导读:本文研究了微量 Ce 添加对稀 Mg-0.6Al-0.5Mn-0.25Ca-xCe (x = 0.1–0.3 wt%) 合金的微观结构演变和腐蚀行为的影响。Ce的添加导致Al8Mn4Ce和Al11Ce3的形成,含有0.3 wt% Ce 的合金的平均腐蚀速率最低,比不含 Ce 的合金低 6.5 倍。优异的防腐性能归因于含铈相和基体之间的低电位差,致密的复合材料氧化膜(MgO-CeO 2 -Al 2 O 3),以及Fe在含Ce相中的富集。
贫镁 (Mg) 合金由于其良好的热加工性、高强度和低成本而引起了广泛的关注。特别是易成形的稀Mg-Al-Mn-Ca(AMX)系列合金,可实现较大的挤压比。该系列合金是近年来发展起来的一种新型系统,已成为轻量化领域应用的重要候选。AMX合金通常含有热稳定的Al 8 Mn 5金属间相,可有效抑制高温热处理过程中再结晶晶粒的生长。由此产生的细粒度 显微组织赋予稀合金高强度和韧性。此外,Fe杂质经常包封在Al 8 Mn 5中,形成Al-Mn-Fe金属间化合物,可以减弱杂质对镁合金耐腐蚀性能的不利影响。然而,Al 8 Mn 5相与镁基体之间存在较大的电位差,导致严重的微电偶腐蚀。此外,稀合金表面难以形成有效的保护膜, 以上种种原因导致 AMX 系列合金的耐蚀性较差, 严重限制了其工业应用。
一般来说,提高镁合金的耐腐蚀性有两种关键策略。一是调节镁合金的内部微观结构以抑制腐蚀反应动力学,二是通过表面处理技术制备覆盖合金表面的保护膜。请注意,添加合金元素以调整微观结构是降低腐蚀速率的有效方法。最近的研究发现,添加稀土(RE)元素可以有效提高镁合金的耐腐蚀性能。稀土合金主要通过以下几个方面提高镁合金的抗腐蚀性能:(i)降低杂质(Fe、Ni、Cu)的有害作用;(ii) 精炼谷物;(iii)调整第二相的组成、体积分数和分布,以及 (iv) 促进致密腐蚀产物膜的形成。
Ce作为轻稀土元素之一,具有密度低、储量丰富、性价比高等优点。此外,Ce 对提高镁合金的耐腐蚀性也有积极作用。刘等人发现 Mg-6Al-0.17Mn (AM60) 合金的耐腐蚀性能随着 Ce(0.5-2.0 wt%)的添加而增强,这种提高是由于微电偶的抑制,因为β-Mg 17 Al 12的比例降低,沉积的含 Ce 相的阴极较少。此外,表面膜中的Ce和Al富集也是阻碍进一步腐蚀的重要因素。与商业 AZ31 板材相比,Mg-0.5Zn-0.2Ca-0.2Ce (wt%) 合金表现出更好的耐腐蚀性,这可归因于其分散的第二相和合金上的保护性腐蚀产物膜表面。Ca和Ce元素富集在表面膜中,有效地阻止了NaCl溶液的腐蚀。然而,关于 Ce 合金化对镁合金腐蚀行为的影响也存在一些矛盾的结果。对于不同的合金系统和制造技术,Ce 添加对腐蚀行为的影响是不同的。
在这项工作中,吉林大学王慧远教授团队研究了挤压稀Mg-0.6Al-0.5Mn-0.25Ca (AMX100) 和 AMX100-xCe (x = 0.1, 0.2, 0.3 wt%) 镁合金在 3.5 wt% NaCl 溶液中的腐蚀行为。系统研究了添加痕量 Ce 的腐蚀机理,在 AMX100 合金中添加痕量 Ce 导致金属间化合物从 Al 8 Mn 5到 Al 8 Mn 4 Ce 相变,同时产生大量的 Al 11 Ce 3相。随着Ce含量从0增加到0.3 wt%,Al 8 Mn 5的体积分数显着降低,而含Ce相的体积分数逐渐增加。Fe和Ca元素明显富集在金属间化合物中。合金的腐蚀速率随着Ce含量的单调增加而降低。
相关研究成果以题“Tailoring the microstructure and enhancing the corrosion resistance of extruded dilute Mg-0.6Al-0.5Mn-0.25Ca alloy by adding trace Ce”发表在增材制造顶刊Corrosion Science上。

合金的腐蚀速率随着Ce含量的单调增加而降低。浸泡和动电位极化测试表明,AMX100-0.3Ce 合金表现出最好的耐腐蚀性,平均腐蚀速率最低,为 4.13 mm y -1,比无 Ce 合金(26.71 mm y )低约 6.5 倍-1 )。AMX100-0.3Ce合金表面出现最均匀稳定的腐蚀产物膜,局部腐蚀倾向最小。AMX100-Ce合金的耐腐蚀性能有效提高主要归因于以下机制:(i)与Al 8 Mn 5相比,含Ce相的惰性更低,导致微电偶腐蚀减少它们与阳极镁基体的耦合;(ii) 微量 Ce 的添加使腐蚀产物致密并有助于形成 Ce 和 Al 氧化物,以及保护性复合氧化物膜(MgO-CeO 2 -Al 2 O 3) 有效阻碍腐蚀介质的渗透并抑制局部点蚀,(iii) Fe 在大量含 Ce 相中的富集减少了杂质与 α-Mg 之间的微电偶腐蚀,减弱了有害作用杂质,从而显著降低腐蚀速率。

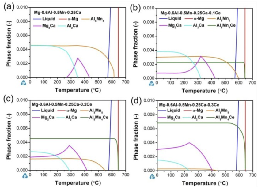
图 1。计算得到的具有不同 Ce 含量的合金 Mg-0.6Al-0.5Mn-0.25Ca (AMX100) 的平衡相图:(a)0 wt%,(b)0.1 wt%,(c)0.2 wt%,和(d ) 0.3 重量%。

图 2。不同 Ce 含量的Mg-0.6Al-0.5Mn-0.25Ca (AMX100) 合金的背散射电子显微照片:(a) 0 wt%、(b) 0.1 wt%、(c) 0.2 wt% 和 (d) 0.3重量百分比。

图 3。不同 Ce 含量的Mg-0.6Al-0.5Mn-0.25Ca (AMX100) 合金的 XRD 图谱:(a) 0 wt%,(b) 0.1 wt%,和 (c) 0.3 wt%。

图 4。不同 Ce 含量的Mg-0.6Al-0.5Mn-0.25Ca (AMX100) 合金中金属间化合物颗粒的高倍 SEM 显微照片:(a) 0 wt% 和 (b andc) 0.3 wt% 以及元素的相应 EDS 图铝、锰、铈、钙和铁。

图 5。(a)未添加 Ce 的 Mg-0.6Al-0.5Mn-0.25Ca (AMX100) 合金中的Al 8 Mn 5相和 (b) 合金中的 Al 8 Mn 4 Ce 相的前散射电子探测器 (FSD) 图像0.3 wt% Ce 添加和元素 Al、Mn、Ca 和 Ce 的相应 EDS 图。

图 6。(a) 添加 0.3 wt% Ce的挤压态 Mg-0.6Al-0.5Mn-0.25Ca (AMX100) 合金的 BF-STEM 图像,其中 (a) 中的插图对应于相的SAED 图案,(be) (a) 对应的EDS 映射图像。

图 7。EBSD反极图 (IPF) 图与对应的 {0001} 极图和晶粒尺寸直方图从不同 Ce 含量的 Mg-0.6Al-0.5Mn-0.25Ca (AMX100) 合金中获得:(a, e) 0 wt% , (b, f) 0.1 wt%, (c, g) 0.2 wt%, 和 (d, h) 0.3 wt%。

图 8。(a) 析氢曲线,(b) 重量损失值和 (c) 腐蚀速率,由 Mg-0.6Al-0.5Mn-0.25 在浸入试验期间(浸入 72 小时后)的重量损失 (CR W ) 估计具有不同 Ce 含量 (0–0.3 wt%) 的Ca (AMX100) 合金。

图 9。文献中Mg-0.6Al-0.5Mn-0.25Ca-0.3Ce合金与纯Mg和镁合金在NaCl溶液中的腐蚀速率比较。(图例中的M代表其他合金元素)。

图 10。不同 Ce 含量 (0-0.3 wt%) 的 Mg-0.6Al-0.5Mn-0.25Ca (AMX100) 合金在 3.5 wt% NaCl 溶液中的 OCP 和动电位极化曲线:(a) OCP 曲线,和 (b)极化曲线。

图 11。不同 Ce 含量 (0-0.3 wt%) 的 Mg-0.6Al-0.5Mn-0.25Ca (AMX100) 合金在 3.5 wt% NaCl 溶液中的 EIS 结果:(a) 奈奎斯特图;(b) 波特模量图;(c)波德相位图;(d) 等效电路。

图 12。不同 Ce 含量的Mg-0.6Al-0.5Mn-0.25Ca (AMX100) 合金的 3D 腐蚀形貌:(a) 0 wt%、(b) 0.1 wt%、(c) 0.2 wt% 和 (d) 0.3重量百分比。

图 13。不同 Ce 含量的Mg-0.6Al-0.5Mn-0.25Ca (AMX100) 合金在 3.5 wt% NaCl 溶液中浸泡 2 h 和 12 h 后的 SEM 形貌:(a, e) 0 wt%, (b, f) 0.1 wt%、(c, g) 0.2 wt% 和 (d, h) 0.3 wt% Ce。

图 14。不同 Ce 含量的Mg-0.6Al-0.5Mn-0.25Ca (AMX100) 合金在 3.5 wt% NaCl 溶液中浸泡 2 h 后的 SEM 形貌,没有腐蚀产物:(a) 0 wt% Ce;(b) 0.1 wt% Ce;(c) 0.2 wt% Ce;(d) 0.3 wt% Ce。

图 15。在不同 Ce 含量的Mg-0.6Al-0.5Mn-0.25Ca (AMX100) 合金上形成的腐蚀产物的横截面 SEM 图像和相应的 EDS 图(Mg、Al、Ca、Ce 和 O):(a 和e) 在 3.5 wt% NaCl溶液中浸泡 12 小时后,0 wt%、(b 和 f) 0.1 wt%、(c 和 g) 0.2 wt% 和 (d 和h) 0.3 wt%。(eh) 是 (ad) 中虚线矩形区域的放大倍数。

图 16。腐蚀的 Mg-0.6Al-0.5Mn-0.25Ca (AMX100) 合金在浸入 3.5 wt% NaCl 溶液 2 小时后未添加和添加 Ce 的 EPMA 映射:(a)不含 Ce,和(b)添加 0.3 wt%铈加成。

图 17。在 3.5 wt% NaCl 溶液中浸泡 5 h 后,不同 Ce 含量(0-0.3 wt%)的挤压态 Mg-0.6Al-0.5Mn-0.25Ca (AMX100) 合金表面氧化膜的 XPS 光谱。(a) Mg 1 s, (b) Al 2p, (c) Ca 2p 和 (d) Ce 3d。

图 18。(a) TEM图像,(b) HRTEM图像,和(c) 未添加Ce的Mg-0.6Al-0.5Mn-0.25Ca (AMX100)合金表面腐蚀产物的SAED图;(d 和 g) TEM 图像,(e 和 h) HRTEM 图像,以及 (f 和i) 添加 0.3 wt% Ce 的合金表面腐蚀产物的SAED 图案。

图 19。不同 Ce 含量的Mg-0.6Al-0.5Mn-0.25Ca (AMX100) 合金的SKPFM图像:(ac) 0 wt%、0.1 wt% 和0.3 wt% Ce 合金的表面伏特电位图;(df)在显微照片中沿线 1-3 与 Mg 基体相邻的金属间化合物的伏特电位分布。

图 20。SEM 显微照片显示了具有不同Ce 含量的 Mg-0.6Al-0.5Mn-0.25Ca (AMX100) 合金的微观表面:(a, b) 0 wt%, (c, d) 0.1 wt% 和 (e, f)在 3.5 wt% NaCl 溶液中浸泡 10 分钟和 30 分钟后的 0.3 wt% Ce。右侧是浸泡 30 分钟后对应的 EDS 图。

图 21。(a, b) Mg-0.6Al-0.5Mn-0.25Ca (AMX100) 合金和 (c, d) AMX100-0.3Ce 合金浸入 3.5 wt% NaCl 溶液中的腐蚀机理示意图。
免责声明:本网站所转载的文字、图片与视频资料版权归原创作者所有,如果涉及侵权,请第一时间联系本网删除。
官方微信
《腐蚀与防护网电子期刊》征订启事
- 投稿联系:编辑部
- 电话:010-62316606-806
- 邮箱:fsfhzy666@163.com
- 腐蚀与防护网官方QQ群:140808414



