导读:据报道,C-N共掺杂间质高熵合金(iHEA)具有高强度和延展性。然而,具有完全再结晶超细颗粒(UFG)的iHEA以及与位错滑移、结对和溶质阻力相关的底层热激活过程尚未报告。在这项工作中,制备了一种成分为Fe48.5Mn30Co10Cr10C0.5N1.0(%)的C-N共掺杂iHEA,并通过冷轧和退火处理对微观结构进行了调整,以提高力学性能。在1.44的应变冷轧时,iHEA中的主要微观结构由纳米颗粒、纳米孪生、HCP层压板和高密度位错组成,导致超高硬度为466.7 HV,抗拉强度为1730 MPa,而牺牲了延展性(2.44%)。iHEA的纳米结构和高硬度都可以保持在600°C(462.5 HV)的退火温度。在650°C退火1小时后,在iHEA中获得了UFG微观结构,其中包含平均粒径为0.91微米的再结晶颗粒和平均直径为90.8纳米沉淀物。UFG、纳米沉淀物、结对和溶质的综合强化和硬化作用有助于高应变硬化(n = 0.81)、千兆帕斯卡屈服强度(984 MPa)和良好的延展性(20%)。C-N共掺杂导致对位错滑移滑的强烈阻力效应,导致纳米尺度均值自由位错滑移路径(1.44纳米)和非常小的表观激活体积UFG iHEA(15.8b3)。
高熵合金(HEA)的出现,其中包含至少四个等摩尔或近等摩尔比的主要元素,扩大了高性能材料的勘探空间。跟踪HEA的发展,材料科学家尝试了各种方法来设计和制备具有出色机械性能的HEA。最典型的HEA是具有面心立方(FCC)结构的康托尔合金(FeCoNiCrMn)。据报道,它在低温温度下具有优异的强度、延展性和断裂韧性。研究者们调整了化学成分,并开发了一种亚稳态HEA(Fe50Mn30Co10Cr10)。与康托尔合金相比,亚稳态Fe50Mn30Co10Cr10 HEA表现出增强的应变硬化能力和强度延展性协同作用,这归因于额外的转化诱导塑性(TRIP)效应。在塑性变形过程中,从FCC到六角闭包(HCP)或从HCP到FCC的动态相变在亚稳态Fe50Mn30Co10Cr10 HEA中持续发生,产生许多相位边界以阻止位错运动。不幸的是,具有FCC结构的亚稳态HEA和康托尔合金都面临着与传统FCC材料相同的挑战,其中室温下的屈服强度(<250兆帕,晶粒尺寸?45微米)相对较低。
作为一种重要的增强机制,原子尺寸大的元素,例如Al、Mo和V已被引入为替代原子,以增强原子尺寸不匹配和晶格失真,从而对位错滑移具有很强的抵抗力并增强强度。然而,替代原子含量过剩将导致相位不稳定和有序相的形。例如,Al添加太多(例如Al0.75CoCrFeNi和Al1.5CoCrFeNi)诱导丰富的脆性有序B2化合物和BCC相,相应地损害延展性和韧性。此外,V含量的增加促进了CoCrFeMnNiVx HEA中西格玛相的形成,并导致延展性的持续增强和丧失。
由外间质原子增强(例如B、C和N)也是提高HEA的强度和延展性的有效方法。例如,B的引入极大地提高了FeMnCrCoNi HEA在可比延展性的强度。晶粒尺寸为45微米的亚稳态Fe50Mn30Co10Cr10 HEA的屈服强度为219.6兆帕,延展率为48%。添加间质原子C后,Fe49.5Mn30Co10Cr10C0.5 iHEA(颗粒尺寸约为160微米)表现出更高的延展性(54%)和相似的屈服强度,这归因于孪生诱导塑性(TWIP)、TRIP和间质固体溶液强化的综合效果。此外,添加1.15 at。%N间质原子显著增加晶格摩擦应力。与Fe50Mn30Co10Cr10 HEA相比,具有相似粒度(?14.7微米)的N掺杂iHEA的屈服强度增加了约156兆帕,均匀伸长率增加了约9.1%。通过间隙C和N原子的共掺杂,Fe48.5Mn30Co10Cr10C0.5N1.0 iHEA(粒径?30微米)的屈服强度和延展性分别为420 MPa和60%。据报道,C和N原子增加了堆叠故障能量(SFE)并提高相位稳定性。在拉伸变形过程中,位错滑移和孪生占主导地位,而相变在C-N共掺Fe48.5Mn30Co10Cr10C0.5N1.0 iHEA中完全消失。冷轧和退火处理是进一步提高HEA机械性能的有效方法。通过精细的热力学过程,Ma等人调整了Fe24Co23Ni24Cr23Ti2Al4 HEA中的相结构、晶粒尺寸和晶界类型,并将抗拉强度增加一倍。有研究表明,部分再结晶(?1微米)和变形的晶粒结构混合物有助于Fe48.5Mn30Co10Cr10C0.5N1.0 iHEA的屈服强度为1190 MPa和12%的延展性。而平均粒度为4.1微米的完全细粒度Fe48.5Mn30Co10Cr10C0.5N1.0 iHEA的屈服强度为753兆帕,延展率为29%。然而,由完全再结晶超细颗粒(UFG)组成的Fe48.5Mn30Co10Cr10C0.5N1.0 iHEA尚未报告。此外,与iHEA中位错滑移、孪生和溶质阻力相关的底层热激活过程,以及UFG iHEA对力学性能的影响仍不清楚。
在目前的工作中,制备了C-N共掺杂Fe48.5Mn30Co10Cr10C0.5N1.0 iHEA。随后,使用1.74应变的冷轧和不同温度和时间的退火来调整微观结构。获得了由完全再结晶UFGs组成的Fe48.5Mn30Co10Cr10C0.5N1.0 iHEA,具有出色的强度和延展性组合。进行了跳转测试,以研究潜在的热激活过程。南京理工大学赵永好教授团队对此进行了研究,报告了详细的微观结构调查。相关研究成果以“Enhanced mechanical properties of a carbon and nitrogen co-doped interstitial high-entropy alloy via tuning ultrafine-grained microstructures” 发表在Journal of Materials Science & Technology上。
链接: https://www.sciencedirect.com/science/article/abs/pii/S1005030222008362
图1.(a)均质化Fe48.5Mn30Co10Cr10C0.5N1.0 iHEA的EBSD地图。(插图是反向极图颜色代码)。(b)SEM图像。(c)来自(b)扫描区域的EDS映射,显示均质化Fe48.5Mn30Co10Cr10C0.5N1.0 iHEA中元素的均匀分布。
图2.典型的TEM图像显示了Fe48.5Mn30Co10Cr10C0.5N1.0 iHEA在冷轧(a,b)和在500°C下退火1小时(c,d)后的微观结构。(d)是观察纳米双层的暗场图像。相应的选定区域电子衍射(SAED)模式在右上角以插入的形式给出。
图3.典型的TEM图像显示Fe48.5Mn30Co10Cr10C0.5N1.0 iHEA的微观结构在不同温度下退火1小时:(a-c)600°C;(d)650°C。
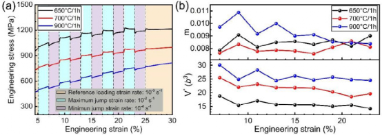
图7.(a)通过10-2 s-1和10-4 s-1的应变率跳跃测试获得的工程应力-应变曲线。(b)应变率敏感性和与工程应变的表观活化体积。
在这项工作中,制备了C-N共掺杂Fe48.5Mn30Co10Cr10C0.5N1.0 iHEA,并使用热力学加工(冷轧制和退火)来调整微观结构并改善机械性能。进行了系统的微观结构研究,以调查微观结构的演变和加强机制。主要结论如下:
(1)Fe48.5Mn30Co10Cr10C0.5N1.0 iHEA在冷轧后具有466.7 HV的高硬度和1730 MPa的高强度。此外,iHEA表现出优异的热稳定性,其中硬度在600°C退火1小时后可持续高于460 HV。在500°C下退火1小时后,硬度适度增加到522.1 HV,显示退火诱导硬化效果。
(2)在高温下退火处理会导致恢复、再结晶和晶粒生长,逐渐降低强度并增加延展性。在650°C下退火1小时后,iHEA由平均粒度为0.91微米的全再结晶UFG和平均直径为90.8纳米沉淀物组成,具有高应变硬化(n = 0.81)、千兆帕斯卡屈服强度(984 MPa)和良好的延展性(20%),源于晶格摩擦、固体溶液增强、GB强化、沉淀强化和TWIP效应。
(3)超细粒度Fe48.5Mn30Co10Cr10C0.5N1.0 iHEA显示出纳米尺度平均无位错滑移路径(1.44纳米)和小的表观激活体积(15.8b3),由于高晶格-摩擦应力、溶质阻力效应和位错-TB相互作用。
免责声明:本网站所转载的文字、图片与视频资料版权归原创作者所有,如果涉及侵权,请第一时间联系本网删除。
官方微信
《腐蚀与防护网电子期刊》征订启事
- 投稿联系:编辑部
- 电话:010-62316606-806
- 邮箱:fsfhzy666@163.com
- 腐蚀与防护网官方QQ群:140808414








