合金材料的微观结构和相演化过程,尤其是液固转变行为,是材料科学和凝聚态物理研究领域的前沿问题之一。过冷熔体液相和固相的吉布斯自由能差决定了相演化过程,多相合金熔体过冷度增大时会发生不同固相间的竞争形核,显著影响材料的组织和性能产生。研究多相合金在不同过冷度下的形核机制对调控合金组织和提高性能具有重要意义。包晶合金作为典型的多相合金,因其广泛的应用前景而备受关注。包晶相在最终凝固组织中产生单一且性能优良的包晶相,但目前研究主要集中在液相线温度与包晶温度之间的较窄温度区间的包晶系,因此关于高液相线温度的难熔合金的凝固过程是当前研究领域面临的重大挑战。
来自西北工业大学的王海鹏教授团队结合分子动力学模拟和经典形核理论研究了Nb-Ni包晶合金凝固过程中的动力学行为。他们发现通过控制冷却速率,Nb-Ni合金表现出不同的凝固路径,形成不同的组织和组成相,进而可以利用经典形核理论和时间-温度等效图预测Nb-Ni合金非晶相的临界速率。相关论文以题为“A kinetic transition from peritectic crystallization to amorphous solidification of rapidly quenched refractory Nb-Ni alloy”发表在Acta Materialia上。
论文链接:
https://www.sciencedirect.com/science/article/pii/S1359645422005080
图1. 不同冷却速率下NbNi合金的凝固行为: a) x射线衍射图; b) V = 10 m/s,铸锭组织; 丝带组织c) V = 10 m/s; d) V = 20 m/s; d) V = 48 m/s。
图2. 不同温度下NbNi合金对分布函数: a)总对分布函数; (b-d) Nb-Nb, Nb-Ni和Ni-Ni偏对分布函数。
图3. 不同温度下NbNi合金原子结构: a) Nb原子和c)Ni原子Voronoi指数,b), d)对应的配位数。
图4. 300 K时NbNi非晶合金原子排列: a)所定区域的FFT和IFFT图像; b) Ni中心和c) Nb中心的VPs; d-f)团簇中心原子(红色为Ni原子,蓝色为Nb原子)。
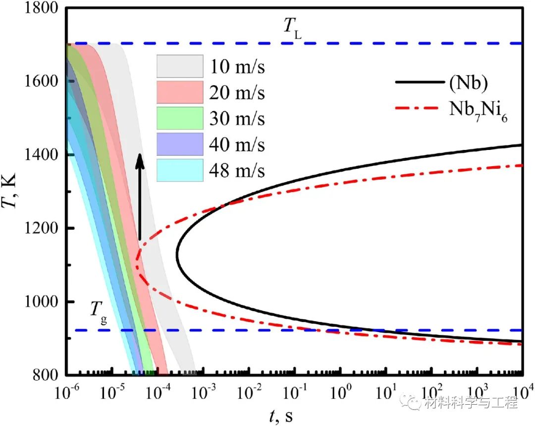
图5. (Nb)和Nb7Ni6相的TTT图。
总的来说,作者通过熔融纺丝法研究了难熔NbNi包晶合金的快速凝固过程,基于透射电镜分析、分子动力学模拟和经典形核理论探索了包晶凝固模式的动力学转变和快速凝固过程中的相形成。包晶凝固方式随冷却速率增加由包晶Nb7Ni6相转变为包晶非晶相。HRTEM图像表明,晶体结构化学无序度形成于成核和早期生长过程的,而化学有序度形成于Nb7Ni6相后期生长过程。基于MD模拟得到的能量和温度曲线以此标标定的玻璃转变温度与实验结果吻合较好。根据经典形核理论和TTT图,(Nb)相在低过冷度和低冷却速率下优先形核长大,包晶Nb7Ni6相则随着过冷度和冷却速率增加而从液态合金中析出,进而确定了形成非晶的临界冷却速率。这些新发现不仅有助于增进对Nb-Ni合金凝固机理的进一步认识,同时对设计高性能Nb-Ni合金具有重要指导意义。
免责声明:本网站所转载的文字、图片与视频资料版权归原创作者所有,如果涉及侵权,请第一时间联系本网删除。
相关文章
官方微信
《腐蚀与防护网电子期刊》征订启事
- 投稿联系:编辑部
- 电话:010-62316606-806
- 邮箱:fsfhzy666@163.com
- 腐蚀与防护网官方QQ群:140808414
点击排行
PPT新闻
“海洋金属”——钛合金在舰船的
点击数:8168
腐蚀与“海上丝绸之路”
点击数:6492









