01 【导读】
现代社会,人们对随处可见的自来水管早已司空见惯,随时享受着水源畅通的便利性。然而在一百多年前,频繁漏水的自来水钢管却给人们带来了极大的困扰。当时的人们怎么也想不明白,防护很完善的钢管究竟是如何从管道内部发生腐蚀破坏的。钢铁管道腐蚀生锈的过程需要氧气参与,但输送自来水的管道却几乎不存在氧气。管道上一个个腐蚀坑洞往外凸起,仿佛有什么看不见的东西从管道内部往外冲,这一扑朔迷离的现象被当时的人们称为魔鬼般的腐蚀。
随着人们的调查与研究,这一魔鬼般的腐蚀现象得以揭开面纱。人们发现,自来水钢管内部发生的腐蚀是由水中的微生物引起的,这类腐蚀也称为微生物腐蚀(Microbiologically Influenced Corrosion,简称MIC),其中以硫酸盐还原菌(Sulfate-Reducing Bacteria,简称SRB)危害最大。SRB为厌氧菌,也是一种两性营养菌,既能以有机化能异养,也能矿质化能自养,在无氧环境下能以水中的硫酸盐等为食。输水管道内的无氧环境,水中溶解的硫酸盐等恰为SRB提供了适宜的滋生条件。SRB在金属表面繁育菌落、形成粘液沉积物,最终发展为独特的腐蚀瘤坑。SRB在中高温下均能生存,适应的pH范围较为广泛,并且能耐高盐,极易繁殖,10-60分钟就能繁殖一代,被认为是造成金属微生物腐蚀最主要的腐蚀性微生物,常见于供水系统、油井、石油输送管线的腐蚀现象。
近年来,针对SRB腐蚀问题,国内外学者展开了大量工作,主要集中在SRB的腐蚀行为与机制上,试图阐明SRB诱发腐蚀的机理。但在实际应用中,如油气田系统,往往会掺入缓蚀剂用于控制输送管道的腐蚀问题。此时体系中并非单纯的SRB与输送管道腐蚀的问题,SRB和缓蚀剂之间的相互作用行为和规律对缓蚀剂的缓蚀作用势必存在一定的影响。然而遗憾的是,由于SRB腐蚀行为和机制复杂,影响因素众多,目前还缺乏深入的SRB腐蚀行为研究工作,关于SRB与缓蚀剂相互作用行为和规律的研究更为匮乏。
02 【成果掠影】
近日,中山大学刘宏伟副教授结合SRB腐蚀研究现状,系统深入地研究了SRB在有机碳匮乏的条件下与油气田常见的咪唑啉类缓蚀剂之间的相互作用行为和机制,并在Corrosion Science期刊发表了题为“Corrosion inhibition behavior of X80 pipeline steel by imidazoline derivative in the CO2-saturated seawater containing sulfate-reducing bacteria with organic carbon starvation”的最新研究成果。该课题研究了咪唑啉衍生物在硫酸盐还原菌(SRB)存在下,在饱和二氧化碳的海水中对X80管线钢的缓蚀作用。结果表明,SRB能吸附在钢表面形成生物膜。在有机碳匮乏的情况下,较高初始浓度的SRB对钢的腐蚀有抑制作用;而较低初始浓度的SRB会加速钢的腐蚀。研究还发现咪唑啉缓蚀剂对SRB有毒性,加入咪唑啉后SRB的存活率下降。但当SRB初始浓度较高时,咪唑啉在界面吸附时可以与吸附在金属表面的SRB发生交换,从而表现出更高的缓蚀效率。
03 【核心创新点】
1.颠覆性发现SRB并非一定会腐蚀金属。在有机碳匮乏的条件下,SRB的腐蚀性较弱,反而会对金属的腐蚀有抑制作用。
2.阐明了SRB与咪唑啉类缓蚀剂的相互作用行为和机制,进一步丰富了SRB腐蚀防护研究基础。
04 【数据概览】
图1 不同浸泡龄期样品在不同SRB初始浓度和未掺入/掺入缓蚀剂条件下的腐蚀速率(a)浸泡七天(b)浸泡14天 © Elsevier
图1表明,无论是否掺入咪唑啉缓蚀剂,钢的腐蚀速率均随着SRB初始浓度的升高而增快。加入缓蚀剂后钢的腐蚀速率普遍降低,SRB初始浓度较高时可以提高咪唑啉缓蚀剂的缓蚀率。
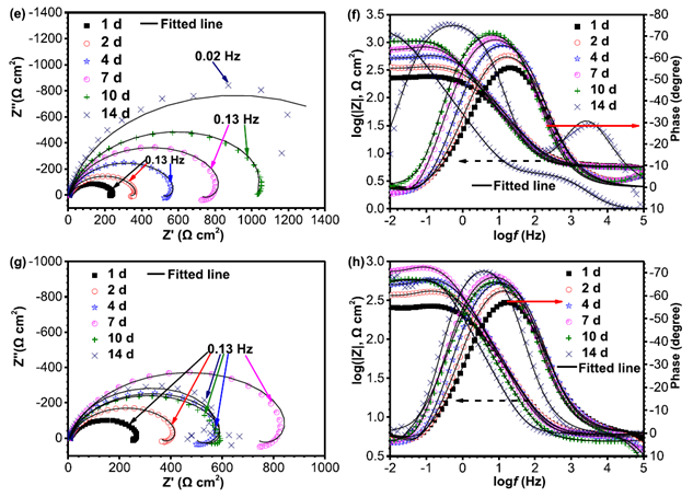
图2 在CO2饱和海水有机碳匮乏条件下,不同SRB初始浓度样品在不同龄期的Nyquist(a,c,e,g)和Bode图(b,d,f,h):(a, b)无生物控制组; (c, d) 107 cells /mL; (e, f) 105 cells /mL; (g, h) 103 cells/mL ? Elsevier
图2 表明,SRB在钢表面形成致密生物膜,并且随着龄期的延长,钢表面出现腐蚀过程的变化。
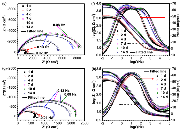
图3 不同龄期腐蚀浸泡试验样品的Nyquist(a,c,e,g)和Bode图(b,d,f,h):(a, b)无生物控制组; (c, d) 107 cells/mL; (e, f) 105 cells/mL; (g, h) 103 cells/mL ? Elsevier
图3表明,咪唑啉缓蚀剂能吸附在钢上并形成吸附膜;掺入缓蚀剂的样品的阻抗谱比未掺缓蚀剂的样品阻抗谱增加一个数量级。SRB初始浓度较高时样品的阻抗谱比无生物对照组的样品阻抗谱半径明显更高。
图4 腐蚀浸泡试验14天后样品的动电位极化曲线:(a)未掺缓蚀剂 (b)掺入缓蚀剂 ? Elsevier
图4表明,无论是否掺入缓蚀剂,样品的腐蚀电流密度均随着SRB初始浓度的增加而降低。掺入缓蚀剂后,样品的腐蚀电流密度降低幅度更大。并且缓蚀剂的缓蚀率受SRB初始浓度的影响,初始浓度较高时缓蚀率更高,初始浓度较低时缓蚀率损失。
图5 腐蚀浸泡试验7天后样品去除表面腐蚀产物后的表面3D形貌:(a)无生物控制组; (b)IM; (c) 107 cells/ml; (d) 107 cells/ml + IM; (e) 105 cells/ml; (f) 105 cells/ml + IM; (g) 103个cells/ml; (h) 103 cells/ml + IM ? Elsevier
图5表明,浸泡7天时,在没有掺入咪唑啉缓蚀剂的情况下,SRB初始浓度更高的样品(107 cells/ml)腐蚀情况更轻。掺入缓蚀剂后,样品表面的局部腐蚀得到抑制。
图6 腐蚀浸泡试验14天后样品去除表面腐蚀产物后的表面3D形貌:(a)对照组; (b)IM; (c) 107 cells/ml; (d) 107 cells/ml + IM; (e) 105 cells/ml; (f) 105 cells/ml + IM; (g) 103cells/ml; (h) 103 cells/ml + IM ? Elsevier
图6表明,随着浸泡龄期的延长,样品表面腐蚀情况加重。掺入缓蚀剂可以有效抑制腐蚀的加深,但SRB的存在会影响缓蚀剂的缓蚀效果。
05 【成果启示】
本文研究结果进一步丰富了SRB腐蚀防护基础理论,同时也进一步深入认识了SRB与缓蚀剂之间的界面作用行为和机制。然而,虽然已发现SRB会影响咪唑啉类缓蚀剂的作用效果,但SRB与咪唑啉类缓蚀剂的作用机制暂未明确,相关研究有待进一步深入。
文献链接:Liu Hongwei et al. Corrosion inhibition behavior of X80 pipeline steel by imidazoline derivative in the CO2-saturated seawater containing sulfate-reducing bacteria with organic carbon starvation[J]. Corrosion Science, 2022, 203. https://doi.org/10.1016/j.corsci.2022.110345
免责声明:本网站所转载的文字、图片与视频资料版权归原创作者所有,如果涉及侵权,请第一时间联系本网删除。
相关文章
官方微信
《腐蚀与防护网电子期刊》征订启事
- 投稿联系:编辑部
- 电话:010-62316606-806
- 邮箱:fsfhzy666@163.com
- 腐蚀与防护网官方QQ群:140808414
点击排行
PPT新闻
“海洋金属”——钛合金在舰船的
点击数:8148
腐蚀与“海上丝绸之路”
点击数:6486













