热熔池达到稳定状态,温度梯度基本不变,一次枝晶间距变化不大。当沉积到顶部时,熔池与顶部气体传热增加,导致温度梯度增加,因而一次枝晶间距减小。随着激光功率的增加,薄壁墙中相同高度的一次枝晶间距逐渐增加。随着激光功率的增大,熔池冷却速率和温度梯度增大,激光功率对熔池温度梯度的影响更加明显。因此,一次枝晶间距随激光功率的增加而增加。L-DED样品一次枝晶间距在9 μm~30 μm之间,比传统铸造(320 μm)小一个数量级。
图5 沉积40层(20 mm左右)连续沉积过程中(a)温度; (b)温度梯度的变化
免责声明:本网站所转载的文字、图片与视频资料版权归原创作者所有,如果涉及侵权,请第一时间联系本网删除。
官方微信
《腐蚀与防护网电子期刊》征订启事
- 投稿联系:编辑部
- 电话:010-62316606-806
- 邮箱:fsfhzy666@163.com
- 腐蚀与防护网官方QQ群:140808414









